Characteristics of the Oxidative Status in Dairy Calves Fed at Different Milk Replacer Levels and Weaned at 14 Weeks of Age
Abstract
1. Introduction
2. Materials and Methods
2.1. Animals, Diets, Feeding and Management
2.2. Records of Health Status and Body Weight
2.3. Calculation of Average Daily Gain (ADG) and Energy Intake
2.4. Blood Sampling and Analyses
2.5. Measurements of the Oxidative Status in Plasma
2.6. Statistical Analyses
3. Results
3.1. Birth Weight and Colostrum Intake
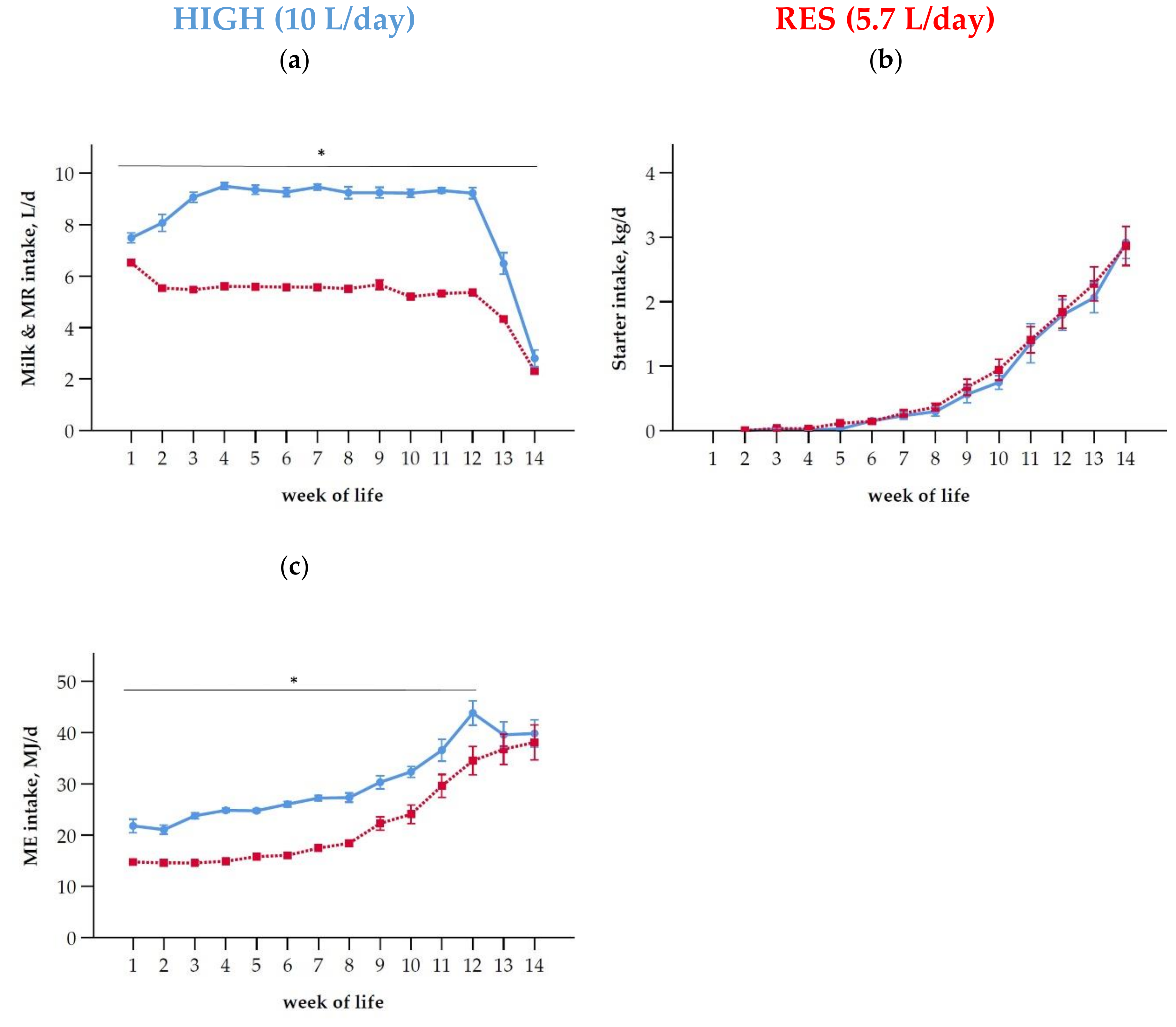
3.2. Intake of Milk, Starter, and Metabolizable Energy (ME)
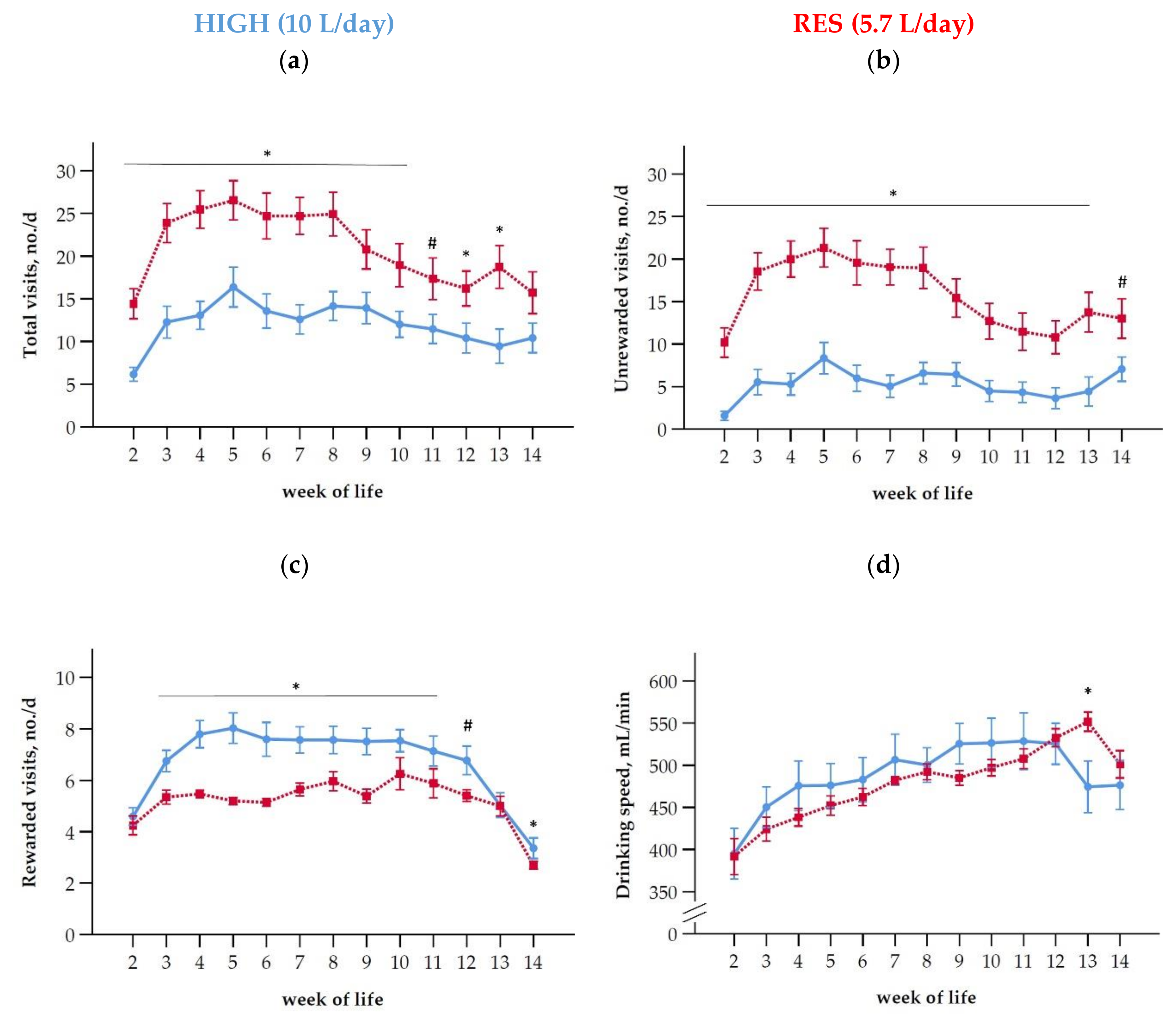
3.3. Rewarded and Unrewarded Visits
3.4. BW and ADG
3.5. Health Records
3.6. Haptoglobin (Hp)
3.7. Metabolic Hormones
3.8. Oxidative Status
4. Discussion
4.1. Feed and ME Intake
4.2. BW Gain and ADG
4.3. Health Status and Hp
4.4. Metabolic Hormones
4.5. Oxidative Status
5. Conclusions
Supplementary Materials
Author Contributions
Funding
Institutional Review Board Statement
Informed Consent Statement
Data Availability Statement
Acknowledgments
Conflicts of Interest
References
- Soberon, F.; Raffrenato, E.; Everett, R.W.; van Amburgh, M.E. Preweaning milk replacer intake and effects on long-term productivity of dairy calves. J. Dairy Sci. 2012, 95, 783–793. [Google Scholar] [CrossRef]
- Lohakare, J.D.; Südekum, K.-H.; Pattanaik, A.K. Nutrition-induced Changes of Growth from Birth to First Calving and Its Impact on Mammary Development and First-lactation Milk Yield in Dairy Heifers: A Review. Asian-australas. J. Anim. Sci. 2012, 25, 1338–1350. [Google Scholar] [CrossRef]
- Khan, M.A.; Bach, A.; Weary, D.M.; Keyserlingk, M.A.G. von. Invited review: Transitioning from milk to solid feed in dairy heifers. J. Dairy Sci. 2016, 99, 885–902. [Google Scholar] [CrossRef]
- Steele, M.A.; Penner, G.B.; Chaucheyras-Durand, F.; Le Guan, L. Development and physiology of the rumen and the lower gut: Targets for improving gut health. J. Dairy Sci. 2016, 99, 4955–4966. [Google Scholar] [CrossRef]
- Korst, M.; Koch, C.; Kesser, J.; Müller, U.; Romberg, F.-J.; Rehage, J.; Eder, K.; Sauerwein, H. Different milk feeding intensities during the first 4 weeks of rearing in dairy calves: Part 1: Effects on performance and production from birth over the first lactation. J. Dairy Sci. 2017, 100, 3096–3108. [Google Scholar] [CrossRef]
- de Passillé, A.M.; Borderas, F.; Rushen, J. Cross-sucking by dairy calves may become a habit or reflect characteristics of individual calves more than milk allowance or weaning. Appl. Anim. Behav. Sci. 2011, 133, 137–143. [Google Scholar] [CrossRef]
