Effect of Brazil Nuts on Selenium Status, Blood Lipids, and Biomarkers of Oxidative Stress and Inflammation: A Systematic Review and Meta-Analysis of Randomized Clinical Trials
Abstract
:1. Introduction
2. Materials and Methods
2.1. Systematic Search and Study Selection
2.2. Data Extraction
2.3. Risk of Bias Assessment
2.4. Data Synthesis and Statistical Analysis
3. Results
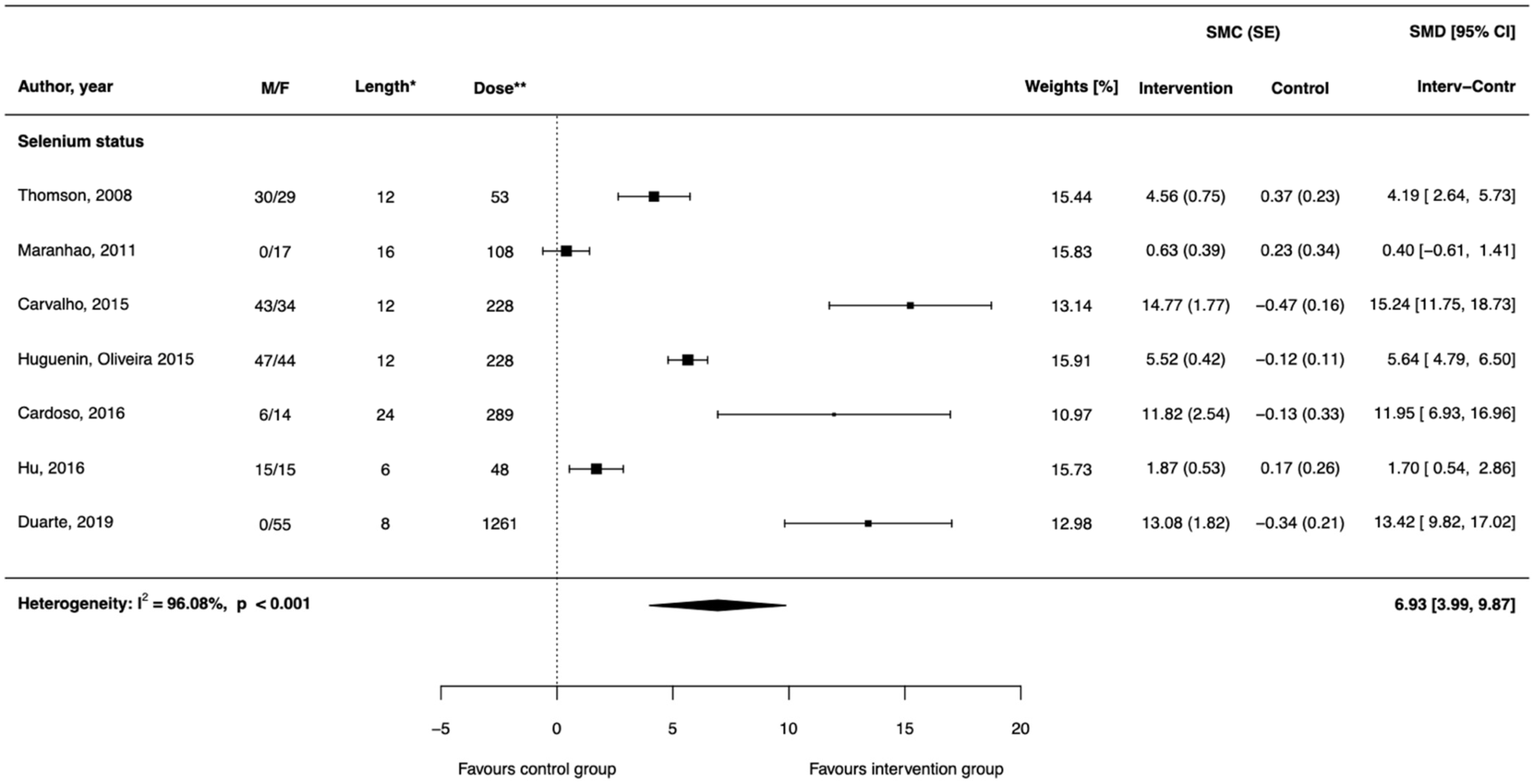
3.1. Effect of Brazil Nut Consumption on Selenium Serum/Plasma Levels
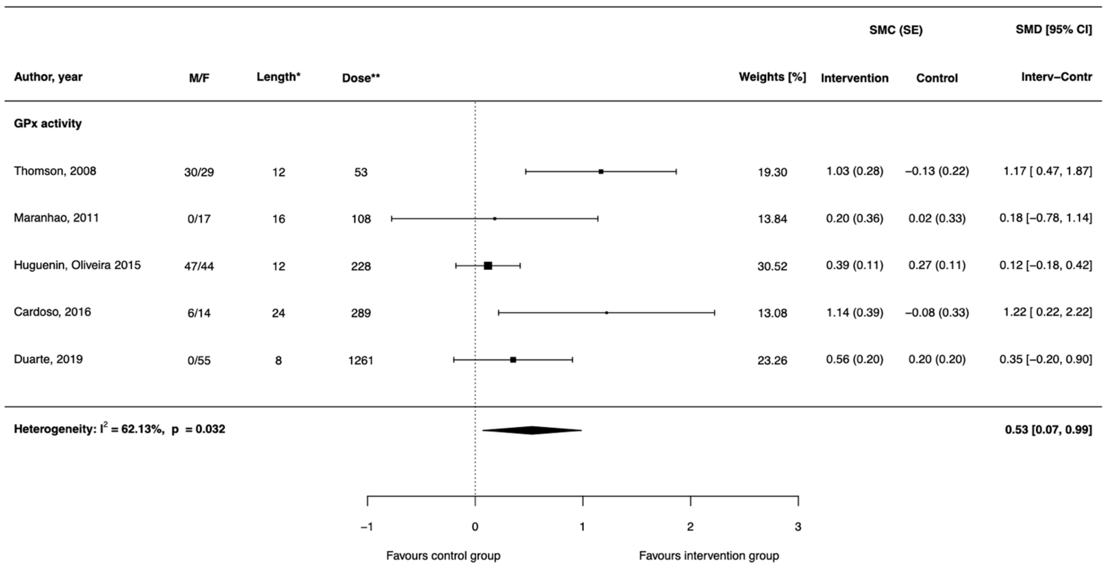
3.2. Effect of Brazil Nut Consumption on Glutathione Peroxidase Activity
3.3. Effect of Brazil Nut Consumption on Serum Lipids Profile
3.4. Effect of Brazil Nut Consumption on Other Markers of Oxidative Stress and Plasma Antioxidant Activity
3.5. Effect of Brazil Nut Consumption on Markers of Inflammation
4. Discussion
5. Conclusions
Supplementary Materials
Author Contributions
Funding
Conflicts of Interest
References
- Kaur, J. A comprehensive review on metabolic syndrome. Cardiol. Res. Pract. 2014, 2014, 943162. [Google Scholar] [CrossRef] [PubMed]
- Golia, E.; Limongelli, G.; Natale, F.; Fimiani, F.; Maddaloni, V.; Pariggiano, I.; Bianchi, R.; Crisci, M.; D’Acierno, L.; Giordano, R.; et al. Inflammation and cardiovascular disease: From pathogenesis to therapeutic target. Curr. Atheroscler. Rep. 2014, 16, 435. [Google Scholar] [CrossRef] [PubMed]
- Schulz, E.; Gori, T.; Münzel, T. Oxidative stress and endothelial dysfunction in hypertension. Hypertens. Res. 2011, 34, 665–673. [Google Scholar] [CrossRef] [PubMed]
- Forbes-Hernandez, T.Y.; Gasparrini, M.; Afrin, S.; Bompadre, S.; Mezzetti, B.; Quiles, J.L.; Giampieri, F.; Battino, M. The Healthy Effects of Strawberry Polyphenols: Which Strategy behind Antioxidant Capacity? Crit. Rev. Food Sci. Nutr. 2016, 56 (Suppl. 1), S46–S59. [Google Scholar] [CrossRef]
- Ansary, J.; Cianciosi, D. Natural antioxidants: Is the research going in the right direction? Med. J. Nutr. Metab. 2020, 13, 187–191. [Google Scholar] [CrossRef]
- Battin, E.E.; Brumaghim, J.L. Antioxidant activity of sulfur and selenium: A review of reactive oxygen species scavenging, glutathione peroxidase, and metal-binding antioxidant mechanisms. Cell Biochem. Biophys. 2009, 55, 1–23. [Google Scholar] [CrossRef]
