Antioxidants in Oak (Quercus sp.): Potential Application to Reduce Oxidative Rancidity in Foods
Abstract
1. Introduction
2. Spoilage in Food: Oxidative Rancidity
2.1. Rancidity in Food: Economic and Health Consequences
2.2. Rancidity Process: Lipid Oxidation and Hydrolysis
2.3. The Impact of Rancidity on Food Frying Oils: Associated Health Risks and Food Waste
3. The Advantages of Natural Antioxidants for Reducing Lipid Rancidity
3.1. Balancing Quality and Safety: The Debate Between Natural and Synthetic Antioxidants
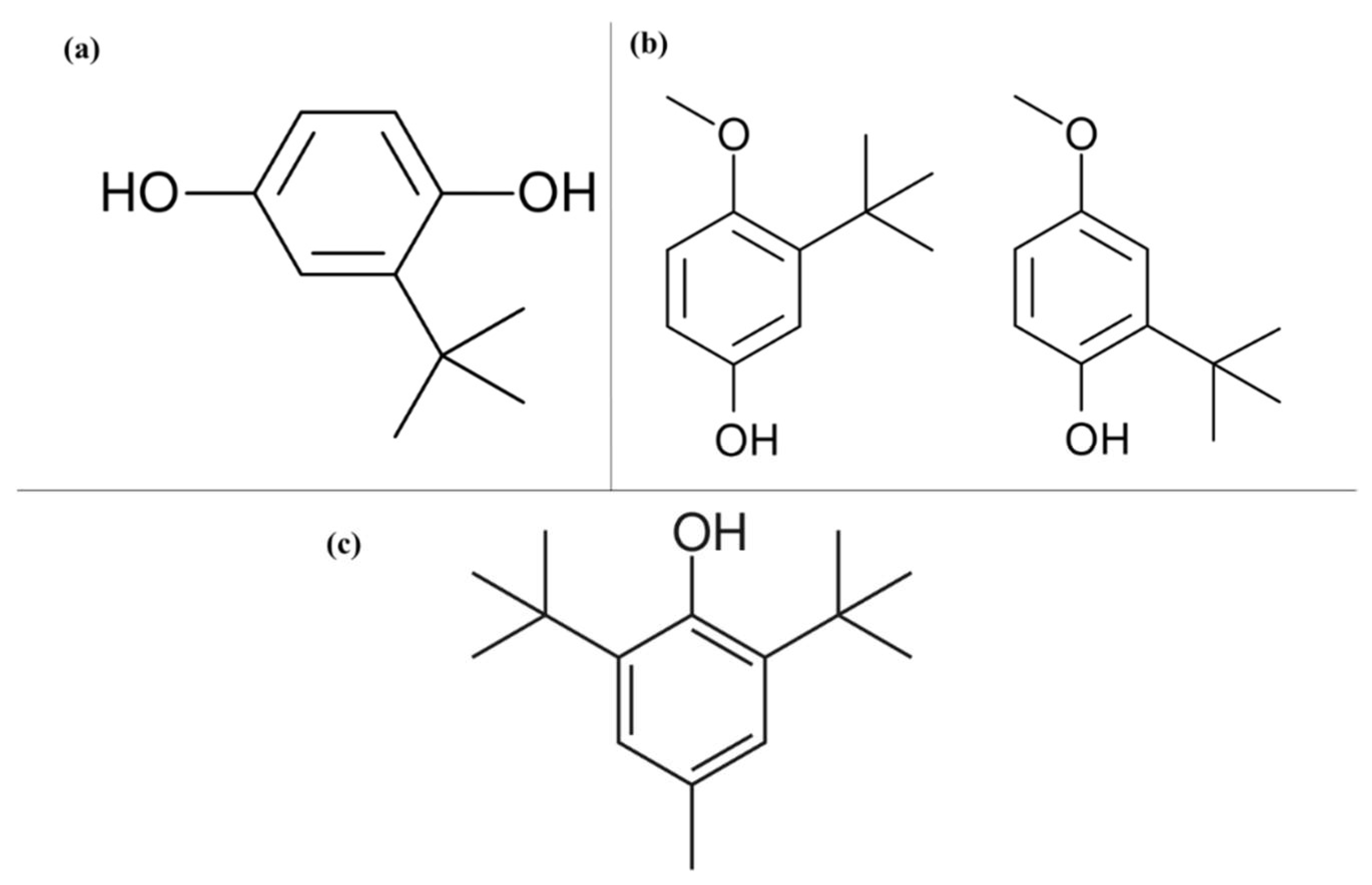
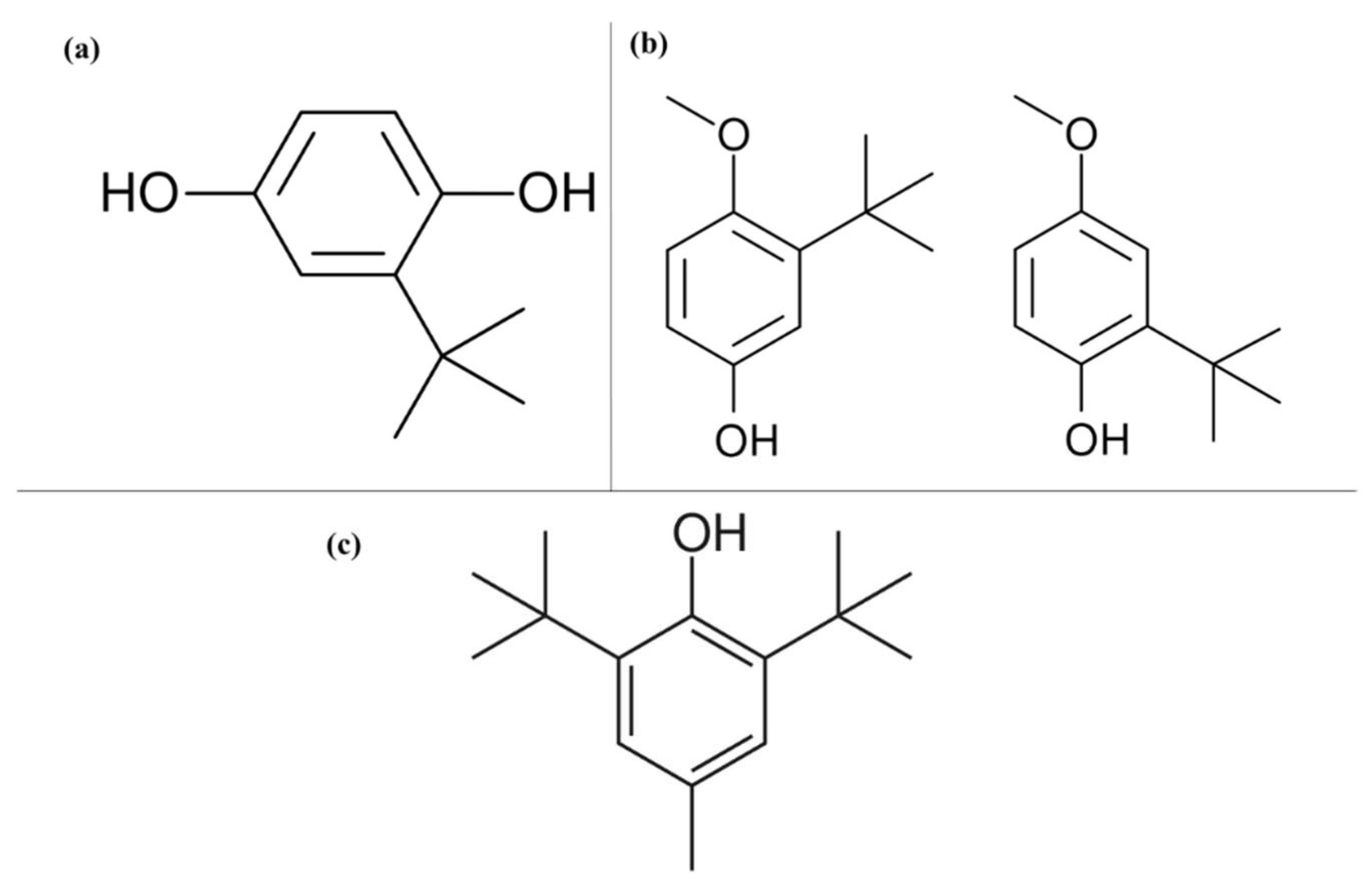
3.2. Health Problems Associated with Synthetic Antioxidants
4. Oak Extract as a Source of Natural Antioxidant Additives against Rancidity
4.1. Antioxidant Compounds Found in the Oak Tree
4.2. Food Application of Oak Extracts
4.3. Toxicity of Oak Extracts
5. Conclusions
Author Contributions
Funding
Data Availability Statement
Acknowledgments
Conflicts of Interest
References
- Abeyrathne, E.D.N.S.; Nam, K.; Ahn, D.U. Analytical Methods for Lipid Oxidation and Antioxidant Capacity in Food Systems. Antioxidants 2021, 10, 1587. [Google Scholar] [CrossRef] [PubMed]
- Riaz, M.N.; Rokey, G.J. Impact of particle size and other ingredients on extruded foods and feeds. In Extrusion Problems Solved; Woodhead Publishing: Sawston, UK, 2012; pp. 55–63. [Google Scholar] [CrossRef]
- Aryee, A.N.A.; Akanbi, T.O.; Nwachukwu, I.D.; Gunathilake, T. Perspectives on preserving lipid quality and strategies for value enhancement. Curr. Opin. Food Sci. 2022, 44, 100802. [Google Scholar] [CrossRef]
- Domínguez, R.; Pateiro, M.; Gagaoua, M.; Barba, F.J.; Zhang, W.; Lorenzo, J.M. A Comprehensive Review on Lipid Oxidation in Meat and Meat Products. Antioxidants 2019, 8, 429. [Google Scholar] [CrossRef] [PubMed]
- Wu, H.; Richards, M.P.; Undeland, I. Lipid oxidation and antioxidant delivery systems in muscle food. Compr. Rev. Food Sci. Food Saf. 2022, 21, 1275–1299. [Google Scholar] [CrossRef] [PubMed]
- Loizzo, M.R.; Tundis, R.; Menichini, F.; Duthie, G. Anti-Rancidity Effect of Essential Oils, Application in the Lipid Stability of Cooked Turkey Meat Patties and Potential Implications for Health. Int. J. Food Sci. Nutr. 2015, 66, 50–57. [Google Scholar] [CrossRef] [PubMed]
- Carocho, M.; Morales, P.; Ferreira, I.C. Antioxidants: Reviewing the chemistry, food applications, legislation and role as preservatives. Trends Food Sci. Technol. 2018, 71, 107–120. [Google Scholar] [CrossRef]