- de Passillé, A.M.; Rushen, J. Adjusting the weaning age of calves fed by automated feeders according to individual intakes of solid feed. J. Dairy Sci. 2012, 95, 5292–5298. [Google Scholar] [CrossRef] [PubMed]
- Reinhardt, V.; Reinhardt, A. Natural sucking performance and age of weaning in zebu cattle (Bos indicus). J. Agric. Sci. 1981, 96, 309–312. [Google Scholar] [CrossRef]
- Eckert, E.; Brown, H.E.; Leslie, K.E.; DeVries, T.J.; Steele, M.A. Weaning age affects growth, feed intake, gastrointestinal development, and behavior in Holstein calves fed an elevated plane of nutrition during the preweaning stage. J. Dairy Sci. 2015, 98, 6315–6326. [Google Scholar] [CrossRef] [PubMed]
- Jasper, J.; Weary, D.M. Effects of Ad Libitum Milk Intake on Dairy Calves. J. Dairy Sci. 2002, 85, 3054–3058. [Google Scholar] [CrossRef]
- Frieten, D.; Gerbert, C.; Koch, C.; Dusel, G.; Eder, K.; Kanitz, E.; Weitzel, J.M.; Hammon, H.M. Ad libitum milk replacer feeding, but not butyrate supplementation, affects growth performance as well as metabolic and endocrine traits in Holstein calves. J. Dairy Sci. 2017, 100, 6648–6661. [Google Scholar] [CrossRef]
- Webster, J. Animal Welfare. A Cool Eye towards Eden; Blackwell Science: Oxford, UK, 1997; ISBN 0632039280. [Google Scholar]
- Khan, M.A.; Weary, D.M.; von Keyserlingk, M.A.G. Invited review: Effects of milk ration on solid feed intake, weaning, and performance in dairy heifers. J. Dairy Sci. 2011, 94, 1071–1081. [Google Scholar] [CrossRef]
- Gerbert, C.; Frieten, D.; Koch, C.; Dusel, G.; Eder, K.; Stefaniak, T.; Bajzert, J.; Jawor, P.; Tuchscherer, A.; Hammon, H.M. Effects of ad libitum milk replacer feeding and butyrate supplementation on behavior, immune status, and health of Holstein calves in the postnatal period. J. Dairy Sci. 2018, 101, 7348–7360. [Google Scholar] [CrossRef]
- Mirzaei, M.; Dadkhah, N.; Baghbanzadeh-Nobari, B.; Agha-Tehrani, A.; Eshraghi, M.; Imani, M.; Shiasi-Sardoabi, R.; Ghaffari, M.H. Effects of preweaning total plane of milk intake and weaning age on intake, growth performance, and blood metabolites of dairy calves. J. Dairy Sci. 2018, 101, 4212–4220. [Google Scholar] [CrossRef]
- Schwarzkopf, S.; Kinoshita, A.; Kluess, J.; Kersten, S.; Meyer, U.; Huber, K.; Dänicke, S.; Frahm, J. Weaning Holstein Calves at 17 Weeks of Age Enables Smooth Transition from Liquid to Solid Feed. Animals 2019, 9, 1132. [Google Scholar] [CrossRef] [PubMed]
- Ranade, R.; Talukder, S.; Muscatello, G.; Celi, P. Assessment of oxidative stress biomarkers in exhaled breath condensate and blood of dairy heifer calves from birth to weaning. Vet. J. 2014, 202, 583–587. [Google Scholar] [CrossRef] [PubMed]
