Engineered Sporopollenin Exine Capsules for Colon-Targeted Delivery and Antioxidant Therapy of Pogostemon Oil in Ulcerative Colitis
Abstract
1. Introduction
2. Materials and Methods
2.1. Materials
2.2. Isolation and Processing of SECs
2.2.1. Extraction of Pollen
2.2.2. Acid Hydrolysis Preparation of SECs
2.2.3. Method for Protein Quantification
2.3. Characterization
2.3.1. Microscopic Imaging and Particle Size Analysis
2.3.2. Scanning Electron Microscopy (SEM) Analysis
2.3.3. Fourier Transform Infrared Spectroscopy (FTIR) Analysis
2.3.4. Distribution of Sporopollenin in Different Solvents
2.3.5. Wettability Evaluation
2.4. Evaluation of the Oil Adsorption Capacity of SECs
2.4.1. Evaluation Method for Adsorption Capacity and Efficiency
2.4.2. Determination of Maximum Oil Absorption Capacity of SECs (Pure Oil Saturation Method)
2.4.3. Evaluation of Adsorption Capacity of SECs in Organic Solvents
2.4.4. Investigation of the Equilibrium Adsorption Performance of SECs Toward Soybean Oil in Oil–Water Emulsions
2.5. Adsorption Performance of SECs Toward Pogostemon Oil
2.5.1. Adsorption Evaluation Criteria
- (1)
- High-Performance Liquid Chromatography (HPLC) Method.
- (2)
- Gravimetric Method.
2.5.2. Passive Loading Technique
2.5.3. Vacuum Loading Technique
2.5.4. Selective Adsorptive Loading Technique
2.6. Preparation of Ca-Alg@PO-SECs Composite Microspheres
2.7. Stability Evaluation of Microspheres
2.8. In Vitro Release Kinetics
2.8.1. Drug Release Behavior in Simulated Gastric Fluid (SGF)
2.8.2. Drug Release Behavior in Simulated Intestinal Fluid (SIF))
2.9. Pharmacodynamic Evaluation of Acute Colitis
2.9.1. Animal Experiment Design and Grouping
- ①
- Control group: received sterile water and PBS by gavage;
- ②
- Model group: received 3% DSS solution and PBS by gavage;
- ③
- Positive drug group: received 3% DSS solution and mesalazine suspension (100 mg/kg/day);
- ④
- PO group: received 3% DSS solution and Pogostemon oil suspension (20 mg/kg/day);
- ⑤
- PO-SECs group: received 3% DSS solution and PO-loaded sporopollenin microcapsule suspension (equivalent to 20 mg/kg/day of PO);
- ⑥
- Ca-Alg@PO-SECs group: received 3% DSS solution and Ca-Alg@PO-SECs suspension (equivalent to 20 mg/kg/day of PO).