- Kieliszek, M. Selenium–fascinating microelement, properties and sources in food. Molecules 2019, 24, 1298. [Google Scholar] [CrossRef] [Green Version]
- Cardoso, B.R.; Duarte, G.B.S.; Reis, B.Z.; Cozzolino, S.M.F. Brazil nuts: Nutritional composition, health benefits and safety aspects. Food Res. Int. 2017, 100, 9–18. [Google Scholar] [CrossRef]
- Del Gobbo, L.C.; Falk, M.C.; Feldman, R.; Lewis, K.; Mozaffarian, D. Effects of tree nuts on blood lipids, apolipoproteins, and blood pressure: Systematic review, meta-analysis, and dose-response of 61 controlled intervention trials. Am. J. Clin. Nutr. 2015, 102, 1347–1356. [Google Scholar] [CrossRef] [Green Version]
- Franco Estrada, Y.M.; Caldas, A.P.S.; da Silva, A.; Bressan, J. Effects of acute and chronic nuts consumption on energy metabolism: A systematic review of randomised clinical trials. Int. J. Food Sci. Nutr. 2021, 1–11. [Google Scholar] [CrossRef]
- Stanisic, J.; Ivkovic, T.; Romic, S.; Zec, M.; Culafic, T.; Stojiljkovic, M.; Koricanac, G. Beneficial effect of walnuts on vascular tone is associated with Akt signalling, voltage-dependent calcium channel LTCC and ATP-sensitive potassium channel Kv1.2. Int. J. Food Sci. Nutr. 2021, 72, 324–334. [Google Scholar] [CrossRef] [PubMed]
- Martini, D.; Godos, J.; Marventano, S.; Tieri, M.; Ghelfi, F.; Titta, L.; Lafranconi, A.; Trigueiro, H.; Gambera, A.; Alonzo, E.; et al. Nut and legume consumption and human health: An umbrella review of observational studies. Int. J. Food Sci. Nutr. 2021, 72, 871–878. [Google Scholar] [CrossRef] [PubMed]
- Page, M.J.; McKenzie, J.E.; Bossuyt, P.M.; Boutron, I.; Hoffmann, T.C.; Mulrow, C.D.; Shamseer, L.; Tetzlaff, J.M.; Akl, E.A.; Brennan, S.E.; et al. The PRISMA 2020 statement: An updated guideline for reporting systematic reviews. J. Clin. Epidemiol. 2021, 134, 178–189. [Google Scholar] [CrossRef] [PubMed]
- Sterne, J.A.C.; Savović, J.; Page, M.J.; Elbers, R.G.; Blencowe, N.S.; Boutron, I.; Cates, C.J.; Cheng, H.-Y.; Corbett, M.S.; Eldridge, S.M.; et al. RoB 2: A revised tool for assessing risk of bias in randomised trials. BMJ 2019, 366, l4898. [Google Scholar] [CrossRef] [PubMed] [Green Version]
- Morris, S.B.; DeShon, R.P. Combining effect size estimates in meta-analysis with repeated measures and independent-groups designs. Psychol. Methods 2002, 7, 105–125. [Google Scholar] [CrossRef] [PubMed]