- Laganà, P.; Avventuroso, E.; Romano, G.; Gioffré, M.E.; Patanè, P.; Parisi, S.; Moscato, U.; Delia, S. Classification and Technological Purposes of Food Additives: The European Point of View. In Chemistry and Hygiene of Food Additives; Springer International Publishing: Berlin/Heidelberg, Germany, 2017; pp. 1–21. [Google Scholar] [CrossRef]
- Wu, L.; Zhang, C.; Long, Y.; Chen, Q.; Zhang, W.; Liu, G. Food additives: From functions to analytical methods. Crit. Rev. Food Sci. Nutr. 2021, 62, 8497–8517. [Google Scholar] [CrossRef]
- Berdahl, D.; Nahas, R.; Barren, J.; Elias, R. Synthetic and natural antioxidant additives in food stabilization: Current applications and future research. In Oxidation in Foods and Beverages and Antioxidant Applications. Volume 1: Understanding Mechanisms of Oxidation and Antioxidant Activity; Woodhead Publishing Ltd.: Cambridge, MA, USA, 2010; pp. 272–320. [Google Scholar] [CrossRef]
- Lidon, F.; Silva, M.M. An Overview on Applications and Side Effects of Antioxidant Food Additives. Emir. J. Food Agric. 2016, 28, 823. [Google Scholar] [CrossRef]
- Shasha, D.; Magogo, C.; Dzomba, P. Reversed Phase Hplc-Uv Quantitation of Bha, Bht and Tbhq in Food Items Sold in Bindura Supermarkets, Zimbabwe. Int. Res. J. Pure Appl. Chem. 2014, 4, 578–584. [Google Scholar] [CrossRef]
- Valencia-Avilés, E.; García-Pérez, M.E.; Garnica-Romo, M.G.; Figueroa-Cárdenas, J.D.D.; Meléndez-Herrera, E.; Salgado-Garciglia, R.; Martínez-Flores, H.E. Antioxidant Properties of Polyphenolic Extracts from Quercus Laurina, Quercus Crassifolia, and Quercus Scytophylla Bark. Antioxidants 2018, 7, 81. [Google Scholar] [CrossRef]
- Lavado, G.; Ladero, L.; Cava, R. Cork oak (Quercus suber L.) leaf extracts potential use as natural antioxidants in cooked meat. Ind. Crop. Prod. 2020, 160, 113086. [Google Scholar] [CrossRef]
- Ferreira, V.C.S.; Morcuende, D.; Hérnandez-López, S.H.; Madruga, M.S.; Silva, F.A.P.; Estévez, M. Antioxidant Extracts from Acorns (Quercus ilex L.) Effectively Protect Ready-to-Eat (RTE) Chicken Patties Irrespective of Packaging Atmosphere. J. Food Sci. 2017, 82, 622–631. [Google Scholar] [CrossRef] [PubMed]
- Soriano, A.; Alañón, M.; Alarcón, M.; García-Ruíz, A.; Díaz-Maroto, M.; Pérez-Coello, M. Oak wood extracts as natural antioxidants to increase shelf life of raw pork patties in modified atmosphere packaging. Food Res. Int. 2018, 111, 524–533. [Google Scholar] [CrossRef] [PubMed]
- Başyiğit, B.; Sağlam, H.; Köroğlu, K.; Karaaslan, M. Compositional Analysis, Biological Activity, and Food Protecting Ability of Ethanolic Extract of Quercus Infectoria Gall. J. Food Process. Preserv. 2020, 44, e14692. [Google Scholar] [CrossRef]