2.9.2. Physiological Parameter Monitoring
2.9.3. Disease Activity Index (DAI) Score
2.9.4. Serum Collection and Colon Length
2.9.5. ELISA Assay
3. Results and Discussion
3.1. Effect of Acid Hydrolysis Time on the Structure of Pollen-Spore Encapsulation and Protein Removal Rate
3.1.1. Particle Size Change in Raw and Acid-Hydrolyzed Pollen
3.1.2. Kinetic Effect of Acid Hydrolysis Time on Protein Removal Rate
3.1.3. Kinetic Effect of Acid Hydrolysis Time on Particle Size
3.2. Morphological Analysis and Structural Stability of Spore Encapsulated Microspheres
3.2.1. Original Morphology and Structural Stability
3.2.2. Morphological Changes During SECs Preparation
3.2.3. Effect of Acid Hydrolysis Time on the Microporous Structure
3.3. Fourier Transform Infrared (FTIR) Analysis
3.3.1. Chemical Similarity of Spores from Different Sources
3.3.2. Purification Effect of SECs
3.3.3. Effect of Acidolysis Time on Functional Group Changes
3.4. Study of the Dispersibility, Affinity, and Surface Wettability of Pollen Spore Shells
3.4.1. Dispersibility and Affinity of SECs in Different Solvents
3.4.2. Contact Angle Analysis and Superhydrophobic Performance
3.5. Oil Adsorption Performance Study
3.5.1. Adsorption Capacity of SECs from Different Sources
3.5.2. Adsorption Capacity of Sunflower SECs for Different Solvents
3.5.3. Comparison of Adsorption Capacity for Soybean Oil by Different Adsorbents
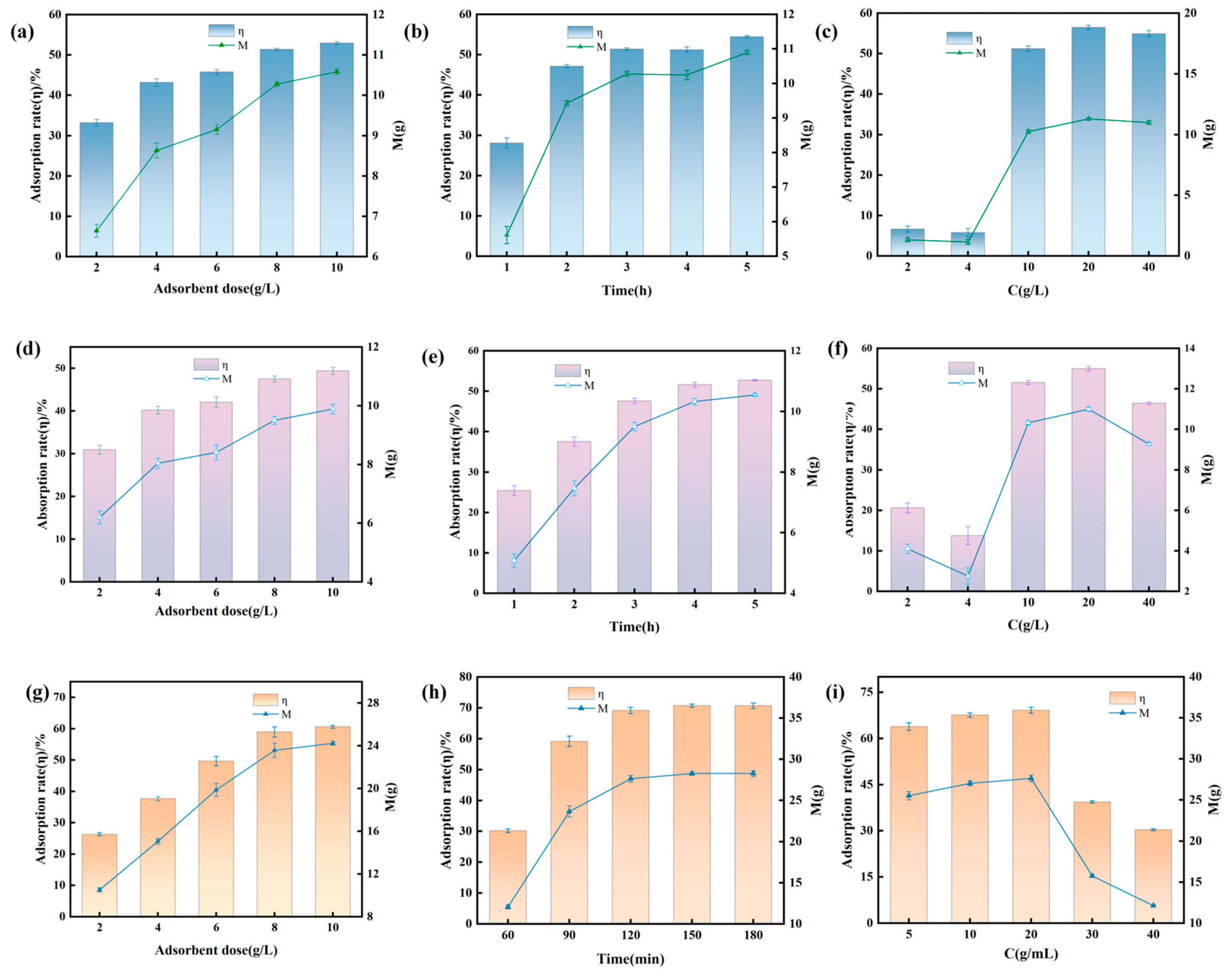
3.5.4. Adsorption Kinetics and Parameter Optimization
- (1)
- Effect of Adsorbent Dosage.