- Li, T.; Yu, T.; Hawkins, B.S.; Dickersin, K. Design, Analysis, and Reporting of Crossover Trials for Inclusion in a Meta-Analysis. PLoS ONE 2015, 10, e0133023. [Google Scholar] [CrossRef]
- Maranhão, P.A.; Kraemer-Aguiar, L.G.; de Oliveira, C.L.; Kuschnir, M.C.; Vieira, Y.R.; Souza, M.G.; Koury, J.C.; Bouskela, E. Brazil nuts intake improves lipid profile, oxidative stress and microvascular function in obese adolescents: A randomized controlled trial. Nutr. Metab. 2011, 8, 32. [Google Scholar] [CrossRef] [Green Version]
- Carvalho, R.F.; Huguenin, G.V.B.; Luiz, R.R.; Moreira, A.S.B.; Oliveira, G.M.M.; Rosa, G. Intake of partially defatted Brazil nut flour reduces serum cholesterol in hypercholesterolemic patients--a randomized controlled trial. Nutr. J. 2015, 14, 59. [Google Scholar] [CrossRef] [Green Version]
- Rita Cardoso, B.; Apolinário, D.; da Silva Bandeira, V.; Busse, A.L.; Magaldi, R.M.; Jacob-Filho, W.; Cozzolino, S.M.F. Effects of Brazil nut consumption on selenium status and cognitive performance in older adults with mild cognitive impairment: A randomized controlled pilot trial. Eur. J. Nutr. 2016, 55, 107–116. [Google Scholar] [CrossRef]
- Thomson, C.D.; Chisholm, A.; McLachlan, S.K.; Campbell, J.M. Brazil nuts: An effective way to improve selenium status. Am. J. Clin. Nutr. 2008, 87, 379–384. [Google Scholar] [CrossRef] [Green Version]
- Hu, Y.; McIntosh, G.H.; Le Leu, R.K.; Somashekar, R.; Meng, X.Q.; Gopalsamy, G.; Bambaca, L.; McKinnon, R.A.; Young, G.P. Supplementation with Brazil nuts and green tea extract regulates targeted biomarkers related to colorectal cancer risk in humans. Br. J. Nutr. 2016, 116, 1901–1911. [Google Scholar] [CrossRef]
- Duarte, G.B.S.; Reis, B.Z.; Rogero, M.M.; Vargas-Mendez, E.; Júnior, F.B.; Cercato, C.; Cozzolino, S.M.F. Consumption of Brazil nuts with high selenium levels increased inflammation biomarkers in obese women: A randomized controlled trial. Nutrition 2019, 63–64, 162–168. [Google Scholar] [CrossRef] [PubMed]
- Huguenin, G.V.B.; Oliveira, G.M.M.; Moreira, A.S.B.; Saint’Pierre, T.D.; Gonçalves, R.A.; Pinheiro-Mulder, A.R.; Teodoro, A.J.; Luiz, R.R.; Rosa, G. Improvement of antioxidant status after Brazil nut intake in hypertensive and dyslipidemic subjects. Nutr. J. 2015, 14, 54. [Google Scholar] [CrossRef] [Green Version]
