Evaluating Inclusion of Commercial Pistachio By-Product as a Functional Ingredient in Rainbow Trout Fishmeal and Plant Meal-Based Diets
Abstract
1. Introduction
2. Materials and Methods
2.1. Experimental Diets and Fish Husbandry
2.2. Sample Collection
2.3. Isolation of Serum for TAC and TPC Assays
2.4. Diet Extraction for TAC and TPC Assays
2.5. TPC Assay
2.6. TAC Assay
2.7. Genomic DNA Extraction, Library Preparation, and 16S rRNA Gene Sequencing
2.8. RNA Extraction and Real-Time qPCR
| Gene | Primer/Probe Sequence (5′–3′) | Primer Eff. (%) |
|---|---|---|
| Ef1-α NM_001124339.1 | F: GTGAGTTTGAGGCTGGTATCT R: GCTCAGTAGAGTCCATCTTGTT P:/FAM/TGGGAGTGA/ZEN/AACAGCTCATTGTTGGA/3IABkFQ | Run 1: 95.95 Run 2: 105.27 |
| β-actin NM_001124235.1 | F: CTTCTCTCTCCACCTTCCAAC R: GGGATGGGTACAGTCTGTTTAG P:/FAM/CCTCCATCG/ZEN/TCCACCGTAAATGCT/3IABkFQ | Run 1: 104.63 Run 2: 104.11 |
| TNF-α NM_001124357.1 | F: CTGGGCTCTTCTTCGTTTACA R: GAGTCCGAATAGCGCCAAATA P:/FAM/AGGCTTCGT/ZEN/TTAGGGTCAAGTGCA/3IABkFQ | Run 1: 105.46 Run 2: 106.68 |
| NRF-2α XM_036959401.1 | F: GCAAGCTCATACTCTAGCTCTC R: CAGGGTTACTGTCCATCTCATC P:/FAM/TCCTTTGGT/ZEN/GGCTACAGCGATTCA/3IABkFQ | Run 1: 94.17 Run 2: 95.91 |
| Ictacalcin S100I2 XM_036967731.1 | F: GCTTGGAGAGATCATGGGGAAAA R: TCCACACTGCCATCTGCATTAG P:/FAM/ACACTGACC/ZEN/AGGCAAAGGTTGACA/3IABkFQ | Run 1: 102.58 Run 2: 107.31 |
| SOD BT074393 [51] | F: CCACGGAGGACCCACTG R: CAGCTCCTGCAGTCACGTT P:/FAM/ACGTGCCGAACAGCAT/NFQ | Run 1: 99.67 Run 2: 106.18 |
| CAT XM_021564310 [51] | F: GGACCTTACTGGCAACAACAC R: CGCTTCTGAGAGTGGATAAAGGAT P:/FAM/ACAGCATGGCGTCCCT/NFQ | Run 1: 95.23 Run 2: 99.44 |
| GPX-1 NM_001124525.1 [52] | F: CGCCCACCCACTGTTTGT R: GCTCGTCGCTTGGGAATG | Run 1: 112.31 Run 2: 100.68 |
2.9. Proximate Analysis
2.10. Histology
2.11. Data Wrangling and Statistical Analysis
3. Results
3.1. Growth Performance and Whole-Body Proximate Analysis
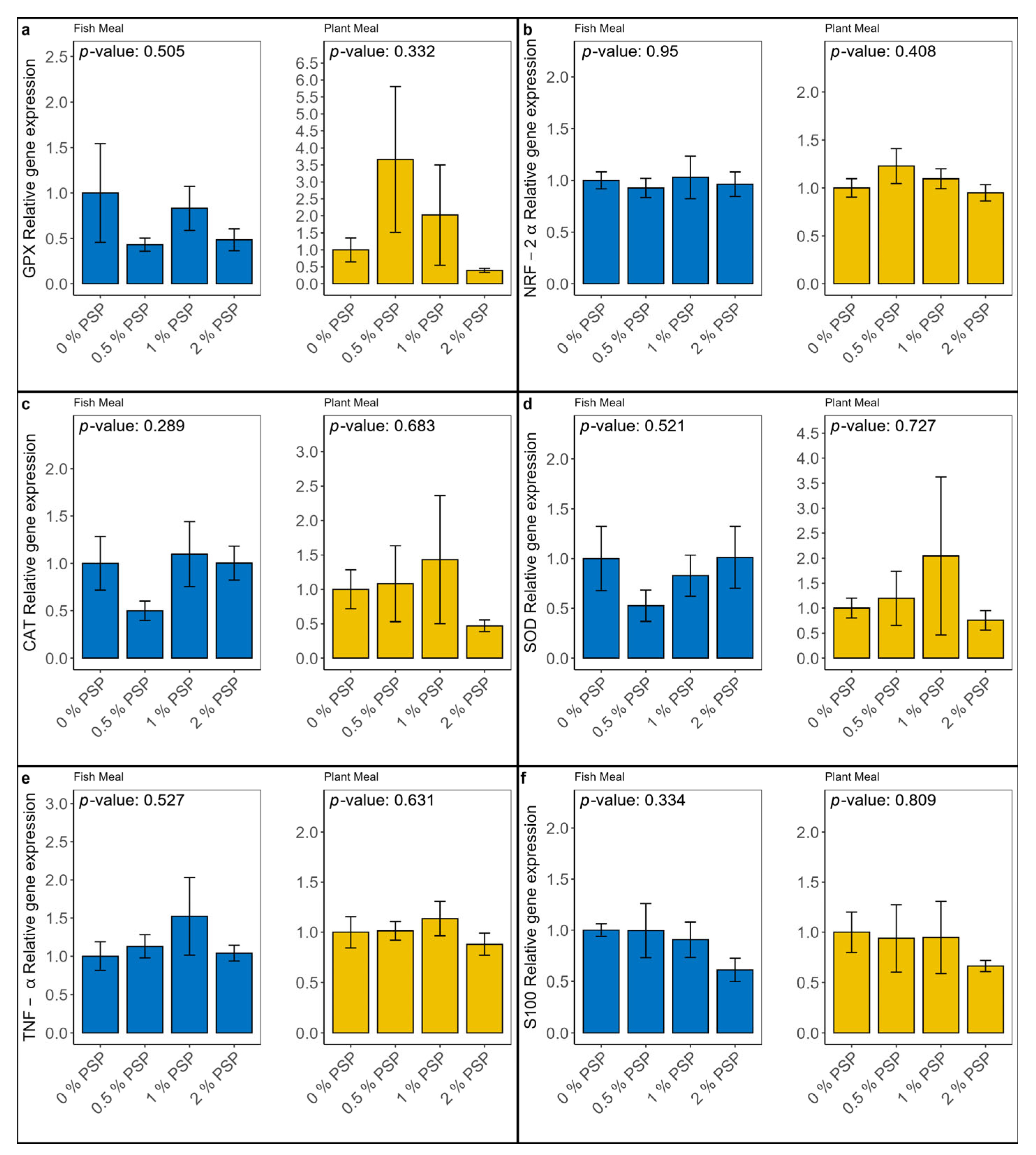
3.2. Intestinal Gene Expression
3.3. TAC and TPC Analyses
3.4. Alpha Diversity
3.5. Beta Diversity
3.6. Differential Abundance
3.7. Histology
4. Discussion
4.1. Growth Performance and Whole-Body Proximate Analysis
4.2. Intestinal Gene Expression and Histology
4.3. TAC and TPC Analyses
4.4. Microbiome Analyses
5. Conclusions
Author Contributions
Funding
Institutional Review Board Statement
Data Availability Statement
Acknowledgments
Conflicts of Interest
Abbreviations
| Abbreviation | Description |
| PSP | Pistachio Shell Powder |
| FM | Fishmeal |
| PM | Plant Meal |
| TAC | Total Antioxidant Capacity |
| TPC | Total Phenolic Compounds |
| Ef1-α | Elongation factor 1α |
| β-actin | Beta actin |
| NRF-2α | Nuclear Factor erythroid 2-related factor 2a |
| CAT | Catalase |
| SOD | Superoxide dismutase |
| GPX-1 | Glutathione peroxidase 1 |
| TNF-α | Tumor Necrosis Factor-alpha |
| S100 | Ictacalcin S10012 |
| AWG | Average Weight Gain |
| ROS | Reactive Oxygen Species |
| PER | Protein Efficiency Ratio |
| SGR | Specific Growth Rate |
| SBME | Soybean Meal-Induced Enteritis |
| FCR | Feed Conversion Ratio |
| IACUC | Institutional Animal Care and Use Committee |
| DO | Dissolved Oxygen |
| PCR | Polymerase Chain Reaction |
| qPCR | Quantitative PCR |
| NGS | Next-Generation Sequencing |
| RQ | Relative Quantification |
| ASV | Amplicon Sequence Variant |
| DNA | Deoxyribonucleic Acid |
| RNA | Ribonucleic Acid |
| cDNA | Complementary DNA |
| PBS | Phosphate-Buffered Saline |
| ANOVA | Analysis of Variance |
| PERMANOVA | Permutational Multivariate Analysis of Variance |
| PCoA | Principal Coordinate Analysis |
| CSS | Cumulative Sum Scaling |
| ANCOM-BC: | Analysis of Composition of Microbiomes with Bias Correction |
| H&E | Hematoxylin and Eosin |
References
- Halwart, M. Aquaculture in SOFIA 2022. FAO Aquac. Newsl. 2022, pp. 7–8. Available online: https://www.proquest.com/scholarly-journals/aquaculture-sofia-2022/docview/2759073920/se-2 (accessed on 17 June 2024).