- Nedamani, E.R.; Mahoonak, A.S.; Ghorbani, M.; Kashaninejad, M. Evaluation of antioxidant interactions in combined extracts of green tea (Camellia sinensis), rosemary (Rosmarinus officinalis) and oak fruit (Quercus branti). J. Food Sci. Technol. 2014, 52, 4565–4571. [Google Scholar] [CrossRef]
- Romojaro, A.; Serrano, M.; Pretel, M. Wild edible plants (WEP) as antioxidant supplements for oils and juices. Acta Hortic. 2018, 1194, 1039–1044. [Google Scholar] [CrossRef]
- Morales, D. Oak trees (Quercus spp.) as a source of extracts with biological activities: A narrative review. Trends Food Sci. Technol. 2021, 109, 116–125. [Google Scholar] [CrossRef]
- Burlacu, E.; Nisca, A.; Tanase, C. A Comprehensive Review of Phytochemistry and Biological Activities of Quercus Species. Forests 2020, 11, 904. [Google Scholar] [CrossRef]
- Taib, M.; Rezzak, Y.; Bouyazza, L.; Lyoussi, B. Medicinal Uses, Phytochemistry, and Pharmacological Activities of Quercus Species. Evid.-Based Complement. Altern. Med. 2020, 2020, 1920683. [Google Scholar] [CrossRef]
- Aung, T.; Bibat, M.A.D.; Zhao, C.-C.; Eun, J.-B. Bioactive compounds and antioxidant activities of Quercus salicina Blume extract. Food Sci. Biotechnol. 2020, 29, 449–458. [Google Scholar] [CrossRef]
- Song, J.-L.; Zhao, X.; Wang, Q. Protective effects of Quercus salicina on alloxan-induced oxidative stress in HIT-T15 pancreatic β cells. Exp. Ther. Med. 2013, 5, 947–951. [Google Scholar] [CrossRef] [PubMed]
- Gibson, M.; Newsham, P. Lipids, Oils, Fats, and Extracts. In Food Science and the Culinary Arts; Academic Press: Cambridge, MA, USA, 2018; pp. 323–340. [Google Scholar]
- Velasco, J.; Dobarganes, C.; Márquez-Ruiz, G. Oxidative Rancidity in Foods and Food Quality. In Chemical Deterioration and Physical Instability of Food and Beverages; Woodhead Publishing: Sawston, UK, 2010; pp. 3–32. [Google Scholar]
- FAO. Food Wastage Footprint: Full-Cost Accounting. Final Report; Food and Agriculture Organization of the United Nations: Rome, Italy, 2014. [Google Scholar]
- Gustavsson, J.; Cederber, C.; Sonesson, U.; van Otterdijk, R.; Merbeck, A. Global Food Losses and Food Waste—Extent, Causes and Prevention; Food and Agriculture Organization of the United Nations: Rome, Italy, 2011. [Google Scholar]
- Ishangulyyev, R.; Kim, S.; Lee, S.H. Understanding Food Loss and Waste—Why Are We Losing and Wasting Food? Antioxidants 2019, 8, 297. [Google Scholar] [CrossRef] [PubMed]
- Stop Food Loss and Waste, for the People, for the Planet. Available online: https://www.un.org/en/observances/end-food-waste-day (accessed on 15 March 2022).
- Mexico Wastes 20 Million Tons of Food a Year. Available online: https://www.fao.org/in-action/agronoticias/detail/es/c/1129784/ (accessed on 15 March 2022).