- Huguenin, G.V.B.; Moreira, A.S.B.; Siant’Pierre, T.D.; Gonçalves, R.A.; Rosa, G.; Oliveira, G.M.M.; Luiz, R.R.; Tibirica, E. Effects of Dietary Supplementation with Brazil Nuts on Microvascular Endothelial Function in Hypertensive and Dyslipidemic Patients: A Randomized Crossover Placebo-Controlled Trial. Microcirculation 2015, 22, 687–699. [Google Scholar] [CrossRef] [PubMed]
- Grosso, G.; Estruch, R. Nut consumption and age-related disease. Maturitas 2016, 84, 11–16. [Google Scholar] [CrossRef] [PubMed]
- Battino, M.; Giampieri, F.; Cianciosi, D.; Ansary, J.; Chen, X.; Zhang, D.; Gil, E.; Forbes-Hernández, T. The roles of strawberry and honey phytochemicals on human health: A possible clue on the molecular mechanisms involved in the prevention of oxidative stress and inflammation. Phytomedicine 2021, 86, 153170. [Google Scholar] [CrossRef] [PubMed]
- Ullah, H.; De Filippis, A.; Santarcangelo, C.; Daglia, M. Epigenetic regulation by polyphenols in diabetes and related complications. Med. J. Nutr. Metab. 2020, 13, 289–310. [Google Scholar] [CrossRef]
- Kryukov, G.V.; Castellano, S.; Novoselov, S.V.; Lobanov, A.V.; Zehtab, O.; Guigó, R.; Gladyshev, V.N. Characterization of mammalian selenoproteomes. Science 2003, 300, 1439–1443. [Google Scholar] [CrossRef] [Green Version]
- Mehdi, Y.; Hornick, J.-L.; Istasse, L.; Dufrasne, I. Selenium in the environment, metabolism and involvement in body functions. Molecules 2013, 18, 3292–3311. [Google Scholar] [CrossRef] [Green Version]
- Roman, M.; Jitaru, P.; Barbante, C. Selenium biochemistry and its role for human health. Metallomics 2014, 6, 25–54. [Google Scholar] [CrossRef]
- Barrett, C.W.; Reddy, V.K.; Short, S.P.; Motley, A.K.; Lintel, M.K.; Bradley, A.M.; Freeman, T.; Vallance, J.; Ning, W.; Parang, B.; et al. Selenoprotein P influences colitis-induced tumorigenesis by mediating stemness and oxidative damage. J. Clin. Investig. 2015, 125, 2646–2660. [Google Scholar] [CrossRef] [PubMed] [Green Version]
- Hamid, M.; Abdulrahim, Y.; Liu, D.; Qian, G.; Khan, A.; Huang, K. The Hepatoprotective Effect of Selenium-Enriched Yeast and Gum Arabic Combination on Carbon Tetrachloride-Induced Chronic Liver Injury in Rats. J. Food Sci. 2018, 83, 525–534. [Google Scholar] [CrossRef] [PubMed]
- Hoffmann, P.R.; Berry, M.J. The influence of selenium on immune responses. Mol. Nutr. Food Res. 2008, 52, 1273–1280. [Google Scholar] [CrossRef] [PubMed]