- Baeverfjord, G.; Krogdahl, Å. Development and regression of soybean meal induced enteritis in Atlantic salmon, Salmo salar L., distal intestine: A comparison with the intestines of fasted fish. J. Fish Dis. 1996, 19, 375–387. [Google Scholar] [CrossRef]
- Venold, F.F.; Penn, M.H.; Krogdahl, Å.; Overturf, K. Severity of soybean meal induced distal intestinal inflammation, enterocyte proliferation rate, and fatty acid binding protein (Fabp2) level differ between strains of rainbow trout (Oncorhynchus mykiss). Aquaculture 2012, 364, 281–292. [Google Scholar] [CrossRef]
- Blaufuss, P.C.; Gaylord, T.G.; Sealey, W.M.; Powell, M.S. Effects of high-soy diet on S100 gene expression in liver and intestine of rainbow trout (Oncorhynchus mykiss). Fish Shellfish Immunol. 2019, 86, 764–771. [Google Scholar] [CrossRef]
- Kiron, V.; Thawonsuwan, J.; Panigrahi, A.; Scharsack, J.; Satoh, S. Antioxidant and immune defences of rainbow trout (Oncorhynchus mykiss) offered plant oils differing in fatty acid profiles from early stages. Aquac. Nutr. 2011, 17, 130–140. [Google Scholar] [CrossRef]
- Callet, T.; Médale, F.; Larroquet, L.; Surget, A.; Aguirre, P.; Kerneis, T.; Labbé, L.; Quillet, E.; Geurden, I.; Skiba-Cassy, S. Successful selection of rainbow trout (Oncorhynchus mykiss) on their ability to grow with a diet completely devoid of fishmeal and fish oil, and correlated changes in nutritional traits. PLoS ONE 2017, 12, e0186705. [Google Scholar] [CrossRef]
- Abernathy, J.; Brezas, A.; Snekvik, K.R.; Hardy, R.W.; Overturf, K. Integrative functional analyses using rainbow trout selected for tolerance to plant diets reveal nutrigenomic signatures for soy utilization without the concurrence of enteritis. PLoS ONE 2017, 12, e0180972. [Google Scholar] [CrossRef]
- Dalsgaard, J.; Verlhac, V.; Hjermitslev, N.; Ekmann, K.S.; Fischer, M.; Klausen, M.; Pedersen, P.B. Effects of exogenous enzymes on apparent nutrient digestibility in rainbow trout (Oncorhynchus mykiss) fed diets with high inclusion of plant-based protein. Anim. Feed Sci. Technol. 2012, 171, 181–191. [Google Scholar] [CrossRef]
- Javaherdoust, S.; Yeganeh, S.; Amirkolaie, A.K. Effects of dietary visceral protein hydrolysate of rainbow trout on growth performance, carcass composition, digestibility and antioxidant enzyme in juvenile Oncorhynchus mykiss. Aquac. Nutr. 2020, 26, 134–144. [Google Scholar] [CrossRef]
- Torrecillas, S.; Montero, D.; Caballero, M.J.; Pittman, K.A.; Custódio, M.; Campo, A.; Sweetman, J.; Izquierdo, M. Dietary mannan oligosaccharides: Counteracting the side effects of soybean meal oil inclusion on European sea bass (Dicentrarchus labrax) gut health and skin mucosa mucus production? Front. Immunol. 2015, 6, 397. [Google Scholar] [CrossRef]
- Refstie, S.; Baeverfjord, G.; Seim, R.R.; Elvebø, O. Effects of dietary yeast cell wall β-glucans and MOS on performance, gut health, and salmon lice resistance in Atlantic salmon (Salmo salar) fed sunflower and soybean meal. Aquaculture 2010, 305, 109–116. [Google Scholar] [CrossRef]
- Hussain, S.M.; Aslam, N.; Javid, A.; Liaquat, S.; Shahzad, M.M.; Arsalan, M.Z.-u.-H.; Khalid, M.A. Efficacy of probiotics supplementation on mineral digestibility, haematological parameters and carcass composition of Oreochromis niloticus fingerlings fed canola meal based diets. Pak. J. Zool. 2018, 50, 1825–1834. [Google Scholar] [CrossRef]
- Rajput, R.; Kaur, A.; Nayik, G.A. Pistachio. In Antioxidants in Vegetables and Nuts—Properties and Health Benefits; Nayik, G.A., Gull, A., Eds.; Springer: Singapore, 2020; pp. 489–507. [Google Scholar]
- Cardullo, N.; Leanza, M.; Muccilli, V.; Tringali, C. Valorization of agri-food waste from pistachio hard shells: Extraction of polyphenols as natural antioxidants. Resources 2021, 10, 45. [Google Scholar] [CrossRef]
- USNASS. Non-Citrus Fruits and Nuts: 2020 Summary; USDA, National Agricultural Statistics Service: Washington, DC, USA, 2021. ISSN: 1948-2698 (Release Date: 5 May 2021). Available online: https://usda.library.cornell.edu/concern/publications/zs25x846c (accessed on 17 June 2024).