- Amaral, A.B.; da Silva, M.V.; Lannes, S.C.D.S. Lipid oxidation in meat: Mechanisms and protective factors—A review. Food Sci. Technol. 2018, 38, 1–15. [Google Scholar] [CrossRef]
- Harahap, I.A.; Sobral, M.M.C.; Casal, S.; Pinho, S.C.M.; Faria, M.A.; Suliburska, J.; Ferreira, I.M.P.L.V.O. Fat Oxidation of Fatty Fish vs. Meat Meal Diets Under in vitro Standardized Semi-Dynamic Gastric Digestion. Front. Nutr. 2022, 9, 901006. [Google Scholar] [CrossRef] [PubMed]
- García, A.V.; Sanahuja, A.B.; Karabagias, I.; Badeka, A.; Kontominas, M.; Garrigós, M. Effect of Frying and Roasting Processes on the Oxidative Stability of Sunflower Seeds (Helianthus annuus) under Normal and Accelerated Storage Conditions. Foods 2021, 10, 944. [Google Scholar] [CrossRef]
- CEC. Characterization and Management of Food Loss and Waste in North America; Commission for Environmental Cooperation: Montreal, QC, Canada, 2017. [Google Scholar]
- Spang, E.S.; Achmon, Y.; Donis-Gonzales, I.; Gosliner, W.A.; Jablonski-Sheffield, M.P.; Momin, M.A.; Moreno, L.C.; Pace, S.A.; Quested, T.E.; Winans, K.S.; et al. Food Loss and Waste: Measurement, Drivers, and Solutions. Annu. Rev. Envioron. Resour. 2019, 44, 117–156. [Google Scholar] [CrossRef]
- Vieira, S.A.; McClements, D.J.; Decker, E.A. Challenges of Utilizing Healthy Fats in Foods. Adv. Nutr. Int. Rev. J. 2015, 6, 309S–317S. [Google Scholar] [CrossRef]
- Wąsowicz, E.; Gramza, A.; Hęś, M.; Jeleń, H.H.; Korczak, J.; Małecka, M.; Mildner-Szkudlarz, S.; Rudzińska, M.; Samotyja, U.; Zawirska-Wojtasiak, R. Oxidation of Lipids in Food. Pol. J. Food Nutr. Sci. 2004, 54, 87–100. [Google Scholar]
- Yun, J.-M.; Surh, J.-H. Fatty Acid Composition as a Predictor for the Oxidation Stability of Korean Vegetable Oils with or without Induced Oxidative Stress. Prev. Nutr. Food Sci. 2012, 17, 158–165. [Google Scholar] [CrossRef]
- Ambreen, G.; Siddiq, A.; Hussain, K. Association of long-term consumption of repeatedly heated mix vegetable oils in different doses and hepatic toxicity through fat accumulation. Lipids Health Dis. 2020, 19, 1–9. [Google Scholar] [CrossRef]
- Segurondo Loza, R.; Cortez Quisbert, V. Determinación De La Rancidez En Aceites Usados En El Proceso De Frituras En Establecimientos De Expendio De Comida Rápida. Rev. Con-Cienc. 2020, 8, 115–128. [Google Scholar]
- Grootveld, M.; Percival, B.C.; Leenders, J.; Wilson, P.B. Potential Adverse Public Health Effects Afforded by the Ingestion of Dietary Lipid Oxidation Product Toxins: Significance of Fried Food Sources. Nutrients 2020, 12, 974. [Google Scholar] [CrossRef]
- Chen, H.-J.; Wang, C.-C.; Chan, D.-C.; Chiu, C.-Y.; Yang, R.-S.; Liu, S.-H. Adverse effects of acrolein, a ubiquitous environmental toxicant, on muscle regeneration and mass. J. Cachex- Sarcopenia Muscle 2019, 10, 165–176. [Google Scholar] [CrossRef]
- Chung, F.L.; Tanaka, T.; Hecht, S. Induction of liver tumors in F344 rats by crotonaldehyde. Cancer Res. 1986, 46, 1285–1289. [Google Scholar]
- Marcus, J.B. Lipids Basics: Fats and Oils in Foods and Health: Healthy Lipid Choices, Roles and Applications in Nutrition, Food Science and the Culinary Arts. In Culinary Nutrition; Academic Press: San Diego, CA, USA, 2013; pp. 231–277. [Google Scholar]
- Falade, A.O.; Oboh, G. Thermal Oxidation Induces Lipid Peroxidation and Changes in the Physicochemical Properties and Β-Carotene Content of Arachis Oil. Int. J. Food Sci. 2015, 2015, 806524. [Google Scholar] [CrossRef] [PubMed]
- Xiong, Q.; Zhang, M.; Wang, T.; Wang, D.; Sun, C.; Bian, H.; Li, P.; Zou, Y.; Xu, W. Lipid oxidation induced by heating in chicken meat and the relationship with oxidants and antioxidant enzymes activities. Poult. Sci. 2020, 99, 1761–1767. [Google Scholar] [CrossRef] [PubMed]
- Shahidi, F.; Hossain, A. Role of Lipids in Food Flavor Generation. Molecules 2022, 27, 5014. [Google Scholar] [CrossRef] [PubMed]
- Oenel, A.; Fekete, A.; Krischke, M.; Faul, S.C.; Gresser, G.; Havaux, M.; Mueller, M.J.; Berger, S. Enzymatic and Non-Enzymatic Mechanisms Contribute to Lipid Oxidation During Seed Aging. Plant Cell Physiol. 2017, 58, 925–933. [Google Scholar] [CrossRef] [PubMed]
- Ahmed, M.; Pickova, J.; Ahmad, T.; Liaquat, M.; Farid, A.; Jahangir, M. Oxidation of Lipids in Foods. Sarhad J. Agric. 2016, 32, 230–238. [Google Scholar] [CrossRef]
- Tatiyaborworntham, N.; Oz, F.; Richards, M.P.; Wu, H. Paradoxical effects of lipolysis on the lipid oxidation in meat and meat products. Food Chem. X 2022, 14, 100317. [Google Scholar] [CrossRef] [PubMed]
- Lončarić, M.; Strelec, I.; Pavić, V.; Šubarić, D.; Rastija, V.; Molnar, M. Lipoxygenase Inhibition Activity of Coumarin Derivatives-Qsar and Molecular Docking Study. Pharmaceuticals 2020, 13, 154. [Google Scholar] [CrossRef]
- Wold, J.P. Understanding and Measuring Photooxidation in Dairy Products by Fluorescence Spectroscopy. Spectrosc. Eur. 2006, 8, 8–13. [Google Scholar]
- Kwon, S.; Orsuwan, A.; Bumbudsanpharoke, N.; Yoon, C.; Choi, J.; Ko, S. A Short Review of Light Barrier Materials for Food and Beverage Packaging. Korean J. Packag. Sci. Technol. 2018, 24, 141–148. [Google Scholar] [CrossRef]
- Zeece, M. Chapter Four—Lipids. In Introduction to the Chemistry of Food; Academic Press: Cambridge, MA, USA, 2020; pp. 127–161. [Google Scholar]
- Choe, E.; Min, D.B. Mechanisms and Factors for Edible Oil Oxidation. Compr. Rev. Food Sci. Food Saf. 2006, 5, 169–186. [Google Scholar] [CrossRef]
- Foreign” Foods That Are Really American. Available online: https://www.usatoday.com/story/travel/2018/07/09/20-foreign-foods-really-american/764102002/ (accessed on 23 February 2023).