- (2)
- Effect of Adsorption Time (Adsorption Kinetics).
- (3)
- Effect of Initial Soybean Oil Concentration.
3.6. Adsorption Performance of SECs for Pogostemon Oil (PO-SECs) and Optimization of Parameters
3.6.1. Consistent Patterns of Adsorption Parameter Effects
- (1)
- Effect of Adsorbent Dosage.
- (2)
- Effect of Adsorption Time (Kinetics).
- (3)
- Effect of Pogostemon Oil Concentration.

3.6.2. Comparison of the Three Adsorption Methods and Selection of Optimal Parameters
3.7. Characterization of Microcapsules
3.7.1. Microcapsule Appearance
3.7.2. Ca-Alg@PO-SECs Composite Structure Morphology
3.7.3. Stability Experiments
3.7.4. FTIR Analysis
3.8. In Vitro Release Behavior
3.8.1. Release in Simulated Gastric Fluid (SGF)
3.8.2. Release in Simulated Intestinal Fluid (SIF)
3.8.3. Summary of Release Mode
3.9. Mouse Ulcerative Colitis ExperimentS
3.9.1. Daily Food and Water Intake Analysis
3.9.2. Weight Change Percentage and Final Body Weight
3.9.3. DAI
3.9.4. Colon Length
3.9.5. ELISA Analysis

3.9.6. Organ Coefficient

4. Conclusions
Supplementary Materials
Author Contributions
Funding
Institutional Review Board Statement
Informed Consent Statement
Data Availability Statement
Conflicts of Interest
References
- Maruthi, Y.A.; Ramakrishna, S. Sporopollenin—Invincible Biopolymer for Sustainable Biomedical Applications. Int. J. Biol. Macromol. 2022, 222, 2957–2965. [Google Scholar] [CrossRef]
- dos Santos Ramos, A.; Viana, G.C.S.; de Macedo Brigido, M.; Almeida, J.F. Neutrophil Extracellular Traps in Inflammatory Bowel Diseases: Implications in Pathogenesis and Therapeutic Targets. Pharmacol. Res. 2021, 171, 105779. [Google Scholar] [CrossRef]
- Le Berre, C.; Honap, S.; Peyrin-Biroulet, L. Ulcerative Colitis. Lancet 2023, 402, 571–584. [Google Scholar] [CrossRef]
- Rieder, F.; Mukherjee, P.K.; Massey, W.J.; Wang, Y.; Fiocchi, C. Fibrosis in IBD: From Pathogenesis to Therapeutic Targets. Gut 2024, 73, 854–866. [Google Scholar] [CrossRef] [PubMed]
- Ungaro, R.; Mehandru, S.; Allen, P.B.; Peyrin-Biroulet, L.; Colombel, J.-F. Ulcerative Colitis. Lancet 2017, 389, 1756–1770. [Google Scholar] [CrossRef] [PubMed]
- Rubin, D.T.; Ananthakrishnan, A.N.; Siegel, C.A.; Sauer, B.G.; Long, M.D. ACG Clinical Guideline: Ulcerative Colitis in Adults. Off. J. Am. Coll. Gastroenterol.|ACG 2019, 114, 384. [Google Scholar] [CrossRef]
- Chapman, T.P.; Frias Gomes, C.; Louis, E.; Colombel, J.-F.; Satsangi, J. Review Article: Withdrawal of 5-Aminosalicylates in Inflammatory Bowel Disease. Aliment. Pharmacol. Ther. 2020, 52, 73–84. [Google Scholar] [CrossRef] [PubMed]
- Kotla, N.G.; Rochev, Y. IBD Disease-Modifying Therapies: Insights from Emerging Therapeutics. Trends Mol. Med. 2023, 29, 241–253. [Google Scholar] [CrossRef]