- Mandalari, G.; Barreca, D.; Gervasi, T.; Roussell, M.A.; Klein, B.; Feeney, M.J.; Carughi, A. Pistachio nuts (Pistacia vera L.): Production, nutrients, bioactives and novel health effects. Plants 2021, 11, 18. [Google Scholar] [CrossRef] [PubMed]
- Akbari-Alavijeh, S.; Soleimanian-Zad, S.; Sheikh-Zeinoddin, M.; Hashmi, S. Pistachio hull water-soluble polysaccharides as a novel prebiotic agent. Int. J. Biol. Macromol. 2018, 107, 808–816. [Google Scholar] [CrossRef] [PubMed]
- Göncü, B.; Gülşen, H. Enzymatic conversion of pistachio (Pistacia vera L.) shells for fermentable sugar production. Energy Sources Part A Recovery Util. Environ. Eff. 2021, 43, 1444–1455. [Google Scholar] [CrossRef]
- Ukhanova, M.; Wang, X.; Baer, D.J.; Novotny, J.A.; Fredborg, M.; Mai, V. Effects of almond and pistachio consumption on gut microbiota composition in a randomised cross-over human feeding study. Br. J. Nutr. 2014, 111, 2146–2152. [Google Scholar] [CrossRef]
- Yanni, A.E.; Mitropoulou, G.; Prapa, I.; Agrogiannis, G.; Kostomitsopoulos, N.; Bezirtzoglou, E.; Kourkoutas, Y.; Karathanos, V.T. Functional modulation of gut microbiota in diabetic rats following dietary intervention with pistachio nuts (Pistacia vera L.). Metab. Open 2020, 7, 100040. [Google Scholar] [CrossRef]
- Gonçalves, B.; Pinto, T.; Aires, A.; Morais, M.C.; Bacelar, E.; Anjos, R.; Ferreira-Cardoso, J.; Oliveira, I.; Vilela, A.; Cosme, F. Composition of nuts and their potential health benefits—An overview. Foods 2023, 12, 942. [Google Scholar] [CrossRef]
- Ballal, S.A.; Veiga, P.; Fenn, K.; Michaud, M.; Kim, J.H.; Gallini, C.A.; Glickman, J.N.; Quéré, G.; Garault, P.; Béal, C. Host lysozyme-mediated lysis of Lactococcus lactis facilitates delivery of colitis-attenuating superoxide dismutase to inflamed colons. Proc. Natl. Acad. Sci. USA 2015, 112, 7803–7808. [Google Scholar] [CrossRef]
- Liu, J.; Wang, Y.; Heelan, W.J.; Chen, Y.; Li, Z.; Hu, Q. Mucoadhesive probiotic backpacks with ROS nanoscavengers enhance the bacteriotherapy for inflammatory bowel diseases. Sci. Adv. 2022, 8, eabp8798. [Google Scholar] [CrossRef]
- Yang, F.; Su, Y.; Yan, C.; Chen, T.; Cheung, P.C.K. Attenuation of inflammatory bowel disease by oral administration of mucoadhesive polydopamine-coated yeast β-glucan via ROS scavenging and gut microbiota regulation. J. Nanobiotechnol. 2024, 22, 166. [Google Scholar] [CrossRef] [PubMed]
- Pérez-Pascual, D.; Pérez-Cobas, A.E.; Rigaudeau, D.; Rochat, T.; Bernardet, J.-F.; Skiba-Cassy, S.; Marchand, Y.; Duchaud, E.; Ghigo, J.-M. Sustainable plant-based diets promote rainbow trout gut microbiota richness and do not alter resistance to bacterial infection. Anim. Microbiome 2021, 3, 47. [Google Scholar] [CrossRef] [PubMed]
- Gajardo, K.; Jaramillo-Torres, A.; Kortner, T.M.; Merrifield, D.L.; Tinsley, J.; Bakke, A.M.; Krogdahl, Å. Alternative protein sources in the diet modulate microbiota and functionality in the distal intestine of Atlantic salmon (Salmo salar). Appl. Environ. Microbiol. 2017, 83, e02615–e02616. [Google Scholar] [CrossRef] [PubMed]
- Terova, G.; Rimoldi, S.; Ascione, C.; Gini, E.; Ceccotti, C.; Gasco, L. Rainbow trout (Oncorhynchus mykiss) gut microbiota is modulated by insect meal from Hermetia illucens prepupae in the diet. Rev. Fish Biol. Fish. 2019, 29, 465–486. [Google Scholar] [CrossRef]
- Mohammadi, G.; Hafezieh, M.; Karimi, A.A.; Azra, M.N.; Van Doan, H.; Tapingkae, W.; Abdelrahman, H.A.; Dawood, M.A. The synergistic effects of plant polysaccharide and Pediococcus acidilactici as a synbiotic additive on growth, antioxidant status, immune response, and resistance of Nile tilapia (Oreochromis niloticus) against Aeromonas hydrophila. Fish Shellfish Immunol. 2022, 120, 304–313. [Google Scholar] [CrossRef]
- Mohammadi, G.; Karimi, A.A.; Hafezieh, M.; Dawood, M.A.; Abo-Al-Ela, H.G. Pistachio hull polysaccharide protects Nile tilapia against LPS-induced excessive inflammatory responses and oxidative stress, possibly via TLR2 and Nrf2 signaling pathways. Fish Shellfish Immunol. 2022, 121, 276–284. [Google Scholar] [CrossRef]
- Mohammadi, G.; Rafiee, G.; El Basuini, M.F.; Abdel-Latif, H.M.; Dawood, M.A. The growth performance, antioxidant capacity, immunological responses, and the resistance against Aeromonas hydrophila in Nile tilapia (Oreochromis niloticus) fed Pistacia vera hulls derived polysaccharide. Fish Shellfish Immunol. 2020, 106, 36–43. [Google Scholar] [CrossRef]