- Mos Popular Central European Deep-Fried Dishes. Available online: https://www.tasteatlas.com/most-popular-deep-fried-dishes-in-central-europe (accessed on 23 February 2023).
- Top Middle Eastern Foods: Which Is the Best? Available online: https://edition.cnn.com/travel/article/middle-east-food-dishes/index.html (accessed on 23 February 2023).
- Methods Used in Authentic Mexican Cooking. Available online: https://www.thespruceeats.com/methods-used-in-authentic-mexican-cooking-2342659 (accessed on 23 February 2023).
- Banerjee, S.; Soumitra, C. A Short Review on Vacuum Frying-a Promising Technology for Healthier and Better Fried Foods. Int. J. Nutr. Health Sci. 2017, 2, 68–71. [Google Scholar]
- Marchesino, M.A.; López, P.; Guerberoff, G.; Olmedo, R. Los Procesos De Fritura Y Su Relación Con Los Valores Nutricionales Y La Inocuidad: Una Visión Integral Desde La Seguridad Alimentaria. Nexo Agropecu. 2020, 8, 43–51. [Google Scholar]
- Esfarjani, F.; Khoshtinat, K.; Zargaraan, A.; Mohammadi-Nasrabadi, F.; Salmani, Y.; Saghafi, Z.; Hosseini, H.; Bahmaei, M. Evaluating the rancidity and quality of discarded oils in fast food restaurants. Food Sci. Nutr. 2019, 7, 2302–2311. [Google Scholar] [CrossRef]
- Jaarin, K.; Kamisah, Y. Repeatedly Heated Vegetable Oils and Lipid Peroxidation. In Lipid Peroxidation; IntechOpen: Rijeka, Croatia, 2012. [Google Scholar] [CrossRef]
- Halvorsen, B.L.; Blomhoff, R. Determination of lipid oxidation products in vegetable oils and marine omega-3 supplements. Food Nutr. Res. 2011, 55, 5792. [Google Scholar] [CrossRef]
- Zehiroglu, C.; Sarikaya, S.B.O. The importance of antioxidants and place in today’s scientific and technological studies. J. Food Sci. Technol. 2019, 56, 4757–4774. [Google Scholar] [CrossRef]
- Lourenço, S.C.; Moldão-Martins, M.; Alves, V.D. Antioxidants of Natural Plant Origins: From Sources to Food Industry Applications. Molecules 2019, 24, 4132. [Google Scholar] [CrossRef] [PubMed]
- Karunaratne, D.N.; Pamunuwa, G.K. Introductory Chapter: Introduction to Food Additives. In Food Additives; IntechOpen: Rijeka, Croatia, 2017. [Google Scholar] [CrossRef]
- Velázquez-Sámano, G.; Collado-Chagoya, R.; Cruz-Pantoja, R.A.; Velasco-Medina, A.A.; Rosales-Guevara, J. Hypersensitivity Reactions to Food Additives. Rev. Alerg. Mex. 2019, 66, 329–339. [Google Scholar] [PubMed]
- EFSA Panel on Additives and Products or Substances used in Animal Feed; Bampidis, V.; Azimonti, G.; Bastos, M.D.L.; Christensen, H.; Dusemund, B.; Durjava, M.K.; Kouba, M.; López-Alonso, M.; Puente, S.L.; et al. Safety and efficacy of propyl gallate for all animal species. EFSA J. 2020, 18, e06069. [Google Scholar] [CrossRef]
- Valluzzi, R.L.; Fierro, V.; Arasi, S.; Mennini, M.; Pecora, V.; Fiocchi, A. Allergy to Food Additives. Curr. Opin. Allergy Clin. Immunol. 2019, 19, 256–262. [Google Scholar] [CrossRef] [PubMed]
- Franco, R.; Navarro, G.; Martínez-Pinilla, E. Antioxidants versus Food Antioxidant Additives and Food Preservatives. Antioxidants 2019, 8, 542. [Google Scholar] [CrossRef] [PubMed]
- Carpena, M.; Pereira, A.; Prieto, M.; Simal-Gandara, J. Wine Aging Technology: Fundamental Role of Wood Barrels. Foods 2020, 9, 1160. [Google Scholar] [CrossRef]
- Valencia-Avilés, E.; Martínez-Flores, H.; García-Pérez, M.; Meléndez-Herrera, E.; García-Pérez, M. Investigation of the Antibacterial Activity and Subacute Toxicity of a Quercus crassifolia Polyphenolic Bark Extract for its Potential Use in Functional Foods. J. Food Sci. 2019, 84, 1692–1702. [Google Scholar] [CrossRef]
- Vázquez-Cabral, B.D.; Moreno-Jiménez, M.R.; Rocha-Guzmán, N.E.; Gallegos-Infante, J.A.; González-Herrera, S.M.; Gamboa-Gómez, C.I.; González-Laredo, R.F. Mexican oaks as a potential non-timber resource for Kombucha beverages. Rev. Chapingo Ser. Cienc. For. Ambient. 2015, XXII, 73–86. [Google Scholar] [CrossRef]
- Tanase, C.; Coșarcă, S.; Muntean, D.-L. A Critical Review of Phenolic Compounds Extracted from the Bark of Woody Vascular Plants and Their Potential Biological Activity. Molecules 2019, 24, 1182. [Google Scholar] [CrossRef]
- Tuyen, P.T.; Khang, D.T.; Thu Ha, P.T.; Hai, T.N.; Elzaawely, A.A.; Xuan, T.D. Antioxidant Capacity and Phenolic Contents of Three Quercus Species. Int. Lett. Nat. Sci. 2016, 54, 85–99. [Google Scholar] [CrossRef]