- Albera, E.; Kankofer, M. The comparison of antioxidative/oxidative profile in blood, colostrum and milk of early post-partum cows and their newborns. Reprod. Domest. Anim. 2011, 46. [Google Scholar] [CrossRef] [PubMed]
- Vannucchi, C.I.; Silva, L.G.; Lúcio, C.F.; Veiga, G.A.L. Oxidative stress and acid-base balance during the transition period of neonatal Holstein calves submitted to different calving times and obstetric assistance. J. Dairy Sci. 2019, 102, 1542–1550. [Google Scholar] [CrossRef]
- Bordignon, R.; Volpato, A.; Glombowsky, P.; Souza, C.F.; Baldissera, M.D.; Secco, R.; Pereira, W.A.B.; Leal, M.L.R.; Vedovatto, M.; Da Silva, A.S. Nutraceutical effect of vitamins and minerals on performance and immune and antioxidant systems in dairy calves during the nutritional transition period in summer. J. Therm. Biol. 2019, 84, 451–459. [Google Scholar] [CrossRef]
- National Research Council. Nutrient Requirements of Dairy Cattle, 7th ed.; National Academies Press: Washington, DC, USA, 2001; ISBN 978-0-309-06997-7. [Google Scholar]
- Hiss, S.; Mielenz, M.; Bruckmaier, R.M.; Sauerwein, H. Haptoglobin Concentrations in Blood and Milk After Endotoxin Challenge and Quantification of Mammary Hp mRNA Expression. J. Dairy Sci. 2004, 87, 3778–3784. [Google Scholar] [CrossRef]
- Sauerwein, H.; Heintges, U.; Hennies, M.; Selhorst, T.; Daxenberger, A. Growth hormone induced alterations of leptin serum concentrations in dairy cows as measured by a novel enzyme immunoassay. Livest. Prod. Sci. 2004, 87, 189–195. [Google Scholar] [CrossRef]
- Mielenz, M.; Mielenz, B.; Singh, S.P.; Kopp, C.; Heinz, J.; Häussler, S.; Sauerwein, H. Development, validation, and pilot application of a semiquantitative Western blot analysis and an ELISA for bovine adiponectin. Domest. Anim. Endocrinol. 2013, 44, 121–130. [Google Scholar] [CrossRef]
- Alberti, A.; Bolognini, L.; Macciantelli, D.; Caratelli, M. The radical cation of N,N-diethyl-para-phenylendiamine: A possible indicator of oxidative stress in biological samples. Res. Chem. 2000, 253–267. [Google Scholar] [CrossRef]
- Regenhard, P.; Nakov, D.; Sauerwein, H. Applicability of a Spectrophotometric Method for Assessment of Oxidative Stress in Poultry. Mac. Vet. Rev. 2014, 37, 43–47. [Google Scholar] [CrossRef][Green Version]
- Benzie, I.F.; Strain, J.J. The ferric reducing ability of plasma (FRAP) as a measure of “antioxidant power”: The FRAP assay. Anal. Biochem. 1996, 239, 70–76. [Google Scholar] [CrossRef]
- Witko-Sarsat, V.; Friedlander, M.; Capeillère-Blandin, C.; Nguyen-Khoa, T.; Nguyen, A.T.; Zingraff, J.; Jungers, P.; Descamps-Latscha, B. Advanced oxidation protein products as a novel marker of oxidative stress in uremia. Kidney Int. 1996, 49, 1304–1313. [Google Scholar] [CrossRef] [PubMed]