- Green, J.; Hardy, R. The optimum dietary essential amino acid pattern for rainbow trout (Oncorhynchus mykiss), to maximize nitrogen retention and minimize nitrogen excretion. Fish Physiol. Biochem. 2002, 27, 97–108. [Google Scholar] [CrossRef]
- Gaylord, T.G.; Barrows, F.T.; Teague, A.M.; Johansen, K.A.; Overturf, K.E.; Shepherd, B. Supplementation of taurine and methionine to all-plant protein diets for rainbow trout (Oncorhynchus mykiss). Aquaculture 2007, 269, 514–524. [Google Scholar] [CrossRef]
- Sealey, W.M.; Barrows, F.T.; Smith, C.E.; Overturf, K.; LaPatra, S.E. Soybean meal level and probiotics in first feeding fry diets alter the ability of rainbow trout Oncorhynchus mykiss to utilize high levels of soybean meal during grow-out. Aquaculture 2009, 293, 195–203. [Google Scholar] [CrossRef]
- Barrows, F.; Gaylord, T.; Sealey, W.; Rawles, S. Database of Nutrient Digestibility’s of Traditional and Novel Feed Ingredients for Trout and Hybrid Striped Bass; USDA-ARS (United States Department of Agriculture-Agriculture Research Service): Aberdeen, ID, USA, 2011. [Google Scholar]
- Hinshaw, J.M. Trout Production: Feeds and Feeding Methods; Publication No. 223; SRAC Publication: Stoneville, MI, USA, 1990. [Google Scholar]
- Lugert, V.; Thaller, G.; Tetens, J.; Schulz, C.; Krieter, J. A review on fish growth calculation: Multiple functions in fish production and their specific application. Rev. Aquac. 2016, 8, 30–42. [Google Scholar] [CrossRef]
- Hong, J.; Ortiz, J.G.; Sealey, W.M.; Small, B.C. Effects of dietary arachidonic acid supplementation in low fishmeal and fish oil-free diets on growth performance, inflammatory response, gut histology, and non-specific immunity in sub-adult rainbow trout, Oncorhynchus mykiss. Aquaculture 2024, 580, 740272. [Google Scholar] [CrossRef]
- Kiron, V.; Sørensen, M.; Huntley, M.; Vasanth, G.K.; Gong, Y.; Dahle, D.; Palihawadana, A.M. Defatted biomass of the microalga, Desmodesmus sp., can replace fishmeal in the feeds for Atlantic salmon. Front. Mar. Sci. 2016, 3, 67. [Google Scholar] [CrossRef]
- Bledsoe, J.W.; Pietrak, M.R.; Burr, G.S.; Peterson, B.C.; Small, B.C. Functional feeds marginally alter immune expression and microbiota of Atlantic salmon (Salmo salar) gut, gill, and skin mucosa though evidence of tissue-specific signatures and host–microbe coadaptation remain. Anim. Microbiome 2022, 4, 20. [Google Scholar] [CrossRef]
- Weinstein, M.M.; Prem, A.; Jin, M.; Tang, S.; Bhasin, J.M. FIGARO: An efficient and objective tool for optimizing microbiome rRNA gene trimming parameters. BioRxiv 2019. [Google Scholar] [CrossRef]
- Callahan, B.J.; McMurdie, P.J.; Rosen, M.J.; Han, A.W.; Johnson, A.J.A.; Holmes, S.P. DADA2: High-resolution sample inference from Illumina amplicon data. Nat. Methods 2016, 13, 581–583. [Google Scholar] [CrossRef]
- R Core Team. R: A Language and Environment for Statistical Computing; R Core Team: Vienna, Austria, 2013. [Google Scholar]
- Quast, C.; Pruesse, E.; Yilmaz, P.; Gerken, J.; Schweer, T.; Yarza, P.; Peplies, J.; Glöckner, F.O. The SILVA ribosomal RNA gene database project: Improved data processing and web-based tools. Nucleic Acids Res. 2012, 41, D590–D596. [Google Scholar] [CrossRef]
- Camacho, C.; Coulouris, G.; Avagyan, V.; Ma, N.; Papadopoulos, J.; Bealer, K.; Madden, T.L. BLAST+: Architecture and applications. BMC Bioinform. 2009, 10, 421. [Google Scholar] [CrossRef]
- Frøslev, T.G.; Kjøller, R.; Bruun, H.H.; Ejrnæs, R.; Brunbjerg, A.K.; Pietroni, C.; Hansen, A.J. Algorithm for post-clustering curation of DNA amplicon data yields reliable biodiversity estimates. Nat. Commun. 2017, 8, 1188. [Google Scholar] [CrossRef]
- McMurdie, P.J.; Holmes, S. phyloseq: An R package for reproducible interactive analysis and graphics of microbiome census data. PLoS ONE 2013, 8, e61217. [Google Scholar] [CrossRef]
- Oksanen, J.; Simpson, G.; Blanchet, F.; Kindt, R.; Legendre, P.; Minchin, P.; O’Hara, R.; Solymos, P.; Stevens, M.; Szoecs, E.; et al. Vegan: Community Ecology Package. 2024. Available online: https://CRAN.R-project.org/package=vegan (accessed on 16 July 2024).