- Gezici, S.; Sekeroglu, N. Neuroprotective potential and phytochemical composition of acorn fruits. Ind. Crop. Prod. 2018, 128, 13–17. [Google Scholar] [CrossRef]
- Pinto, D.; Franco, S.D.; Silva, A.M.; Cupara, S.; Koskovac, M.; Kojicic, K.; Soares, S.; Rodrigues, F.; Sut, S.; Dall'Acqua, S.; et al. Chemical characterization and bioactive properties of a coffee-like beverage prepared from Quercus cerris kernels. Food Funct. 2019, 10, 2050–2060. [Google Scholar] [CrossRef] [PubMed]
- Alañón, M.E.; Castro-Vázquez, L.; Díaz-Maroto, M.; Hermosín-Gutiérrez, I.; Gordon, M.H.; Pérez-Coello, M.S. Antioxidant capacity and phenolic composition of different woods used in cooperage. Food Chem. 2011, 129, 1584–1590. [Google Scholar] [CrossRef]
- Zhang, B.; Cai, J.; Duan, C.-Q.; Reeves, M.J.; He, F. A Review of Polyphenolics in Oak Woods. Int. J. Mol. Sci. 2015, 16, 6978–7014. [Google Scholar] [CrossRef]
- Fortes, J.P.; Franco, F.W.; Baranzelli, J.; Ugalde, G.A.; Ballus, C.A.; Rodrigues, E.; Mazutti, M.A.; Somacal, S.; Sautter, C.K. Enhancement of the Functional Properties of Mead Aged with Oak (Quercus) Chips at Different Toasting Levels. Molecules 2022, 28, 56. [Google Scholar] [CrossRef] [PubMed]
- Shahidi, F.; Dissanayaka, C.S. Phenolic-protein interactions: Insight from in-silico analyses—A review. Food Prod. Process. Nutr. 2023, 5, 1–21. [Google Scholar] [CrossRef]
- Sindt, L.; Gammacurta, M.; Waffo-Teguo, P.; Dubourdieu, D.; Marchal, A. Taste-Guided Isolation of Bitter Lignans from Quercus petraea and Their Identification in Wine. J. Nat. Prod. 2016, 79, 2432–2438. [Google Scholar] [CrossRef]
- Jiménez-Moreno, N.; Moler, J.A.; Urmeneta, H.; Suberviola-Ripa, J.; Cibriain-Sabalza, F.; Gandía, L.M.; Ancín-Azpilicueta, C. Oak wood extracts applied to the grapevine. An alternative to obtain quality Garnacha wines. Food Res. Int. 2018, 105, 628–636. [Google Scholar] [CrossRef] [PubMed]
- Iminjan, M.; Amat, N.; Li, X.-H.; Upur, H.; Ahmat, D.; He, B. Investigation into the Toxicity of Traditional Uyghur Medicine Quercus Infectoria Galls Water Extract. PLoS ONE 2014, 9, e90756. [Google Scholar] [CrossRef]
- Soto-García, M.; Rosales-Castro, M.; Escalona-Cardoso, G.N.; Paniagua-Castro, N. Evaluation of Hypoglycemic and Genotoxic Effect of Polyphenolic Bark Extract from Quercus sideroxyla. Evid.-Based Complement. Altern. Med. 2016, 2016, 1–7. [Google Scholar] [CrossRef]
- Hazwani, M.Y.; Hasmah, A.; Wan Amir Nizam, W.A. Cytotoxicity Effect of Quercus Infectoria Based Vaginal Cream on Hela Cells and Its Preliminary in Vivo Toxicity Evaluation Towards Female Rats. Int. Med. J. Malays. 2018, 17, 99–106. [Google Scholar]





| Classification | Antioxidant Substance | Maximum Dosage Range (g/kg) | Treated Food | Reported Adverse Reactions | Reference |
|---|---|---|---|---|---|
| Natural | Ascorbic acid and its salts (E300–302) | 0.2~5.0 | Fresh peeled fruits and vegetables, wheat flour, fruit and vegetable products, fresh minced meat, charcuterie and salted products, fish, shellfish and mollusk unprocessed. | Not reported | [9,11] |
| Tocopherols (E306) and their geometric isomers (E307–309 *) | Not reported | Meat, fish, nuts, vegetables, fruits, beverages and canned food, oils and emulsified fats, foods for infants and children. | Not reported | [11] | |
| Synthetic | Propyl gallate (E310) | 0.1~0.4 | Canned nuts and seeds, gum-based candy, grilled meat, and noodles. | -Risk of methemoglobinemia. -Allergic reactions (eczema, hives, and stomach upset). | [9,11] |
| Octyl gallate (E311) | 0~0.0002 | Lard, oils, fats for frying, fish oils and fat, sheep, poultry and beef, sauces, soups and broths dehydrated, pre-cooked cereals, spices and condiments, dehydrated granulated potatoes, chewing gum and snacks. | -Risk of methemoglobinemia. -Allergic reactions (eczema, hives, stomach upset, lichenoid lesions, cheilitis, and contact dermatitis). | [9,11,69,70] | |
| Tert-butylhydroquinone (TBHQ) (E319) | 0.2 | Moon cake, instant noodles, cookies, baked goods fillings. | -Carcinogenic at high doses. | [9,11] | |
