On the Scavenging Ability of Scutellarein against the OOH Radical in Water and Lipid-like Environments: A Theoretical Study
Abstract
:1. Introduction
- (a)
- Hydrogen Atom Transfer (HAT)HnA + R• → Hn−1A• + RH
- (b)
- Single Electron Transfer (SET)HnA + R• → HnA+• + R−
- (c)
- Radical Adduct Formation (RAF)HnA + R• → [Hn−1A-RH]•
2. Materials and Methods
3. Results and Discussion
3.1. Chemical Equilibria in Water
3.2. Reactivity Indices
3.3. Reactions in Lipid-like Environment
3.4. Reactions in Water Solution
3.5. Kinetic Behavior
4. Conclusions
- -
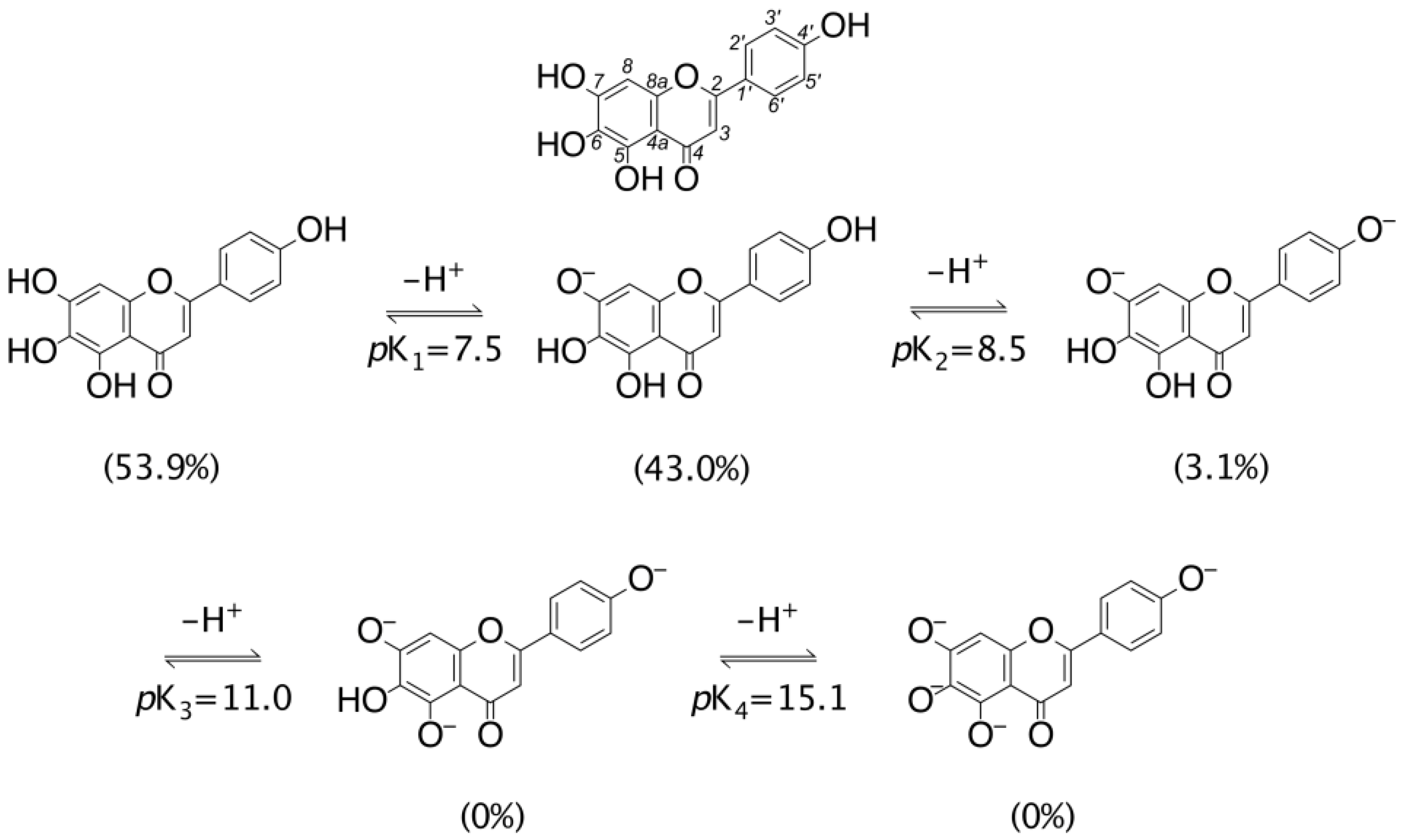
- The pKa, for the different deprotonation steps, are predicted to be 7.50, 8.53, 10.96 and 15.12. The preferred deprotonation site involves the OH group in position C6. At physiological pH, the most populated species are the neutral (H4A, 53.9%) and mono-anion (H3A−, 43.0%) species;
- -
- In the lipid-like environment, the preferred HAT mechanism involving the C6OH group, with a k value of 1.06 × 103 (M−1 s−1), is dominant. The same behavior is found in water in which the higher kinetic constant (k = 5.15 × 105 M−1 s−1) arises from the H3A− form;
- -
- Comparison with Trolox indicates as scutellarein reacts with the hydroperoxyl radical with approximately the same efficiency in both nonpolar and aqueous solutions.