- Martinez, A.P. Pairwiseadonis: Pairwise Multilevel Comparison Using Adonis. Version 0.4.1. 2017. Available online: https://github.com/pmartinezarbizu/pairwiseAdonis (accessed on 28 July 2024).
- Lin, H.; Peddada, S.D. Multigroup analysis of compositions of microbiomes with covariate adjustments and repeated measures. Nat. Methods 2024, 21, 83–91. [Google Scholar] [CrossRef] [PubMed]
- Vandesompele, J.; De Preter, K.; Pattyn, F.; Poppe, B.; Van Roy, N.; De Paepe, A.; Speleman, F. Accurate normalization of real-time quantitative RT-PCR data by geometric averaging of multiple internal control genes. Genome Biol. 2002, 3, research0034.1. [Google Scholar] [CrossRef] [PubMed]
- Welker, T.L.; Overturf, K.; Abernathy, J. Effect of Water Source and Trout Strain on Expression of Stress-Affected Genes in a Commercial Setting. N. Am. J. Aquac. 2018, 80, 249–262. [Google Scholar] [CrossRef]
- Villasante, A.; Powell, M.S.; Moutou, K.; Murdoch, G.K.; Overturf, K.; Wacyk, J.; Hardy, R.W. Effects of anthocyanidins on myogenic differentiation and antioxidant defense in primary myogenic cells isolated from rainbow trout (Oncorhynchus mykiss). Aquaculture 2016, 454, 81–89. [Google Scholar] [CrossRef]
- McCleary, B.V. Modification to AOAC official methods 2009.01 and 2011.25 to allow for minor overestimation of low molecular weight soluble dietary fiber in samples containing starch. J. AOAC Int. 2014, 97, 896–901. [Google Scholar] [CrossRef]
- Bankhead, P.; Loughrey, M.B.; Fernández, J.A.; Dombrowski, Y.; McArt, D.G.; Dunne, P.D.; McQuaid, S.; Gray, R.T.; Murray, L.J.; Coleman, H.G. QuPath: Open source software for digital pathology image analysis. Sci. Rep. 2017, 7, 16878. [Google Scholar] [CrossRef]
- Wickham, H.; Averick, M.; Bryan, J.; Chang, W.; McGowan, L.D.A.; François, R.; Grolemund, G.; Hayes, A.; Henry, L.; Hester, J. Welcome to the Tidyverse. J. Open Source Softw. 2019, 4, 1686. [Google Scholar] [CrossRef]
- Bodenhofer, U.; Bonatesta, E.; Horejš-Kainrath, C.; Hochreiter, S. msa: An R package for multiple sequence alignment. Bioinformatics 2015, 31, 3997–3999. [Google Scholar] [CrossRef]
- Pagès, H.; Aboyoun, P.; Gentleman, R.; DebRoy, S. Biostrings: Efficient Manipulation of Biological Strings. Version 2.72.1; Bioconductor: Boston, MA, USA, 2024. [Google Scholar] [CrossRef]
- Pedersen, T.L. Package ‘patchwork’. Available online: http://CRAN.R-project.org/package=patchwork (accessed on 16 July 2024).
- Wilke, C.O. Package ‘cowplot’. Streamlined Plot Theme and Plot Annotations for ‘ggplot2.1. Version 1.1.3. Available online: https://CRAN.R-project.org/package=cowplot (accessed on 22 July 2024).
- Hothorn, T.; Bretz, F.; Westfall, P.; Heiberger, R.M.; Schuetzenmeister, A.; Scheibe, S.; Hothorn, M.T. Package ‘multcomp’. In Simultaneous Inference in General Parametric Models; Project for Statistical Computing: Vienna, Austria, 2016; pp. 1–36. [Google Scholar]
- Graves, S.; Piepho, H.-P.; Selzer, M.L. Package ‘multcompView’. Vis. Paired Comp. 2015, 451, 452. [Google Scholar]
- Paradis, E.; Schliep, K. ape 5.0: An environment for modern phylogenetics and evolutionary analyses in R. Bioinformatics 2019, 35, 526–528. [Google Scholar] [CrossRef]
- Wickham, H. Package ‘forcats’. Tools for Working with Categorical Variables (Factors). Version 1.0.0. 2023. Available online: https://CRAN.R-project.org/package=forcats (accessed on 20 June 2024).
- Robinson, D. broom: An R package for converting statistical analysis objects into tidy data frames. arXiv 2014, arXiv:1412.3565. [Google Scholar]
- Kolde, R.; Kolde, M.R. Package ‘pheatmap’. R Package 2015, 1, 790. [Google Scholar]
- Paulson, J.N.; Stine, O.C.; Bravo, H.C.; Pop, M. Differential abundance analysis for microbial marker-gene surveys. Nat. Methods 2013, 10, 1200–1202. [Google Scholar] [CrossRef] [PubMed]
- De Francesco, M.; Parisi, G.; Médale, F.; Lupi, P.; Kaushik, S.J.; Poli, B.M. Effect of long-term feeding with a plant protein mixture based diet on growth and body/fillet quality traits of large rainbow trout (Oncorhynchus mykiss). Aquaculture 2004, 236, 413–429. [Google Scholar] [CrossRef]
- Desai, A.R.; Links, M.G.; Collins, S.A.; Mansfield, G.S.; Drew, M.D.; Van Kessel, A.G.; Hill, J.E. Effects of plant-based diets on the distal gut microbiome of rainbow trout (Oncorhynchus mykiss). Aquaculture 2012, 350, 134–142. [Google Scholar] [CrossRef]
- Motamedi, J.; Shafiei Hasanabadi, F. Effect of different levels pistachio hull (Pistacia vera) on the growth and some biochemical and hematological properties of rainbow trout (Oncorhynchus mykiss). Fish. Sci. Technol. 2014, 3, 13–24. [Google Scholar]