| Butylhydroxyanisole (BHA) (E320) | 0.2 | Fats, oils, emulsified fat products, coarse grains, and instant noodles. | -Carcinogenic properties. -Risk of allergies (rash, chronic urticaria, angioedema, eczema, and contact dermatitis). -Increased levels of cholesterol and lipids in the blood. -Suspected hyperkinesis. | [9,11,69] | |
| Butylated hydroxytoluene (BHT) (E321) | 0.2~0.4 | Noodles, chewing gum-based candies, and air-dried aquatic products, among others. | -Carcinogenic properties. -Risk of allergies (rash, chronic urticaria, angioedema, eczema, and contact dermatitis). -Increased levels of cholesterol and lipids in the blood. -Suspected hyperkinesis. | [9,11,69] |
| Species | Raw Material/Extract Type | Phenolic Content | Phenolic Profile | Antioxidant Activity | References | |
|---|---|---|---|---|---|---|
| TPC | TFC | |||||
| Quercus salicina | Leaves/Ethanol | 46.30 mg GAE/g | 24.72 mg RE/g | Gallic acid, benzoic acid, ellagic acid, protocatechuic acid, chlorogenic acid, p-hydroxybenzoic acid, vanillic acid, ferulic acid, p-coumaric acid. | DPPH (IC50 mg/mL): Free: 0.067 Bound: 0.079 ABTS (IC50 mg/mL): Free: 0.523 Bound: 0.559 | [77] |
| Bark/Ethanol | 35.89 mg GAE/g | 1.41 mg RE/g | Protocatechuic acid, chlorogenic acid, syringic acid, vanillin, ellagic acid, cinnamic acid, ferulic acid, benzoic acid | DPPH (IC50 mg/mL): Free: 0.026 Bound: 0.565 ABTS (IC50 mg/mL): Free: 0.296 Bound: 2.796 | ||
| Quercus crispula | Leaves/Ethanol | 12.25 mg GAE/g | 4.18 mg RE/g | Chlorogenic acid, sinapic acid, p-coumaric acid, benzoic acid, ellagic acid | DPPH (IC50 mg/mL): Free: 0.100 Bound: 0.333 ABTS (IC50 mg/mL): Free: 1.008 Bound: 1.803 | |
| Bark/Ethanol | 16.45 mg GAE/g | 2.33 mg RE/g | Vanillin, ferulic acid, ellagic acid | DPPH (IC50 mg/mL): Free: 0.158 Bound: 0.446 ABTS (IC50 mg/mL): Free: 1.047 Bound: 2.074 | ||
| Quercus serrata | Leaves/Ethanol | 25.97 mg GAE/g | 28.18 mg RE/g | Chlorogenic acid, p-hydroxybenzoic acid, sinapic acid, benzoic acid, ellagic acid | DPPH (IC50 mg/mL): Free: 0.158 Bound: 0.446 ABTS (IC50 mg/mL): Free: 1.047 Bound: 2.074 | |
| Bark/Ethanol | 16.15 mg GAE/g | 2.49 mg RE/g | Protocatechuic acid, chlorogenic acid, syringic acid, vanillin, ferulic acid, benzoic acid, ellagic acid, cinnamic acid | DPPH (IC50 mg/mL): Free: 0.158 Bound: 0.446 ABTS (IC50 mg/mL): Free: 1.047 Bound: 2.074 | ||
| Quercus coccifera | Shell acorn/Ethanol | 98.08 mg GAE/g | 178.96 mg QE/g | Not reported | DPPH (Inhibition %): 82.35 FRAP (Absorbance at 700 nm): 1.86 | [78] |
| Acorn Cup/Ethanol | 98.71 mg GAE/g | 72.97 mg QE/g | Not reported | DPPH (Inhibition %): 91.09 FRAP (Absorbance at 700 nm): 2.04 | ||
| Shelled Acorn/Ethanol | 100.14 mg GAE/g | 73.24 mg QE/g | Not reported | DPPH (Inhibition %): 88.58 FRAP (Absorbance at 700 nm): 1.52 | ||
| Quercus cerris | Seed/Water | 2070.21 mg GAE/L | 285.27 mg CAE/L | Ellagic acid, gallotannin, or ellagitannin derivatives | DPPH (IC50 μg mL−1): 271.61 FRAP (μg mL−1): 203.11 Scavenging capacities IC50 (μg mL−1): O2●−: 17.24 H2O2: 275.70 •NO: 0.65 | [79] |
| Quercus crassifolia | Bark/Hot Water | 860 mg GAE/g | 43.6 mg QE/g | Not reported | Free radical scavenging (EC50 μg/mL) OH●: 467 O2●−: 58.1 H2O2: 22 | [13] |
| Bark/Ethanol | 695 mg GAE/g | 14.0 mg QE/g | Not reported | OH●: 2024 O2●−: 40.9 H2O2: 653 | ||
| Quercus laurina | Bark/Hot Water | 474 mg GAE/g | 24.1 mg QE/g | Not reported | Free radical scavenging (EC50 μg/mL) OH●: 1257 O2●−: 629 H2O2: 727 | |
| Bark/Ethanol | 756 mg GAE/g | 15.7 mg QE/g | Not reported | OH●: >4000 O2●−: 3213 H2O2: 519 | ||
| Quercus scytophylla | Bark/Hot Water | 329 mg GAE/g | 24.1 mg QE/g | Not reported | Free radical scavenging (EC50 μg/mL) OH●: 1865 O2●−: >4000 H2O2: 1102 | |
| Bark/Ethanol | 521 mg GAE/g | 12.9 mg QE/g | Not reported | OH●: >4000 O2●−: 406 H2O2: 1050 | ||
| Quercus suber | Leaves/Ethanol:Water (7:3) | 10.6 mg GAE/g | 8.2 mg C/g | Gallic acid, ellagic acid, chatechin, epicatechin, rutin, myricetin, quercetin | DPPH (Inhibition %): 22.7 ABTS (mg Trolox/g): 46.9 FRAP (mg Trolox/g): 54.5 | [14] |
| Quercus ilex | Acorn/Food-Grade Acetone | 928 mg GAE/100 g | Not reported | Not reported | DPPH (microM Trolox/g): 51.87 | [15] |