Supplementary Materials
Author Contributions
Funding
Institutional Review Board Statement
Informed Consent Statement
Data Availability Statement
Acknowledgments
Conflicts of Interest
References
- Gu, S.; Pei, J. Innovating Chinese Herbal Medicine: From Traditional Health Practice to Scientific Drug Discovery. Front. Pharmacol. 2017, 8, 381–390. [Google Scholar] [CrossRef] [PubMed] [Green Version]
- Chinese Pharmacopoeia. Available online: https://www.chp.org.cn/gjyjwyw/index.jhtml (accessed on 30 December 2020).
- Council of Europe Pharmacopoeia. Available online: https://www.edqm.eu (accessed on 1 January 2020).
- Spiegel, M.; Andruniów, T.; Sroka, Z. Flavones’ and Flavonols’ Antiradical Structure–Activity Relationship. A Quantum Chemical Study. Antioxidants 2020, 9, 461. [Google Scholar] [CrossRef] [PubMed]
- Masek, A.; Chrzescijanska, E.; Latos, M.; Zaborski, M. Influence of hydroxyl substitution on flavanone antioxidants properties. Food Chem. 2017, 215, 501–507. [Google Scholar] [CrossRef] [PubMed]
- Leopoldini, M.; Russo, N.; Toscano, M. The molecular basis of working mechanism of natural polyphenolic antioxidants. Food Chem. 2011, 125, 288–306. [Google Scholar] [CrossRef]
- Apak, R.; Özyürek, M.; Kubilay, G.; Çapanoğlu, E. Antioxidant Activity/Capacity Measurement. 1. Classification, Physicochemical Principles, Mechanisms, and Electron Transfer (ET)-Based Assays. J. Agric. Food Chem. 2016, 64, 997–1027. [Google Scholar] [CrossRef] [PubMed]
- Galano, A.; Mazzone, G.; Alvarez-Diduk, R.; Marino, T.; Alvarez-Idaboy, J.R.; Russo, N. Food Antioxidants: Chemical Insights at the Molecular Level. Annu. Rev. Food Sci. Technol. 2016, 7, 335–352. [Google Scholar] [CrossRef]
- Wang, P.; Gong, Q.; Hu, J.; Li, X.; Zhang, X. Reactive Oxygen Species (ROS)-Responsive Prodrugs, Probes, and Theranostic Prodrugs: Applications in the ROS-Related Diseases. J. Med. Chem. 2021, 64, 298–325. [Google Scholar] [CrossRef]
- Lushchak, V.I. Free radicals, reactive oxygen species, oxidative stress and its Classification. Chem.-Biol. Interact. 2014, 224, 164–175. [Google Scholar] [CrossRef]
- Zhao, Q.; Chen, X.-Y.; Martin, C. Scutellaria baicalensis, the golden herb from the garden of Chinese medicinal plants. Sci. Bull. 2016, 61, 1391–1398. [Google Scholar] [CrossRef] [Green Version]
- Cheng, C.-Y.; Hu, C.C.; Yang, H.J.; Lee, M.C.; Kao, E.S. Inhibitory Effects of Scutellarein on Proliferation of Human Lung Cancer A549 Cells through ERK and NFB Mediated by the EGFR Pathway. Chin. J. Physiol. 2014, 57, 182–187. [Google Scholar] [CrossRef] [Green Version]
- Ni, G.; Tang, Y.; Li, M.; He, Y.; Rao, G. Synthesis of Scutellarein Derivatives with a Long Aliphatic Chain and Their Biological Evaluation against Human Cancer Cells. Molecules 2018, 23, 310. [Google Scholar] [CrossRef] [PubMed] [Green Version]