- Motamedi-Tehrani, J.; Ebrahimi-Dorcheh, E.; Goli, S. Effect of pistachio (Pistacia vera) hull extract on growth performance, body composition, total phenolic compound and fillets peroxide value of common carp, Cyprinus carpio. Aquac. Nutr. 2016, 22, 479–484. [Google Scholar] [CrossRef]
- Motamedi-Tehrani, J.; Ebrahimi-Dorcheh, E.; Malekpouri, P.; Goli, S. Liver alteration and hematological and serum biochemical responses of common carp, Cyprinus carpio Linnaeus, 1758, following long-term feeding of pistachio (Pistacia vera) green hull extract as a source of natural phenol. J. Appl. Ichthyol. 2016, 32, 906–912. [Google Scholar] [CrossRef]
- Shakeri, P.; Riasi, A.; Alikhani, M.; Fazaeli, H.; Ghorbani, G. Effects of feeding pistachio by-products silage on growth performance, serum metabolites and urine characteristics in Holstein male calves. J. Anim. Physiol. Anim. Nutr. 2013, 97, 1022–1029. [Google Scholar] [CrossRef]
- Shakeri, P. Pistachio by-product as an alternative forage source for male lambs: Effects on performance, blood metabolites, and urine characteristics. Anim. Feed Sci. Technol. 2016, 211, 92–99. [Google Scholar] [CrossRef]
- Kim, Y.; Lee, S.A.; Stein, H.H. Determination of energy values in pistachio shell powder and soybean hulls fed to gestating and lactating sows. Transl. Anim. Sci. 2024, 8, txae135. [Google Scholar] [CrossRef] [PubMed]
- Teimouri, M.; Yeganeh, S.; Amirkolaie, A. The effects of Spirulina platensis meal on proximate composition, fatty acid profile and lipid peroxidation of rainbow trout (Oncorhynchus mykiss) muscle. Aquac. Nutr. 2016, 22, 559–566. [Google Scholar] [CrossRef]
- Rahman, M.M.; Khosravi, S.; Chang, K.H.; Lee, S.-M. Effects of dietary inclusion of astaxanthin on growth, muscle pigmentation and antioxidant capacity of juvenile rainbow trout (Oncorhynchus mykiss). Prev. Nutr. Food Sci. 2016, 21, 281. [Google Scholar] [CrossRef]
- Zhang, J.; Kris-Etherton, P.M.; Thompson, J.T.; Vanden Heuvel, J.P. Effect of pistachio oil on gene expression of IFN-induced protein with tetratricopeptide repeats 2: A biomarker of inflammatory response. Mol. Nutr. Food Res. 2010, 54, S83–S92. [Google Scholar] [CrossRef]
- Palma, M.; Bledsoe, J.W.; Tavares, L.C.; Romano, N.; Small, B.C.; Viegas, I.; Overturf, K. Digesta and plasma metabolomics of rainbow trout strains with varied tolerance of plant-based diets highlights potential for non-lethal assessments of enteritis development. Metabolites 2021, 11, 590. [Google Scholar] [CrossRef]
- Jahazi, M.A.; Hoseinifar, S.H.; Jafari, V.; Hajimoradloo, A.; Van Doan, H.; Paolucci, M. Dietary supplementation of polyphenols positively affects the innate immune response, oxidative status, and growth performance of common carp, Cyprinus carpio L. Aquaculture 2020, 517, 734709. [Google Scholar] [CrossRef]
- Singh, A.; Vidakovic, A.; Hjertner, B.; Krikigianni, E.; Karnaouri, A.; Christakopoulos, P.; Rova, U.; Dicksved, J.; Baruah, K.; Lundh, T. Effects of dietary supplementation of lignocellulose-derived cello-oligosaccharides on growth performance, antioxidant capacity, immune response, and intestinal microbiota in rainbow trout (Oncorhynchus mykiss). Aquaculture 2024, 578, 740002. [Google Scholar] [CrossRef]
- Giannenas, I.; Triantafillou, E.; Stavrakakis, S.; Margaroni, M.; Mavridis, S.; Steiner, T.; Karagouni, E. Assessment of dietary supplementation with carvacrol or thymol containing feed additives on performance, intestinal microbiota and antioxidant status of rainbow trout (Oncorhynchus mykiss). Aquaculture 2012, 350, 26–32. [Google Scholar] [CrossRef]
- Wang, C.a.; Su, B.; Lu, S.; Han, S.; Jiang, H.; Li, Z.; Liu, Y.; Liu, H.; Yang, Y. Effects of glutathione on growth, intestinal antioxidant capacity, histology, gene expression, and microbiota of juvenile triploid Oncorhynchus mykiss. Front. Physiol. 2021, 12, 784852. [Google Scholar] [CrossRef]
- Ma, F.; Ma, R.; Zou, Y.; Zhao, L. Effect of astaxanthin on the antioxidant capacity and intestinal microbiota of tsinling lenok trout (Brachymystax lenok tsinlingensis). Mar. Biotechnol. 2022, 24, 1125–1137. [Google Scholar] [CrossRef]
- Palafox-Carlos, H.; Ayala-Zavala, J.F.; González-Aguilar, G.A. The role of dietary fiber in the bioaccessibility and bioavailability of fruit and vegetable antioxidants. J. Food Sci. 2011, 76, R6–R15. [Google Scholar] [CrossRef] [PubMed]