- Moutsoglou, D.; Ramakrishnan, P.; Vaughn, B.P. Microbiota Transplant Therapy in Inflammatory Bowel Disease: Advances and Mechanistic Insights. Gut Microbes 2025, 17, 2477255. [Google Scholar] [CrossRef]
- Liu, Y.; Li, B.-G.; Su, Y.-H.; Zhao, R.-X.; Song, P.; Li, H.; Cui, X.-H.; Gao, H.-M.; Zhai, R.-X.; Fu, X.-J.; et al. Potential Activity of Traditional Chinese Medicine against Ulcerative Colitis: A Review. J. Ethnopharmacol. 2022, 289, 115084. [Google Scholar] [CrossRef]
- Chen, J.; Xie, X.; Li, M.; Xiong, Q.; Li, G.; Zhang, H.; Chen, G.; Xu, X.; Yin, Y.; Peng, F.; et al. Pharmacological Activities and Mechanisms of Action of Pogostemon cablin Benth: A Review. Chin. Med. 2021, 16, 5. [Google Scholar] [CrossRef]
- Srivastava, S.; Lal, R.K.; Singh, V.R.; Rout, P.K.; Padalia, R.C.; Yadav, A.K.; Bawitlung, L.; Bhatt, D.; Maurya, A.K.; Pal, A.; et al. Chemical Investigation and Biological Activities of Patchouli (Pogostemon cablin (Blanco) Benth) Essential Oil. Ind. Crops Prod. 2022, 188, 115504. [Google Scholar] [CrossRef]
- Li, Y.-C.; Xian, Y.-F.; Su, Z.-R.; Ip, S.-P.; Xie, J.-H.; Liao, J.-B.; Wu, D.-W.; Li, C.-W.; Chen, J.-N.; Lin, Z.-X.; et al. Pogostone Suppresses Proinflammatory Mediator Production and Protects against Endotoxic Shock in Mice. J. Ethnopharmacol. 2014, 157, 212–221. [Google Scholar] [CrossRef]
- Muhammad, I.; Luo, W.; Shoaib, R.M.; Li, G.; Shams ul Hassan, S.; Yang, Z.; Xiao, X.; Tu, G.; Yan, S.-K.; Ma, X.; et al. Guaiane-Type Sesquiterpenoids from Cinnamomum Migao H. W. Li: And Their Anti-Inflammatory Activities. Phytochemistry 2021, 190, 112850. [Google Scholar] [CrossRef]
- Liang, J.; Dou, Y.; Wu, X.; Li, H.; Wu, J.; Huang, Q.; Luo, D.; Yi, T.; Liu, Y.; Su, Z.; et al. Prophylactic Efficacy of Patchoulene Epoxide against Ethanol-Induced Gastric Ulcer in Rats: Influence on Oxidative Stress, Inflammation and Apoptosis. Chem. Biol. Interact. 2018, 283, 30–37. [Google Scholar] [CrossRef]
- Aylanc, V.; Ertosun, S.; Peixoto, A.F.; Santamaria-Echart, A.; Russo-Almeida, P.; Vale, N.; Freire, C.; Vilas-Boas, M. Development of Natural Sporopollenin Microcapsules: From Bee Pollen to Versatile Biomaterials. Emerg. Mater. 2025, 8, 3107–3122. [Google Scholar] [CrossRef]
- Aisyah, Y.; Sabilla, A.L.; Yunita, D. Encapsulation of Patchouli (Pogostemon cablin Benth), Nutmeg (Myristica Fragrans), and Citronella (Cymbopogon Nardus) Essential Oil Using a Combination of Coating Materials with Complex Coacervation Method. IOP Conf. Ser. Earth Environ. Sci 2022, 1116, 12021. [Google Scholar] [CrossRef]