- Bradford, M.M. A rapid and sensitive method for the quantitation of microgram quantities of protein utilizing the principle of protein-dye binding. Anal. Biochem. 1976, 72, 248–254. [Google Scholar] [CrossRef]
- Gutteridge, J.M.; Quinlan, G.J. Malondialdehyde formation from lipid peroxides in the thiobarbituric acid test: The role of lipid radicals, iron salts, and metal chelators. J. Appl. Biochem. 1983, 5, 293–299. [Google Scholar] [PubMed]
- Paglia, D.E.; Valentine, W.N. Studies on the quantitative and qualitative characterization of erythrocyte glutathione peroxidase. J. Lab. Clin. Med. 1967, 70, 158–169. [Google Scholar] [PubMed]
- Buczinski, S.; Vandeweerd, J.M. Diagnostic accuracy of refractometry for assessing bovine colostrum quality: A systematic review and meta-analysis. J. Dairy Sci. 2016, 99, 7381–7394. [Google Scholar] [CrossRef] [PubMed]
- Rosadiuk, J.P.; Bruinjé, T.C.; Moslemipur, F.; Fischer-Tlustos, A.J.; Renaud, D.L.; Ambrose, D.J.; Steele, M.A. Differing planes of pre- and postweaning phase nutrition in Holstein heifers: I. Effects on feed intake, growth efficiency, and metabolic and development indicators. J. Dairy Sci. 2020. [Google Scholar] [CrossRef] [PubMed]
- Kesser, J.; Korst, M.; Koch, C.; Romberg, F.-J.; Rehage, J.; Müller, U.; Schmicke, M.; Eder, K.; Hammon, H.M.; Sadri, H.; et al. Different milk feeding intensities during the first 4 weeks of rearing dairy calves: Part 2: Effects on the metabolic and endocrine status during calfhood and around the first lactation. J. Dairy Sci. 2017, 100, 3109–3125. [Google Scholar] [CrossRef] [PubMed]
- Geiger, A.J.; Parsons, C.L.M.; James, R.E.; Akers, R.M. Growth, intake, and health of Holstein heifer calves fed an enhanced preweaning diet with or without postweaning exogenous estrogen. J. Dairy Sci. 2016, 99, 3995–4004. [Google Scholar] [CrossRef]
- Ceciliani, F.; Ceron, J.J.; Eckersall, P.D.; Sauerwein, H. Acute phase proteins in ruminants. J. Proteom. 2012, 75. [Google Scholar] [CrossRef] [PubMed]
- Sadri, H.; Getachew, B.; Ghaffari, M.H.; Hammon, H.M.; Steinhoff-Wagner, J.; Sauerwein, H. Short communication: Plasma concentration and tissue mRNA expression of haptoglobin in neonatal calves. J. Dairy Sci. 2020, 103. [Google Scholar] [CrossRef] [PubMed]
- Liermann, W.; Schäff, C.T.; Gruse, J.; Derno, M.; Weitzel, J.M.; Kanitz, E.; Otten, W.; Hoeflich, A.; Stefaniak, T.; Sauerwein, H.; et al. Effects of colostrum instead of formula feeding for the first 2 days postnatum on whole-body energy metabolism and its endocrine control in neonatal calves. J. Dairy Sci. 2020, 103, 3577–3598. [Google Scholar] [CrossRef] [PubMed]