- Yu, M.-S.; Lee, J.; Lee, J.M.; Kim, Y.; Chin, Y.W.; Jee, J.-G.; Keum, Y.-S.; Jeong, Y.-J. Identification of myricetin and scutellarein as novel chemical inhibitors of the SARS coronavirus helicase, nsP13. Bioorg. Med. Chem. Lett. 2012, 22, 4049–4054. [Google Scholar] [CrossRef] [PubMed]
- Han, T.; Li, J.; Xue, J.; Li, H.; Xu, F.; Cheng, K.; Li, D.; Li, Z.; Gao, M.; Hua, H. Scutellarin derivatives as apoptosis inducers: Design, synthesis and biological evaluation. Eur. J. Med. Chem. 2017, 135, 270–281. [Google Scholar] [CrossRef] [PubMed]
- Wang, Z.L. A comprehensive review on phytochemistry, pharmacology, and flavonoid biosynthesis of Scutellaria baicalensis. Pharm. Biol. 2018, 56, 465–484. [Google Scholar] [CrossRef] [Green Version]
- Sang, Z.; Li, Y.; Qiang, X.; Xiao, G.; Liu, Q.; Tan, Z.; Deng, Y. Multifunctional scutellarin–rivastigmine hybrids with cholinergic, antioxidant, biometal chelating and neuroprotective properties for the treatment of Alzheimer’s disease. Bioorg. Med. Chem. 2015, 23, 668–680. [Google Scholar] [CrossRef]
- Prasanna, P.; Upadhyay, A. Flavonoid-Based Nanomedicines in Alzheimer’s Disease. Therapeutics: Promises Made, a Long Way To Go. ACS Pharmacol. Transl. Sci. 2021, 4, 74–95. [Google Scholar] [CrossRef]
- Ahmadi, S.; Marino, T.; Prejanò, M.; Russo, N.; Toscano, M. Antioxidant Properties of the Vam3 Derivative of Resveratrol. Molecules 2018, 23, 2446. [Google Scholar] [CrossRef] [Green Version]
- Parise, A.; De Simone, B.C.; Marino, T.; Toscano, M.; Russo, N. Quantum Mechanical Predictions of the Antioxidant Capability of Moracin C Isomers. Front. Chem. 2021, 9, 666647. [Google Scholar] [CrossRef]
- Frisch, M.J.; Trucks, G.W.; Schlegel, H.B.; Scuseria, G.E.; Robb, M.A.; Cheeseman, J.R.; Fox, D.J. Gaussian 09; Gaussian Inc.: Wallingford, CT, USA, 2009. [Google Scholar]
- Zhao, Y.; Schultz, N.E.; Truhlar, D.G. Design of density functionals by combining the method of constraint satisfaction with parametrization for thermochemistry, thermochemical kinetics, and noncovalent interactions. J. Chem. Theory Comput. 2006, 2, 364–382. [Google Scholar] [CrossRef]
- Marenich, A.V.; Cramer, C.J.; Truhlar, D.G. Universal solvation model based on solute electron density and on a continuum model of the solvent defined by the bulk dielectric constant and atomic surface tensions. J. Phys. Chem. B 2009, 113, 6378–6396. [Google Scholar] [CrossRef]
- Galano, A.; Alvarez-Idaboy, J.R. A computational methodology for accurate predictions of rate constants in solution: Application to the assessment of primary antioxidant activity. J. Comput. Chem. 2013, 34, 2430–2445. [Google Scholar] [CrossRef] [PubMed]
- Rebollar-Zepeda, A.M.; Galano, A. Quantum mechanical based approaches for predicting pKa values of carboxylic acids: Evaluating the performance of different strategies. RSC Adv. 2016, 6, 112057–112064. [Google Scholar] [CrossRef]