- Wong, S.; Rawls, J.F. Intestinal Microbiota Composition in Fishes Is Influenced by Host Ecology and Environment. Molecular Ecology. 2012, 21, 3100–3102. [Google Scholar] [CrossRef] [PubMed]
- Talham, G.L.; Jiang, H.-Q.; Bos, N.A.; Cebra, J.J. Segmented filamentous bacteria are potent stimuli of a physiologically normal state of the murine gut mucosal immune system. Infect. Immun. 1999, 67, 1992–2000. [Google Scholar] [CrossRef]
- Rhee, K.-J.; Sethupathi, P.; Driks, A.; Lanning, D.K.; Knight, K.L. Role of commensal bacteria in development of gut-associated lymphoid tissues and preimmune antibody repertoire. J. Immunol. 2004, 172, 1118–1124. [Google Scholar] [CrossRef]
- Ivanov, I.I.; Atarashi, K.; Manel, N.; Brodie, E.L.; Shima, T.; Karaoz, U.; Wei, D.; Goldfarb, K.C.; Santee, C.A.; Lynch, S.V. Induction of intestinal Th17 cells by segmented filamentous bacteria. Cell 2009, 139, 485–498. [Google Scholar] [CrossRef]
- Ming, H.; Cheng, L.-J.; Ding, C.-L.; Niu, M.-M.; Zhao, Z.-L.; Ji, W.-L.; Zhang, L.-Y.; Zhang, Y.-M.; Meng, X.-L.; Nie, G.-X. Paracoccus luteus sp. nov., isolated from the intestine of grass carp. Int. J. Syst. Evol. Microbiol. 2020, 70, 543–549. [Google Scholar] [CrossRef]
- Yatsunenko, T.; Rey, F.E.; Manary, M.J.; Trehan, I.; Dominguez-Bello, M.G.; Contreras, M.; Magris, M.; Hidalgo, G.; Baldassano, R.N.; Anokhin, A.P. Human gut microbiome viewed across age and geography. Nature 2012, 486, 222–227. [Google Scholar] [CrossRef]
- David, L.A.; Weil, A.; Ryan, E.T.; Calderwood, S.B.; Harris, J.B.; Chowdhury, F.; Begum, Y.; Qadri, F.; LaRocque, R.C.; Turnbaugh, P.J. Gut microbial succession follows acute secretory diarrhea in humans. MBio 2015, 6, 10–1128. [Google Scholar] [CrossRef]
- Barrasso, K.; Chac, D.; Debela, M.D.; Geigel, C.; Steenhaut, A.; Seda, A.R.; Dunmire, C.N.; Harris, J.B.; Larocque, R.C.; Midani, F.S. Impact of a human gut microbe on Vibrio cholerae host colonization through biofilm enhancement. Elife 2022, 11, e73010. [Google Scholar] [CrossRef]
- Chaiyasut, C.; Sivamaruthi, B.S.; Tansrisook, C.; Peerajan, S.; Chaiyasut, K.; Bharathi, M. Influence of Paraprobiotics-containing moisturizer on skin hydration and Microbiome: A preliminary study. Appl. Sci. 2022, 12, 12483. [Google Scholar] [CrossRef]
- Huang, X.; Zhang, D.-y.; Li, D.; Lv, Y.; Chen, S.; Bai, F. Human gastric microbiota analysis of refractory H. pylori infection. Sci. Rep. 2024, 14, 15619. [Google Scholar] [CrossRef]








| Ingredient (%) | PM | FM | ||||||
|---|---|---|---|---|---|---|---|---|
| 0% | 0.5% | 1% | 2% | 0% | 0.5% | 1% | 2% | |
| Pistachio shell powder | 0 | 0.5 | 1 | 2 | 0 | 0.5 | 1 | 2 |
| Soybean meal a | 25 | 25 | 25 | 25 | -- | -- | -- | -- |
| Soy protein concentrate b | 23.43 | 23.43 | 23.43 | 23.43 | -- | -- | -- | -- |
| Corn protein concentrate c | 10.23 | 10.23 | 10.23 | 10.23 | -- | -- | -- | -- |
| Fishmeal d | -- | -- | -- | -- | 28.2 | 28.2 | 28.2 | 28.2 |
| Poultry by-product meal e | -- | -- | -- | -- | 21.52 | 21.52 | 21.52 | 21.52 |
| Blood meal f | -- | -- | -- | -- | 4.3 | 4.3 | 4.3 | 4.3 |
| Wheat flour g | 13.3 | 12.8 | 12.3 | 11.3 | 27.56 | 27.06 | 26.56 | 25.56 |
| Wheat gluten meal | 2.24 | 2.24 | 2.24 | 2.24 | -- | -- | -- | -- |
| Fish oil h | 17 | 17 | 17 | 17 | 14.4 | 14.4 | 14.4 | 14.4 |
| Lysine HCl | 1.85 | 1.85 | 1.85 | 1.85 | 1.12 | 1.12 | 1.12 | 1.12 |
| Methionine | 0.59 | 0.59 | 0.59 | 0.59 | 0.42 | 0.42 | 0.42 | 0.42 |
| Threonine | 0.32 | 0.32 | 0.32 | 0.32 | 0.58 | 0.58 | 0.58 | 0.58 |
| Taurine i | 0.5 | 0.5 | 0.5 | 0.5 | -- | -- | -- | -- |
| Dicalcium phosphate | 2.75 | 2.75 | 2.75 | 2.75 | -- | -- | -- | -- |
| Vitamin premix j | 1 | 1 | 1 | 1 | 1 | 1 | 1 | 1 |
| Choline CL | 0.6 | 0.6 | 0.6 | 0.6 | 0.6 | 0.6 | 0.6 | 0.6 |
| Vitamin C k | 0.2 | 0.2 | 0.2 | 0.2 | 0.2 | 0.2 | 0.2 | 0.2 |
| Trace min premix l | 0.1 | 0.1 | 0.1 | 0.1 | 0.1 | 0.1 | 0.1 | 0.1 |
| Potassium chloride m | 0.56 | 0.56 | 0.56 | 0.56 | -- | -- | -- | -- |
| Sodium Chloride | 0.28 | 0.28 | 0.28 | 0.28 | -- | -- | -- | -- |
| Magnesium oxide m | 0.05 | 0.05 | 0.05 | 0.05 | -- | -- | -- | -- |
| Proximate composition | ||||||||
| Moisture (%) | 6.36 ± 0.08 | 4.39 ± 0.12 | 3.77 ± 0.06 | 2.78 ± 0.03 | 3.45 ± 0.03 | 2.02 ± 0.05 | 1.22 ± 0.05 | 2.28 ± 0.07 |
| Lipid—Dry weight (%) | 15.37 ± 0.45 | 16.95 ± 0.24 | 16.14 ± 0.02 | 14.74 ± 0.08 | 19.61 ± 0.29 | 19.48 ± 0.01 | 18.78 ± 0.21 | 18.84 ± 0.05 |
| Protein—Dry weight (%) | 47.11 ± 0.13 | 45.43 ± 0.52 | 46.37 ± 0.48 | 47.53 ± 0.02 | 53.57 ± 0.14 | 54.17 ± 0.18 | 53.85 ± 0.20 | 54.29 ± 0.23 |