- Wang, Y.; Shang, L.; Chen, G.; Shao, C.; Liu, Y.; Lu, P.; Rong, F.; Zhao, Y. Pollen-Inspired Microparticles with Strong Adhesion for Drug Delivery. Appl. Mater. Today 2018, 13, 303–309. [Google Scholar] [CrossRef]
- Barrier, S.; Diego-Taboada, A.; Thomasson, M.J.; Madden, L.; Pointon, J.C.; Wadhawan, J.D.; Beckett, S.T.; Atkin, S.L.; Mackenzie, G. Viability of Plant Spore Exine Capsules for Microencapsulation. J. Mater. Chem. 2011, 21, 975–981. [Google Scholar] [CrossRef]
- Binks, B.P.; Boa, A.N.; Kibble, M.A.; Mackenzie, G.; Rocher, A. Sporopollenin Capsules at Fluid Interfaces: Particle-Stabilised Emulsions and Liquid Marbles. Soft Matter 2011, 7, 4017–4024. [Google Scholar] [CrossRef]
- Wang, Y.; Sun, L.; Guo, J.; Shi, K.; Shang, L.; Xiao, J.; Zhao, Y. Pollens Derived Magnetic Porous Particles for Adsorption of Low-Density Lipoprotein from Plasma. Bioact. Mater. 2021, 6, 1555–1562. [Google Scholar] [CrossRef] [PubMed]
- Lecoeuche, M.; Borovička, J.; Dyab, A.K.F.; Paunov, V.N. Stimulus Triggered Release of Actives from Composite Microcapsules Based on Sporopollenin from Lycopodium Clavatum. RSC Adv. 2024, 14, 10280–10289. [Google Scholar] [CrossRef] [PubMed]
- Uddin, M.J.; Liyanage, S.; Warzywoda, J.; Abidi, N.; Gill, H.S. Role of Sporopollenin Shell Interfacial Properties in Protein Adsorption. Langmuir 2022, 38, 2763–2776. [Google Scholar] [CrossRef] [PubMed]
- Albahi, A.; Korin, A.; Elkhedir, A.; Elsir, E.; Wu, D.; Liang, H.; Li, B. Sporopollenin Microencapsulation as a Strategy to Improve Soybean Peptide Acceptance. J. Food Meas. Charact. 2024, 18, 2216–2225. [Google Scholar] [CrossRef]
- Li, D.; Sun, L.; Shi, L.; Zhuo, L.; Yang, L.; Zhang, J.; Han, Y.; Ye, T.; Wang, S. Reversible Switchable Wettability of Intrinsic Micro/Nanostructured Pollen Microcarriers via pH-Induce from Superhydrophobicity to Superhydrophilicity. Chem. Eng. J. 2023, 473, 145184. [Google Scholar] [CrossRef]









| DAI | Weight Loss Percentage (%) | Fecal Consistency | Fecal Color |
|---|---|---|---|
| 0 | No change | Normal | Normal |
| 1 | 1~5 | ||
| 2 | 6~10 | Loose | Black stools |
| 3 | 10~20 | ||
| 4 | >20 | Diarrhea | Bloody stool |
| Adsorption Method | Optimal SECs Dosage (g/L) | Optimal Adsorption Time (h) | Optimal Pogostemon Oil Concentration (g/L) | Core Differences (Compared to Other Methods) |
|---|---|---|---|---|
| Passive Adsorption | 8 | 3 | 20 | Fastest adsorption equilibrium (3 h to stabilize), very low efficiency at low concentration (only 6.62% at 2 g/L). |
| Vacuum Adsorption | 8 | 4 | 20 | Slower equilibrium speed (4 h to stabilize), higher efficiency at low concentration (20.49% at 2 g/L) than passive adsorption. |