- Hu, X.F.; Eccles, K.M.; Chan, H.M. High selenium exposure lowers the odds ratios for hypertension, stroke, and myocardial infarction associated with mercury exposure among Inuit in Canada. Environ. Int. 2017, 102, 200–206. [Google Scholar] [CrossRef] [PubMed]
- Lubos, E.; Loscalzo, J.; Handy, D.E. Glutathione peroxidase-1 in health and disease: From molecular mechanisms to therapeutic opportunities. Antioxid. Redox Signal. 2011, 15, 1957–1997. [Google Scholar] [CrossRef] [Green Version]
- Herbette, S.; Roeckel-Drevet, P.; Drevet, J.R. Seleno-independent glutathione peroxidases. More than simple antioxidant scavengers. FEBS J. 2007, 274, 2163–2180. [Google Scholar] [CrossRef]
- Cao, J.Y.; Dixon, S.J. Mechanisms of ferroptosis. Cell. Mol. Life Sci. 2016, 73, 2195–2209. [Google Scholar] [CrossRef] [Green Version]
- Sharma, G.; Shin, E.-J.; Sharma, N.; Nah, S.-Y.; Mai, H.N.; Nguyen, B.T.; Jeong, J.H.; Lei, X.G.; Kim, H.-C. Glutathione peroxidase-1 and neuromodulation: Novel potentials of an old enzyme. Food Chem. Toxicol. 2021, 148, 111945. [Google Scholar] [CrossRef]
- El-Demerdash, F.M.; Nasr, H.M. Antioxidant effect of selenium on lipid peroxidation, hyperlipidemia and biochemical parameters in rats exposed to diazinon. J. Trace Elem. Med. Biol. 2014, 28, 89–93. [Google Scholar] [CrossRef]




| PICOS | Description |
|---|---|
| P (Population) | Men and/or women, adolescents and adults. |
| I (Intervention) | Brazil nut supplementation (including derivatives, characterized by a similar nutrient profile). |
| C (Comparison) | Brazil nut supplementation group (alone or combined with other intervention) versus placebo/control group. |
| O (Outcomes) | Changes in selenium blood levels, oxidative stress and inflammatory markers, and in blood lipid profile. |
| S (Study design) | Systematic review with meta-analysis. |
| Author, Year | Country | Type and Duration of Intervention, No. of Individuals in Intervention/Control Group | Population | Sex; Mean Age * of Individuals | Measured Outcomes of Interest |
|---|---|---|---|---|---|
| Parallel Design | |||||
| Thomson, 2008 [20] | New Zealand | Brazil nuts (n = 20) vs. placebo (n = 20); 2 nuts/d for 3 months | Healthy volunteers | 30M, 29F; 18–60 y | Selenium status, GPx activity |