- Murray, C.F.; Windeyer, M.C.; Duffield, T.F.; Haley, D.B.; Pearl, D.L.; Waalderbos, K.M.; Leslie, K.E. Associations of serum haptoglobin in newborn dairy calves with health, growth, and mortality up to 4 months of age. J. Dairy Sci. 2014, 97, 7844–7855. [Google Scholar] [CrossRef] [PubMed]
- Hulbert, L.E.; Cobb, C.J.; Carroll, J.A.; Ballou, M.A. The effects of early weaning on innate immune responses of Holstein calves. J. Dairy Sci. 2011, 94, 2545–2556. [Google Scholar] [CrossRef] [PubMed]
- Belli, A.L.; Reis, R.B.; Veronese, A.; Moreira, R.; Flanagan, K.; Driver, J.; Nelson, C.D.; Clapper, J.A.; Ballou, M.A.; Jeong, K.C.; et al. Effects of treatment of preweaning dairy calves with recombinant bovine somatotropin on immune responses and somatotropic axis. J. Dairy Sci. 2018, 101, 6602–6615. [Google Scholar] [CrossRef] [PubMed]
- Kajantie, E.; Hytinantti, T.; Hovi, P.; Andersson, S. Cord plasma adiponectin: A 20-fold rise between 24 weeks gestation and term. J. Clin. Endocrinol. Metab. 2004, 89, 4031–4036. [Google Scholar] [CrossRef] [PubMed]
- Corbetta, S.; Bulfamante, G.; Cortelazzi, D.; Barresi, V.; Cetin, I.; Mantovani, G.; Bondioni, S.; Beck-Peccoz, P.; Spada, A. Adiponectin expression in human fetal tissues during mid- and late gestation. J. Clin. Endocrinol. Metab. 2005, 90, 2397–2402. [Google Scholar] [CrossRef]
- Sauerwein, H.; Häußler, S. Endogenous and exogenous factors influencing the concentrations of adiponectin in body fluids and tissues in the bovine. Domest. Anim. Endocrinol. 2016, 56, S33–S43. [Google Scholar] [CrossRef]
- Casabiell, X.; Piñeiro, V.; Tomé, M.A.; Peinó, R.; Diéguez, C.; Casanueva, F.F. Presence of leptin in colostrum and/or breast milk from lactating mothers: A potential role in the regulation of neonatal food intake. J. Clin. Endocrinol. Metab. 1997, 82, 4270–4273. [Google Scholar] [CrossRef]
- Kesser, J.; Hill, M.; Heinz, J.F.L.; Koch, C.; Rehage, J.; Steinhoff-Wagner, J.; Hammon, H.M.; Mielenz, B.; Sauerwein, H.; Sadri, H. The rapid increase of circulating adiponectin in neonatal calves depends on colostrum intake. J. Dairy Sci. 2015, 98, 7044–7051. [Google Scholar] [CrossRef] [PubMed]
- Gariballa, S.; Alkaabi, J.; Yasin, J.; Al Essa, A. Total adiponectin in overweight and obese subjects and its response to visceral fat loss. BMC Endocr. Disord. 2019, 19, 55. [Google Scholar] [CrossRef]
- Locher, L.; Häussler, S.; Laubenthal, L.; Singh, S.P.; Winkler, J.; Kinoshita, A.; Kenéz, Á.; Rehage, J.; Huber, K.; Sauerwein, H.; et al. Effect of increasing body condition on key regulators of fat metabolism in subcutaneous adipose tissue depot and circulation of nonlactating dairy cows. J. Dairy Sci. 2015, 98, 1057–1068. [Google Scholar] [CrossRef] [PubMed]