| Quercus alba | Wood Chips/Aqueous Extract | 2180.8 mg GAE/L | Not reported | Volatile compounds | DPPH (microM Trolox/L): 31.20 ABTS (microM Trolox/L): 32.00 | [16] |
| Quercus branti | Acorn/Methanol | 22.64 mg GAE/100 g | Not reported | Not Reported | DPPH (Inhibition %): ~77% | [18] |
| Quercus robur | Wood/Methanol | 72.63 µg GAE/g | Not reported | Gallic acid, ellagic acid, protocatechuic acid, vanillic acid, 4-hydroxybenzoic acid, p-coumaric acid, sinapic acid, syringic acid, caffeic acid, ferulic acid, vanillin, protocatechuic aldehyde, syringaldehyde, coniferaldehyde, sinapaldehyde, scopoletin | FRAP (microM Trolox/mg): 0.82 ORAC (microM Trolox/mg): 0.92 ABTS (microM Trolox/mg): 1.59 | [80] |
| Quercus petraea | Wood/Methanol | 48.87 µg GAE/g | Not reported | Gallic acid, ellagic acid, protocatechuic acid, vanillic acid, p-coumaric acid, sinapic acid, syringic acid, caffeic acid, ferulic acid, vanillin, protocatechuic aldehyde, syringaldehyde, coniferaldehyde, sinapaldehyde, scopoletin | FRAP (microM Trolox/mg): 0.59 ORAC (microM Trolox/mg): 0.62 ABTS (microM Trolox/mg): 1.35 | |
| Quercus pyrenaica | Wood/Methanol | 41.48 µg GAE/g | Not reported | Gallic acid, ellagic acid, protocatechuic acid, vanillic acid, p-coumaric acid, sinapic acid, syringic acid, caffeic acid, ferulic acid, vanillin, protocatechuic aldehyde, syringaldehyde, coniferaldehyde, sinapaldehyde, scopoletin | FRAP (microM Trolox/mg): 0.54 ORAC (microM Trolox/mg): 0.65 ABTS (microM Trolox/mg): 1.19 | |
| Species | Extracted Tissues | Added Food | Type of Extract (Solvent) | Lipid Oxidation (%/TBARS/mEQ/MDA) | Reference | |
|---|---|---|---|---|---|---|
| Extract | Control | |||||
| Quercus suber | Leaves | Chicken breast | Water Ethanol Water:Ethanol (1:1 v/v) Water:Ethanol (3:7 v/v) | 95.3% 92.4% 97.2% 97.7% | 95.9% | [14] |
| Quercus ilex | Acorn | Chicken patty | Food-grade acetone (60%) | ~0.2 mg TBARS/kg | ~0.8 mg TBARS/kg | [15] |
| Quercus alba | Wood chips | Pork patties | Aqueous extract | 0.30 mg TBARS/kg (97.1%) | 10.63 mg TBARS/kg | [16] |
| Quercus branti | Acorn | Soybean oil | Ethanol (95%) | ~10 mEq/kg | ~12.5 mEq/kg | [18] |
| Quercus ilex subsp. Ballota | Acorn | Sunflower oil | Liquid nitrogen | ~3.5 mmol g−1 (46.4%) | 6.53 mmol g−1 | [19] |
Disclaimer/Publisher’s Note: The statements, opinions and data contained in all publications are solely those of the individual author(s) and contributor(s) and not of MDPI and/or the editor(s). MDPI and/or the editor(s) disclaim responsibility for any injury to people or property resulting from any ideas, methods, instructions or products referred to in the content. |
© 2023 by the authors. Licensee MDPI, Basel, Switzerland. This article is an open access article distributed under the terms and conditions of the Creative Commons Attribution (CC BY) license (https://creativecommons.org/licenses/by/4.0/).
Share and Cite
Othón-Díaz, E.D.; Fimbres-García, J.O.; Flores-Sauceda, M.; Silva-Espinoza, B.A.; López-Martínez, L.X.; Bernal-Mercado, A.T.; Ayala-Zavala, J.F. Antioxidants in Oak (Quercus sp.): Potential Application to Reduce Oxidative Rancidity in Foods. Antioxidants 2023, 12, 861. https://doi.org/10.3390/antiox12040861
Othón-Díaz ED, Fimbres-García JO, Flores-Sauceda M, Silva-Espinoza BA, López-Martínez LX, Bernal-Mercado AT, Ayala-Zavala JF. Antioxidants in Oak (Quercus sp.): Potential Application to Reduce Oxidative Rancidity in Foods. Antioxidants. 2023; 12(4):861. https://doi.org/10.3390/antiox12040861
Chicago/Turabian StyleOthón-Díaz, Elsa Daniela, Jorge O. Fimbres-García, Marcela Flores-Sauceda, Brenda A. Silva-Espinoza, Leticia X. López-Martínez, Ariadna T. Bernal-Mercado, and Jesus F. Ayala-Zavala. 2023. "Antioxidants in Oak (Quercus sp.): Potential Application to Reduce Oxidative Rancidity in Foods" Antioxidants 12, no. 4: 861. https://doi.org/10.3390/antiox12040861
APA StyleOthón-Díaz, E. D., Fimbres-García, J. O., Flores-Sauceda, M., Silva-Espinoza, B. A., López-Martínez, L. X., Bernal-Mercado, A. T., & Ayala-Zavala, J. F. (2023). Antioxidants in Oak (Quercus sp.): Potential Application to Reduce Oxidative Rancidity in Foods. Antioxidants, 12(4), 861. https://doi.org/10.3390/antiox12040861