| Maranhao, 2011 [17] | Brazil | Brazil nuts (n = 8) vs. lactose (n = 9); 3–5 nuts/d for 4 months | Obese female adolescents | 17F; 15.4 ± 2.0 y | Selenium status, GPx activity, cholesterol, HDL-c, LDL-c |
| Carvalho, 2015 [18] | Brazil | Brazil nut flour (n = 35) vs. placebo flour (n = 42); 13 g/d of nut flour for 3 months | Hypertensive and dyslipidaemic individuals | 43M, 34F; 40–80 y | Selenium status, cholesterol, HDL-c, LDL-c |
| Cardoso, 2016 [19] | Brazil | Brazil nuts (n = 11) vs. normal diet (n = 9); 1 nut/d for 6 months | Older adults with mild cognitive impairment | 6M, 14F; 77.7 ± 5.3 y | Selenium status, GPx activity |
| Hu, 2016 [21] | Australia | Brazil nuts (n = 9) vs. GTE (n=10); 6 nuts/d for 1.5 month | Individuals considered at risk of colorectal cancer | 15M, 15F; 52–75 y | Selenium status |
| Duarte, 2019 [22] | Brazil | Brazil nuts (n = 29) vs. no supplementation (n = 26); 1 nut/d for 2 months | Obese female adults | 0M, 55F; 18–55 y | Selenium status, GPx activity |
| Crossover Design | |||||
| Huguenin, Oliveira 2015 [23] | Brazil | Diet and placebo (n = 91) vs. diet and GBN (n = 91); 13 g/d GBN for 3 months | Hypertensive and dyslipidaemic individuals | 47M, 44F; 62.1 ± 9.3 y | Selenium status, GPx activity |
| Huguenin, Moreira 2015 [24] | Brazil | Diet and placebo (n = 91) vs. diet and GBN (n = 91); 13 g/d GBN for 3 months | Hypertensive and dyslipidaemic individuals | 47M, 44F; 62.1 ± 9.3 y | Cholesterol, HDL-c, LDL-c |
| Outcome | Number of Studies | SMD (95% CI) | I2 (%) | pheterogeneity | τ2 |
|---|---|---|---|---|---|
| Parallel and crossover design | |||||
| Selenium status | 7 | 6.93 (3.99; 9.87) | 96.1 | <0.001 | 11.27 |
| GPx activity | 5 | 0.53 (0.07; 0.99) | 62.1 | 0.032 | 0.19 |
| Parallel design | |||||
| Selenium status | 6 | 7.33 (3.64; 11.01) | 95.9 | <0.001 | 19.06 |
| GPx activity | 4 | 0.70 (0.19; 1.22) | 44.2 | 0.146 | 0.12 |
| Selenium Status | GPx Activity | |||
|---|---|---|---|---|
| Author, Year | SMD (95% CI) | I2 (%) | SMD (95% CI) | I2 (%) |
| Duarte, 2019 | 5.88 (2.96; 8.8) | 96.0 | 0.62 (−0.03; 1.26) | 71.6 |
| Hu, 2016 | 8.01 (4.44; 11.59) | 96.4 | - | - |
| Cardoso, 2016 | 6.29 (3.25; 9.34) | 96.5 | 0.42 (−0.04; 0.87) | 59.6 |
| Huguenin, Oliveira 2015 | 7.33 (3.64; 11.01) | 95.9 | 0.70 (0.19; 1.22) | 44.2 |
| Carvalho, 2015 | 5.54 (2.77; 8.3) | 95.5 | - | - |
| Maranhao, 2011 | 8.14 (5; 11.28) | 94.8 | 0.60 (0.06; 1.15) | 71.3 |