- Byrne, C.J.; Fair, S.; English, A.M.; Urh, C.; Sauerwein, H.; Crowe, M.A.; Lonergan, P.; Kenny, D.A. Effect of breed, plane of nutrition and age on growth, scrotal development, metabolite concentrations and on systemic gonadotropin and testosterone concentrations following a GnRH challenge in young dairy bulls. Theriogenology 2017, 96, 58–68. [Google Scholar] [CrossRef] [PubMed]
- Zhang, K.; Guo, Y.; Ge, Z.; Zhang, Z.; Da, Y.; Li, W.; Zhang, Z.; Xue, Z.; Li, Y.; Ren, Y.; et al. Adiponectin Suppresses T Helper 17 Cell Differentiation and Limits Autoimmune CNS Inflammation via the SIRT1/PPARγ/RORγt Pathway. Mol. Neurobiol. 2017, 54, 4908–4920. [Google Scholar] [CrossRef]
- Essick, E.E.; Wilson, R.M.; Pimentel, D.R.; Shimano, M.; Baid, S.; Ouchi, N.; Sam, F. Adiponectin modulates oxidative stress-induced autophagy in cardiomyocytes. PLoS One 2013, 8, e68697. [Google Scholar] [CrossRef]
- Wylie, A.R.G. Leptin in farm animals: Where are we and where can we go? Animal 2011, 5, 246–267. [Google Scholar] [CrossRef] [PubMed]
- Bruinjé, T.C.; Rosadiuk, J.P.; Moslemipur, F.; Sauerwein, H.; Steele, M.A.; Ambrose, D.J. Differing planes of pre- and postweaning phase nutrition in Holstein heifers: II. Effects on circulating leptin, luteinizing hormone, and age at puberty. J. Dairy Sci. 2020. [Google Scholar] [CrossRef]
- Sies, H. Oxidative Stress; Elsevier Science: Burlington, VT, USA, 1985; ISBN 9780126427608. [Google Scholar]
- Halliwell, B.; Gutteridge, J.M. Oxygen toxicity, oxygen radicals, transition metals and disease. Biochem. J. 1984, 219, 1–14. [Google Scholar] [CrossRef] [PubMed]
- Comporti, M.; Signorini, C.; Buonocore, G.; Ciccoli, L. Iron release, oxidative stress and erythrocyte ageing. Free Radic. Biol. Med. 2002, 32, 568–576. [Google Scholar] [CrossRef]
- Abuelo, Á.; Pérez-Santos, M.; Hernández, J.; Castillo, C. Effect of colostrum redox balance on the oxidative status of calves during the first 3months of life and the relationship with passive immune acquisition. Vet. J. 2014, 199, 295–299. [Google Scholar] [CrossRef] [PubMed]
- Dean, R.T.; Fu, S.; Stocker, R.; Davies, M.J. Biochemistry and pathology of radical-mediated protein oxidation. Biochem. J. 1997, 324 (Pt 1), 1–18. [Google Scholar] [CrossRef]





| Item (% of DM) | MR 1 | Starter/Concentrate 2 (g/kg) | TMR 3 |
|---|---|---|---|
| Grass silage | - | - | 33.3% |
| Maize silage | - | - | 20.7% |
| Hay | - | - | 8.5% |
| Wheat straw | - | - | 5.7% |
| Concentrate | - | - | 31.8% |
| Chemical composition, % of DM | |||
| DM, g/kg FM | - | - | 49 |
| CP | 22 | 20 | 13.8 |
| Crude fat | 19 | 3.9 | 3.7 |
| Crude fiber | 0.1 | 5.2 | 21 |
| aNDFOM 5 | - | - | 43.8 |