| Ash—Dry weight (%) | 6.54 ± 0.05 | 6.66 ± 0.21 | 6.81 ± 0.18 | 7.28 ± 0.10 | 3.21 ± 0.06 | 3.21 ± 0.06 | 3.37 ± 0.00 | 3.17 ± 0.02 |
| Diet | PSP Level | Initial Weight (g) | Average Weight Gain (g) | FCR | SGR | DGI | Survival | TGC |
|---|---|---|---|---|---|---|---|---|
| FM | 0% | 19.1 ± 0.26 | 186 ± 3.46 | 0.66 ± 0.02 | 3.01 ± 0.04 | 4.08 ± 0.05 | 100 ± 0.0 | 0.26 ± 0.01 |
| FM | 0.5% | 19.07 ± 0.4 | 173.33 ± 1.53 * | 0.71 ± 0.04 | 2.92 ± 0.03 | 3.92 ± 0.03 | 98.97 ± 1.79 | 0.26 ± 0.01 |
| FM | 1% | 19.23 ± 0.32 | 190.33 ± 4.93 * | 0.65 ± 0.02 | 3.02 ± 0.04 | 4.12 ± 0.06 * | 95.87 ± 3.58 | 0.27 ± 0.01 |
| FM | 2% | 19.17 ± 0.25 | 182.67 ± 3.21 | 0.72 ± 0.11 | 2.98 ± 0.02 | 4.04 ± 0.04 | 96.9 ± 0.0 | 0.26 ± 0.0 |
| PM | 0% | 19.33 ± 0.23 | 236.33 ± 15.37 | 0.84 ± 0.1 | 3.27 ± 0.06 | 4.63 ± 0.15 | 97.93 ± 1.79 | 0.3 ± 0.01 |
| PM | 0.5% | 19.3 ± 0.17 | 243.33 ± 12.66 | 0.8 ± 0.06 | 3.3 ± 0.06 | 4.71 ± 0.13 | 100 ± 0.0 | 0.31 ± 0.01 |
| PM | 1% | 18.93 ± 0.25 | 240 ± 21.66 | 0.86 ± 0.03 | 3.31 ± 0.09 | 4.69 ± 0.21 | 98.97 ± 1.79 | 0.3 ± 0.02 |
| PM | 2% | 19.1 ± 0.2 | 238 ± 17.35 | 0.83 ± 0.07 | 3.29 ± 0.08 | 4.66 ± 0.18 | 100 ± 0.0 | 0.3 ± 0.01 |
| One-way ANOVA | FM: PSP level | 0.918 | 0.002 | 0.434 | 0.022 | 0.003 | 0.119 | 0.163 |
| PM: PSP level | 0.161 | 0.962 | 0.759 | 0.893 | 0.956 | 0.219 | 0.908 |
| Diet | PSP Level | Whole Body Moisture | Whole Body Protein | Whole Body Ash | Whole Body Energy (cal) | Protein Efficiency | Protein Retention (%) | Energy Retention (%) |
|---|---|---|---|---|---|---|---|---|
| FM | 0% | 67.47 ± 0.59 | 15.6 ± 0.72 | 1.47 ± 0.07 | 2300.7 ± 34.26 | 3.09 ± 0.06 | 48.73 ± 2.9 | 65 ± 1.03 |
| FM | 0.5% | 68 ± 0.36 | 15.97 ± 0.63 | 1.68 ± 0.13 | 2230.33 ± 40.21 | 2.86 ± 0.18 | 46.18 ± 1.14 | 58.87 ± 4.87 |
| FM | 1% | 66.97 ± 0.54 | 15.72 ± 0.67 | 1.58 ± 0.11 | 2265.87 ± 111.28 | 3.2 ± 0.09 | 50.79 ± 1.53 | 65.39 ± 5.2 |
| FM | 2% | 67.25 ± 0.74 | 15.75 ± 0.16 | 1.59 ± 0.11 | 2301.22 ± 127.79 | 2.85 ± 0.4 | 45.42 ± 6.43 | 59.78 ± 7.22 |
| PM | 0% | 68.25 ± 0.63 | 16.19 ± 0.38 | 1.91 ± 0.03 | 2164.52 ± 74.12 | 2.87 ± 0.33 | 47.01 ± 6.22 | 57.06 ± 8.45 |
| PM | 0.5% | 68.05 ± 0.51 | 16.68 ± 0.26 | 1.97 ± 0.09 | 2181.62 ± 30.68 | 3.04 ± 0.24 | 51.48 ± 4.77 | 56.43 ± 4.57 |
| PM | 1% | 68.08 ± 0.81 | 16.68 ± 0.2 | 1.85 ± 0.31 | 2174 ± 63.31 | 2.75 ± 0.09 | 46.43 ± 1.69 | 51.94 ± 3.28 |
| PM | 2% | 68.81 ± 1.36 | 16.76 ± 0.32 | 2.12 ± 0.21 | 2091.8 ± 91.13 | 2.79 ± 0.27 | 47.37 ± 5.16 | 50.5 ± 4.77 |
| One-way ANOVA | FM: PSP level | 0.239 | 0.888 | 0.200 | 0.734 | 0.235 | 0.323 | 0.327 |
| PM: PSP level | 0.711 | 0.159 | 0.406 | 0.405 | 0.504 | 0.578 | 0.437 |
Disclaimer/Publisher’s Note: The statements, opinions and data contained in all publications are solely those of the individual author(s) and contributor(s) and not of MDPI and/or the editor(s). MDPI and/or the editor(s) disclaim responsibility for any injury to people or property resulting from any ideas, methods, instructions or products referred to in the content. |
© 2024 by the authors. Licensee MDPI, Basel, Switzerland. This article is an open access article distributed under the terms and conditions of the Creative Commons Attribution (CC BY) license (https://creativecommons.org/licenses/by/4.0/).
Share and Cite
Abanikannda, M.F.; Shiflett, M.B.; Morais, A.R.C.; Hong, J.; Sealey, W.M.; Bledsoe, J.W. Evaluating Inclusion of Commercial Pistachio By-Product as a Functional Ingredient in Rainbow Trout Fishmeal and Plant Meal-Based Diets. Antioxidants 2024, 13, 1280. https://doi.org/10.3390/antiox13111280
Abanikannda MF, Shiflett MB, Morais ARC, Hong J, Sealey WM, Bledsoe JW. Evaluating Inclusion of Commercial Pistachio By-Product as a Functional Ingredient in Rainbow Trout Fishmeal and Plant Meal-Based Diets. Antioxidants. 2024; 13(11):1280. https://doi.org/10.3390/antiox13111280
Chicago/Turabian StyleAbanikannda, Mosope F., Mark B. Shiflett, Ana Rita C. Morais, Jeoungwhui Hong, Wendy M. Sealey, and Jacob W. Bledsoe. 2024. "Evaluating Inclusion of Commercial Pistachio By-Product as a Functional Ingredient in Rainbow Trout Fishmeal and Plant Meal-Based Diets" Antioxidants 13, no. 11: 1280. https://doi.org/10.3390/antiox13111280
APA StyleAbanikannda, M. F., Shiflett, M. B., Morais, A. R. C., Hong, J., Sealey, W. M., & Bledsoe, J. W. (2024). Evaluating Inclusion of Commercial Pistachio By-Product as a Functional Ingredient in Rainbow Trout Fishmeal and Plant Meal-Based Diets. Antioxidants, 13(11), 1280. https://doi.org/10.3390/antiox13111280