| Thomson, 2008 | 7.53 (4.03; 11.03) | 96.7 | 0.31 (−0.05; 0.68) | 32.9 |
| Outcome | Number of Studies | SMD (95% CI) | I2 (%) | pheterogeneity | τ2 |
|---|---|---|---|---|---|
| Parallel and Crossover Design | |||||
| Cholesterol | 3 | −0.22 (−0.57; 0.14) | 38.6 | 0.196 | 0.04 |
| HDL-c | 3 | −0.04 (−0.28; 0.19) | 00.0 | 0.872 | 0.00 |
| LDL-c | 3 | −0.15 (−0.43; 0.13) | 16.2 | 0.303 | 0.01 |
Publisher’s Note: MDPI stays neutral with regard to jurisdictional claims in published maps and institutional affiliations. |
© 2022 by the authors. Licensee MDPI, Basel, Switzerland. This article is an open access article distributed under the terms and conditions of the Creative Commons Attribution (CC BY) license (https://creativecommons.org/licenses/by/4.0/).
Share and Cite
Godos, J.; Giampieri, F.; Micek, A.; Battino, M.; Forbes-Hernández, T.Y.; Quiles, J.L.; Paladino, N.; Falzone, L.; Grosso, G. Effect of Brazil Nuts on Selenium Status, Blood Lipids, and Biomarkers of Oxidative Stress and Inflammation: A Systematic Review and Meta-Analysis of Randomized Clinical Trials. Antioxidants 2022, 11, 403. https://doi.org/10.3390/antiox11020403
Godos J, Giampieri F, Micek A, Battino M, Forbes-Hernández TY, Quiles JL, Paladino N, Falzone L, Grosso G. Effect of Brazil Nuts on Selenium Status, Blood Lipids, and Biomarkers of Oxidative Stress and Inflammation: A Systematic Review and Meta-Analysis of Randomized Clinical Trials. Antioxidants. 2022; 11(2):403. https://doi.org/10.3390/antiox11020403
Chicago/Turabian StyleGodos, Justyna, Francesca Giampieri, Agnieszka Micek, Maurizio Battino, Tamara Y. Forbes-Hernández, José L. Quiles, Nadia Paladino, Luca Falzone, and Giuseppe Grosso. 2022. "Effect of Brazil Nuts on Selenium Status, Blood Lipids, and Biomarkers of Oxidative Stress and Inflammation: A Systematic Review and Meta-Analysis of Randomized Clinical Trials" Antioxidants 11, no. 2: 403. https://doi.org/10.3390/antiox11020403
APA StyleGodos, J., Giampieri, F., Micek, A., Battino, M., Forbes-Hernández, T. Y., Quiles, J. L., Paladino, N., Falzone, L., & Grosso, G. (2022). Effect of Brazil Nuts on Selenium Status, Blood Lipids, and Biomarkers of Oxidative Stress and Inflammation: A Systematic Review and Meta-Analysis of Randomized Clinical Trials. Antioxidants, 11(2), 403. https://doi.org/10.3390/antiox11020403