| ADFOM 5 | - | - | 22.9 |
| Ash | 6.5 | 7.1 | 8.5 |
| NFE 6 | 52.4 | 63.8 | - |
| Total sugar | 45.0 | ND 4 | - |
| ME 7, MJ/kg of DM | 18.6 | 11.2 | 10.7 |
| Ca | 1 | 1 | 0.58 |
| P | 0.7 | 0.6 | 0.33 |
| Na | 0.4 | 0.4 | 0.1 |
| Mg | ND 4 | ND 4 | 0.18 |
| K | ND 4 | ND 4 | 18.5 |
| Lysine | 1.9 | ND 4 | ND 4 |
| Methionine | 0.7 | ND 4 | ND 4 |
| Variable 1 | Feeding Group | SEM | p-Value | |||
|---|---|---|---|---|---|---|
| HIGH | RES | Group (G) | Week of Life (T) | G × T | ||
| Milk & MR intake, L/d | 8.43 | 5.25 | ±0.09 | <0.01 | <0.01 | <0.01 |
| Starter intake, kg/d | 0.77 | 0.86 | ±0.07 | 0.16 | <0.01 | 0.75 |
| Total ME intake, MJ/d | 29.72 | 22.35 | ±0.64 | <0.01 | <0.01 | <0.01 |
| Total visits, no./d | 12.07 | 20.91 | ±0.59 | <0.01 | <0.01 | 0.87 |
| Unrewarded visits, no./d | 5.28 | 15.72 | ±0.52 | <0.01 | <0.01 | 0.62 |
| Rewarded visits, no./d | 6.74 | 5.19 | ±0.14 | <0.01 | <0.01 | 0.27 |
| Drinking speed, mL/min | 488.68 | 479.00 | ±6.08 | 0.91 | <0.01 | 0.68 |
| Body weight, kg (wk 1–20) | 107.86 | 99.14 | ±2.18 | <0.01 | <0.01 | 0.22 |
| ADG, kg/d (wk 1–20) | 0.98 | 0.89 | ±0.03 | 0.02 | <0.01 | <0.01 |
| Variable 1 | Feeding Group | SEM | p-Value | |||
|---|---|---|---|---|---|---|
| HIGH | RES | Group (G) | Week of Life (T) | G × T | ||
| Haptoglobin (µg/mL) | ||||||
| Dams (36-48 h p.p.) | 780.69 | 813.99 | ±175.39 | 0.58 | - | - |
| Calves (36–48 h p.n.) | 79.94 | 97.09 | ±14.91 | 0.47 | - | - |
| Calves (wk 8–20) | 37.92 | 38.89 | ±2.53 | 0.14 | 0.01 | 0.39 |
| Calves (wk 1–20) | 44.09 | 47.34 | ±3.54 | 0.10 | <0.01 | 0.48 |
| Adiponectin (µg/mL) | ||||||
| Dams (36–48 h p.p.) | 5.72 | 5.94 | ±0.58 | 0.81 | - | - |
| Calves (36–48 h p.n.) | 13.75 | 14.06 | ±0.63 | 0.73 | - | - |
| Calves (wk 8-20) | 15.41 | 14.38 | ±0.43 | 0.03 | <0.01 | 0.67 |
| Calves (wk 1–20) | 15.18 | 14.33 | ±0.38 | 0.05 | <0.01 | 0.55 |
| Leptin (ng/mL) | ||||||
| Dams (36–48 h p.p.) | 21.84 | 22.93 | ±0.99 | 0.44 | - | - |
| Calves (36–48 h p.n.) | 4.48 | 4.09 | ±0.32 | 0.39 | - | - |
| Calves (wk 8–20) | 2.58 | 2.49 | ±0.05 | 0.17 | 0.03 | 0.74 |
| Calves (wk 1–20) | 2.83 | 2.72 | ±0.08 | 0.11 | <0.01 | 0.82 |
| Total protein (g/L) | - | - | ||||
| Dams (36–48 h p.p.) | 55.32 | 56.06 | ±1.89 | 0.79 | - | - |
| Calves (36-48 h p.n.) | 44.1 | 45.43 | ±1.11 | 0.40 | - | - |
| Calves (wk 8–20) | 49.39 | 49.81 | ±0.50 | 0.51 | <0.01 | 0.85 |
| Calves (wk 1–20) | 48.68 | 49.19 | ±0.48 | 0.34 | <0.01 | 0.89 |
| AOPP (µmol/g of Protein) | ||||||
| Dams (36–48 h p.p.) | 0.82 | 0.88 | ±0.05 | 0.40 | - | - |
| Calves (36–48 h p.n.) | 1.95 | 2.40 | ±0.22 | 0.16 | - | - |
| Calves (wk 8–20) | 0.91 | 0.99 | ±0.03 | 0.03 | <0.01 | 0.41 |