- Reina, M.; Guzman-Lopez, E.G.; Romeo, I.; Marino, T.; Russo, N.; Galano, A.B. Computationally designed p-coumaric acid analogs: Searching for neuroprotective antioxidants. New J. Chem. 2021, 45, 14369–14380. [Google Scholar] [CrossRef]
- Castaneda-Arriaga, R.; Marino, T.; Russo, N.; Alvarez-Idaboy, J.R.; Galano, A. Chalcogen effects on the primary antioxidant activity of chrysin and quercetin. New J. Chem. 2020, 44, 9073–9082. [Google Scholar] [CrossRef]
- Ngo, T.C.; Nguyen, T.H.; Dao, D.Q. Radical Scavenging Activity of Natural-Based Cassaine Diterpenoid Amides and Amines. J. Chem. Inf. Model. 2019, 59, 766–776. [Google Scholar] [CrossRef]
- Marković, Z.; Tošović, J.; Milenković, D.; Marković, S. Revisiting the solvation enthalpies and free energies of the proton and electron in various solvents. Comput. Theor. Chem. 2016, 1077, 11–17. [Google Scholar] [CrossRef]
- Galano, A.; Perez-Gonzalez, A.; Castaneda-Arriaga, R.; Munoz-Rugeles, L.; Mendoza-Sarmiento, G.; Romero-Silva, A.; Ibarra-Escutia, A.; Rebollar-Zepeda, A.M.; Leon-Carmona, J.R.; Hernandez-Olivares, M.A.; et al. Empirically Fitted Parameters for Calculating pKa Values with Small Deviations from Experiments Using a Simple Computational Strategy. J. Chem. Inf. Model. 2016, 56, 1714–1724. [Google Scholar] [CrossRef]
- Truhlar, D.G.; Garrett, B.C.; Klippenstein, S.J. Current status of transition-state theory. J. Phys. Chem. 1996, 100, 12771–12782. [Google Scholar] [CrossRef]
- Evans, M.G.; Polanyi, M. Some applications of the transition state method to the calculation of reaction velocities, especially in solution. Trans. Faraday Soc. 1935, 31, 875–882. [Google Scholar] [CrossRef]
- Marcus, R.A. Electron transfer reactions in chemistry: Theory and experiment (Nobel lecture). Angew. Chem. Int. Ed. Engl. 1993, 32, 1111–1121. [Google Scholar] [CrossRef]
- Collins, F.C.; Kimball, G.E. Diffusion-controlled reaction rates. J. Colloid. Sci. 1949, 4, 425–437. [Google Scholar] [CrossRef]
- Galano, A.; Alvarez-Idaboy, J.R. Computational strategies for predicting free radical scavengers’ protection against oxidative stress: Where are we and what might follow? Int. J. Quantum. Chem. 2019, 119, 25665. [Google Scholar] [CrossRef] [Green Version]
- Alberto, M.E.; Russo, N.; Grand, A.; Annia Galano, A. A physicochemical examination of the free radical scavenging activity of Trolox: Mechanism, kinetics and influence of the environment. Phys. Chem. Chem. Phys. 2013, 15, 4642–4650. [Google Scholar] [CrossRef] [PubMed]
- Amorati, R.; Baschieri, A.; Morroni, G.; Gambino, R.; Valgimigli, L. Peroxyl Radical Reactions in Water Solution: AGym for Proton-Coupled Electron-Transfer Theories. Chem. Eur. J. 2016, 22, 7924–7934. [Google Scholar] [CrossRef]
- Amorati, R.; Baschieri, A.; Cowden, A.; Valgimigli, L. The Antioxidant Activity of Quercetin in Water Solution. Biomimetics 2017, 2, 9. [Google Scholar] [CrossRef]





| Species | Solvent | OH Position | BDE | IP | PDE | PA |
|---|---|---|---|---|---|---|