| Selective Adsorption | 8 | 2 | 40 | Highest efficiency limit (69.11% at 40 g/L), significantly higher adsorption capacity (27.64 g/g at 40 g/L) than the other two methods. |
| Stability Experiment | Sample | Weight Mass (%) | Significant Differences | ||
|---|---|---|---|---|---|
| Day 0 | Day 5 | Day 10 | |||
| High-Temperature | PO | - | −77.5035 ± 0.143 | −90.3051 ± 0.3036 | *** |
| PO-SECs | - | −57.1999 ± 0.198 | −60.2471 ± 0.2447 | *** | |
| Ca-Alg@PO-SECs | - | −21.895 ± 0.037 | −30.1331 ± 0.1089 | ||
| High-Humidity | PO | - | −33.4615 ± 0.3928 | −66.3021 ± 0.1522 | *** |
| PO-SECs | - | −14.5594 ± 0.3484 | −32.48412 ± 0.1878 | *** | |
| Ca-Alg@PO-SECs | - | 29.8286 ± 0.0342 | 40.13689 ± 0.1793 | ||
| Strong Light | PO | - | −14.6478 ± 0.3544 | −61.6328 ± 0.2729 | *** |
| PO-SECs | - | −8.6535 ± 0.2184 | −32.3811 ± 0.2316 | *** | |
| Ca-Alg@PO-SECs | - | −1.9352 ± 0.0741 | −4.8639 ± 0.2001 | ||
Disclaimer/Publisher’s Note: The statements, opinions and data contained in all publications are solely those of the individual author(s) and contributor(s) and not of MDPI and/or the editor(s). MDPI and/or the editor(s) disclaim responsibility for any injury to people or property resulting from any ideas, methods, instructions or products referred to in the content. |
© 2026 by the authors. Licensee MDPI, Basel, Switzerland. This article is an open access article distributed under the terms and conditions of the Creative Commons Attribution (CC BY) license.
Share and Cite
Si, J.; Dai, S.; Su, H.; Ji, Z.; Dong, C.; Lyu, X.; Lyu, S.; Chen, L.; Sun, J.; Jin, X.; et al. Engineered Sporopollenin Exine Capsules for Colon-Targeted Delivery and Antioxidant Therapy of Pogostemon Oil in Ulcerative Colitis. Antioxidants 2026, 15, 116. https://doi.org/10.3390/antiox15010116
Si J, Dai S, Su H, Ji Z, Dong C, Lyu X, Lyu S, Chen L, Sun J, Jin X, et al. Engineered Sporopollenin Exine Capsules for Colon-Targeted Delivery and Antioxidant Therapy of Pogostemon Oil in Ulcerative Colitis. Antioxidants. 2026; 15(1):116. https://doi.org/10.3390/antiox15010116
Chicago/Turabian StyleSi, Jia, Shasha Dai, Huaiyu Su, Zhongjuan Ji, Cong Dong, Xinao Lyu, Shuhuan Lyu, Lin Chen, Jianwei Sun, Xiangqun Jin, and et al. 2026. "Engineered Sporopollenin Exine Capsules for Colon-Targeted Delivery and Antioxidant Therapy of Pogostemon Oil in Ulcerative Colitis" Antioxidants 15, no. 1: 116. https://doi.org/10.3390/antiox15010116
APA StyleSi, J., Dai, S., Su, H., Ji, Z., Dong, C., Lyu, X., Lyu, S., Chen, L., Sun, J., Jin, X., & Li, H. (2026). Engineered Sporopollenin Exine Capsules for Colon-Targeted Delivery and Antioxidant Therapy of Pogostemon Oil in Ulcerative Colitis. Antioxidants, 15(1), 116. https://doi.org/10.3390/antiox15010116