| Calves (wk 1–20) | 1.05 | 1.20 | ±0.06 | 0.01 | <0.01 | 0.42 |
| TBARS (nM) | ||||||
| Dams (36–48 h p.p.) | - | - | - | - | - | - |
| Calves (36–48 h p.n.) | 406.81 | 393.74 | ±21.47 | 0.67 | - | - |
| Calves (wk 8–20) | 243.75 | 246.19 | ±4.36 | 0.90 | <0.01 | 0.19 |
| Calves (wk 1–20) | 266.83 | 266.43 | ±2.88 | 0.91 | <0.01 | 0.23 |
| dROM (µg H2O2 equival./L) | ||||||
| Dams (36–48 h p.p.) | - | - | - | - | - | - |
| Calves (36–48 h p.n.) | 17.11 | 19.02 | ±1.51 | 0.29 | - | - |
| Calves (wk 8–20) | 33.92 | 31.61 | ±1.11 | 0.11 | <0.01 | 0.24 |
| Calves (wk 1–20) | 31.65 | 29.93 | ±1.09 | 0.28 | <0.01 | 0.15 |
| FRAP (µM Fe2+/L) | ||||||
| Dams (36–48 h p.p.) | 229.07 | 221.89 | ±8.55 | 0.55 | - | - |
| Calves (36–48 h p.n.) | 151.13 | 173.32 | ±7.43 | 0.05 | - | - |
| Calves (wk 8–20) | 161.77 | 168.32 | ±1.89 | 0.01 | <0.01 | 0.12 |
| Calves (wk 1–20) | 160.35 | 169.05 | ±1.94 | 0.001 | <0.01 | 0.10 |
| GSH-Px (U/mL) | ||||||
| Dams (36–48 h p.p.) | - | - | - | - | - | - |
| Calves (36–48 h p.n.) | 0.011 | 0.012 | ±0.0006 | 0.42 | - | - |
| Calves (wk 8–20) | 0.01 | 0.01 | ±0.0002 | 0.69 | <0.01 | 0.82 |
| Calves (wk 1–20) | 0.01 | 0.01 | ±0.0002 | 0.47 | <0.01 | 0.86 |
Publisher’s Note: MDPI stays neutral with regard to jurisdictional claims in published maps and institutional affiliations. |
© 2021 by the authors. Licensee MDPI, Basel, Switzerland. This article is an open access article distributed under the terms and conditions of the Creative Commons Attribution (CC BY) license (http://creativecommons.org/licenses/by/4.0/).
Share and Cite
Seibt, K.D.; Ghaffari, M.H.; Scheu, T.; Koch, C.; Sauerwein, H. Characteristics of the Oxidative Status in Dairy Calves Fed at Different Milk Replacer Levels and Weaned at 14 Weeks of Age. Antioxidants 2021, 10, 260. https://doi.org/10.3390/antiox10020260
Seibt KD, Ghaffari MH, Scheu T, Koch C, Sauerwein H. Characteristics of the Oxidative Status in Dairy Calves Fed at Different Milk Replacer Levels and Weaned at 14 Weeks of Age. Antioxidants. 2021; 10(2):260. https://doi.org/10.3390/antiox10020260
Chicago/Turabian StyleSeibt, Katharina Diana, Morteza Hosseini Ghaffari, Theresa Scheu, Christian Koch, and Helga Sauerwein. 2021. "Characteristics of the Oxidative Status in Dairy Calves Fed at Different Milk Replacer Levels and Weaned at 14 Weeks of Age" Antioxidants 10, no. 2: 260. https://doi.org/10.3390/antiox10020260
APA StyleSeibt, K. D., Ghaffari, M. H., Scheu, T., Koch, C., & Sauerwein, H. (2021). Characteristics of the Oxidative Status in Dairy Calves Fed at Different Milk Replacer Levels and Weaned at 14 Weeks of Age. Antioxidants, 10(2), 260. https://doi.org/10.3390/antiox10020260