| H4A | Pentylethanoate | C5 | 82.6 | 125.3 | 19.6 | 61.8 |
| C6 | 70.9 | 7.9 | 59.2 | |||
| C7 | 81.5 | 18.5 | 56.8 | |||
| C4′ | 100.8 | 37.8 | 53.6 | |||
| H4A | Water | C5 | 79.7 | 112.5 | 8.8 | 33.3 |
| C6 | 72.9 | 1.9 | 31.7 | |||
| C7 | 82.1 | 11.2 | 29.8 | |||
| C4′ | 82.9 | 12.0 | 31.4 | |||
| H3A− | Water | C5 | 74.5 | 93.9 | 22.1 | 39.9 |
| C6 | 67.0 | 14.6 | 41.4 | |||
| C4′ | 82.6 | 30.2 | 33.0 |
| OH Position | H4APE | |
|---|---|---|
| ΔG | ΔG ‡ | |
| C5 | 5.7 | 28.5 |
| C6 | −6.0 | 17.0 |
| C7 | 4.6 | 23.7 |
| Mechanism | H4A | H3A− | ||
|---|---|---|---|---|
| ΔG | ΔG ‡ | ΔG | ΔG ‡ | |
| HAT (C5OH) | −0.5 | 22.7 | −5.7 | 20.0 |
| HAT (C6OH) | −7.3 | 16.4 | −13.2 | 12.2 |
| HAT (C7OH) | 1.9 | 22.7 | ||
| HAT (C4′OH) | 2.7 | 23.3 | 2.4 | 22.7 |
| RAF (C4) | 8.6 | 25.0 | ||
| Mechanism | k (M−1 s−1) | Γ (%) | k (M−1 s−1) | Γ (%) | k (M−1 s−1) | Γ (%) |
|---|---|---|---|---|---|---|
| Pentylethenoate | Water | |||||
| H4A | H4A | H3A− | ||||
| HAT (C5-OH) | 4.40 × 10−4 | 0.00 | 1.04 × 101 | 0.15 | 3.92 × 103 | 0.76 |
| HAT (C6-OH) | 1.06 × 103 | 99.99 | 7.03 × 103 | 99.55 | 5.15 × 105 | 99.24 |
| HAT (C7-OH) | 1.10 × 10−1 | 0.01 | 2.01 × 101 | 0.28 | ||
| HAT(C4′-OH) | - | - | 1.41 × 100 | 0.02 | 4.42 × 100 | 0.00 |
| RAF-(C4) | 7.62 × 10−5 | 0.00 | ||||
| ktotal | 1.06 × 103 | 7.06 × 103 | 5.19 × 105 | |||
| koverall | 1.06 × 103 | 3.80 × 103 | 2.23 × 105 | |||
| Species | f | ktot | fktot |
|---|---|---|---|
| H4A | 0.5388 | 7.06 × 103 | 3.80 × 103 |
| H3A− | 0.4297 | 5.19 × 105 | 2.23 × 105 |
Publisher’s Note: MDPI stays neutral with regard to jurisdictional claims in published maps and institutional affiliations. |
© 2022 by the authors. Licensee MDPI, Basel, Switzerland. This article is an open access article distributed under the terms and conditions of the Creative Commons Attribution (CC BY) license (https://creativecommons.org/licenses/by/4.0/).
Share and Cite
Spiegel, M.; Marino, T.; Prejanò, M.; Russo, N. On the Scavenging Ability of Scutellarein against the OOH Radical in Water and Lipid-like Environments: A Theoretical Study. Antioxidants 2022, 11, 224. https://doi.org/10.3390/antiox11020224
Spiegel M, Marino T, Prejanò M, Russo N. On the Scavenging Ability of Scutellarein against the OOH Radical in Water and Lipid-like Environments: A Theoretical Study. Antioxidants. 2022; 11(2):224. https://doi.org/10.3390/antiox11020224
Chicago/Turabian StyleSpiegel, Maciej, Tiziana Marino, Mario Prejanò, and Nino Russo. 2022. "On the Scavenging Ability of Scutellarein against the OOH Radical in Water and Lipid-like Environments: A Theoretical Study" Antioxidants 11, no. 2: 224. https://doi.org/10.3390/antiox11020224
APA StyleSpiegel, M., Marino, T., Prejanò, M., & Russo, N. (2022). On the Scavenging Ability of Scutellarein against the OOH Radical in Water and Lipid-like Environments: A Theoretical Study. Antioxidants, 11(2), 224. https://doi.org/10.3390/antiox11020224

