Probing Modulation of Attentional Correlates with Aerobic Exercise in Individuals with a History of Concussion
Abstract
1. Introduction
2. Materials and Methods
2.1. Participants
2.2. Experimental Design
2.3. Acute Aerobic Exercise Intervention
2.4. Electroencephalography Data Collection
2.5. Data Analysis
3. Results
3.1. Participant and Behavioural Data
3.2. Event-Related Potentials (ERPs)
3.2.1. P3
3.2.2. N2
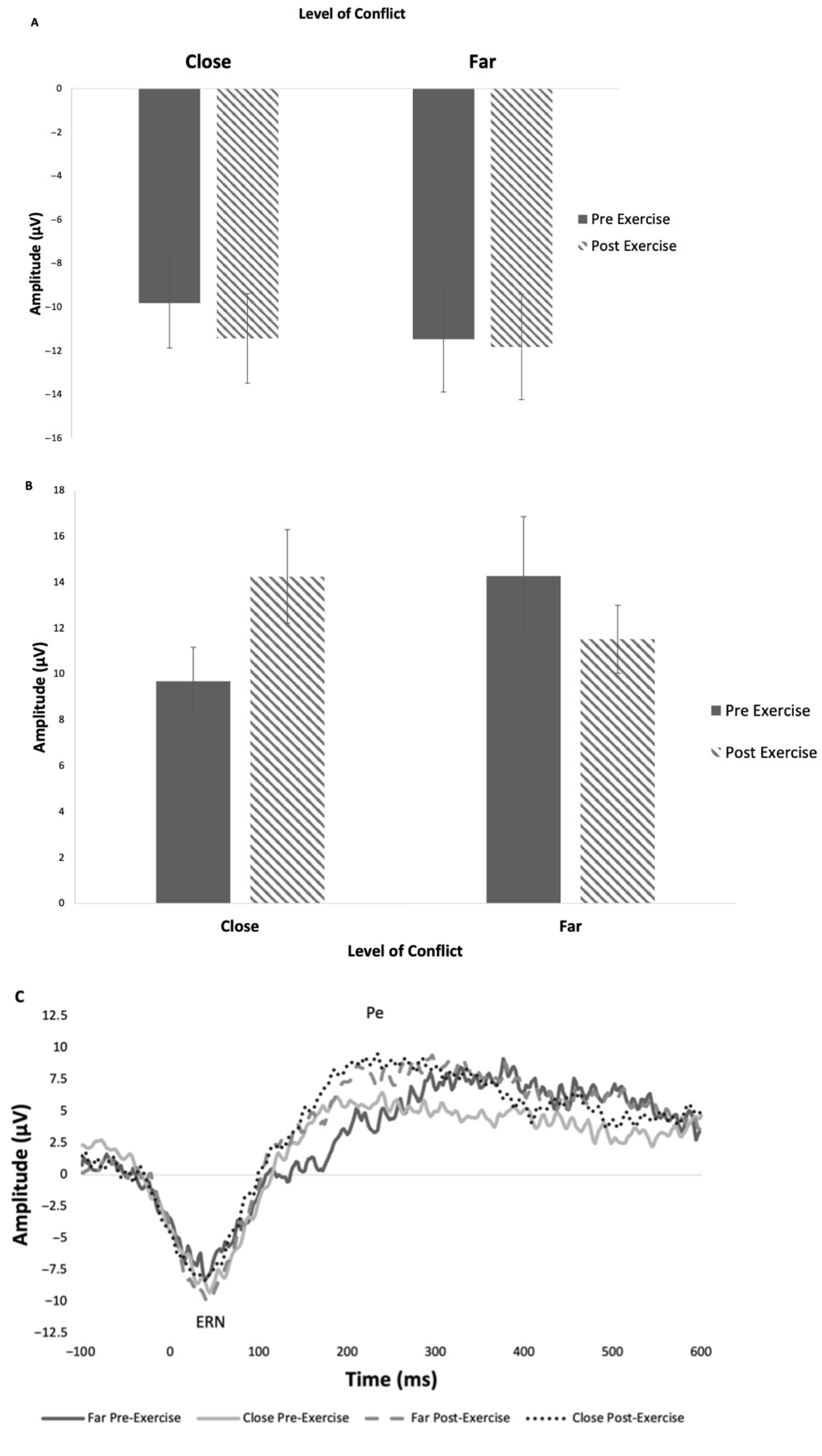
3.2.3. Error-Related Negativity (ERN)
3.2.4. Error Positivity (Pe)

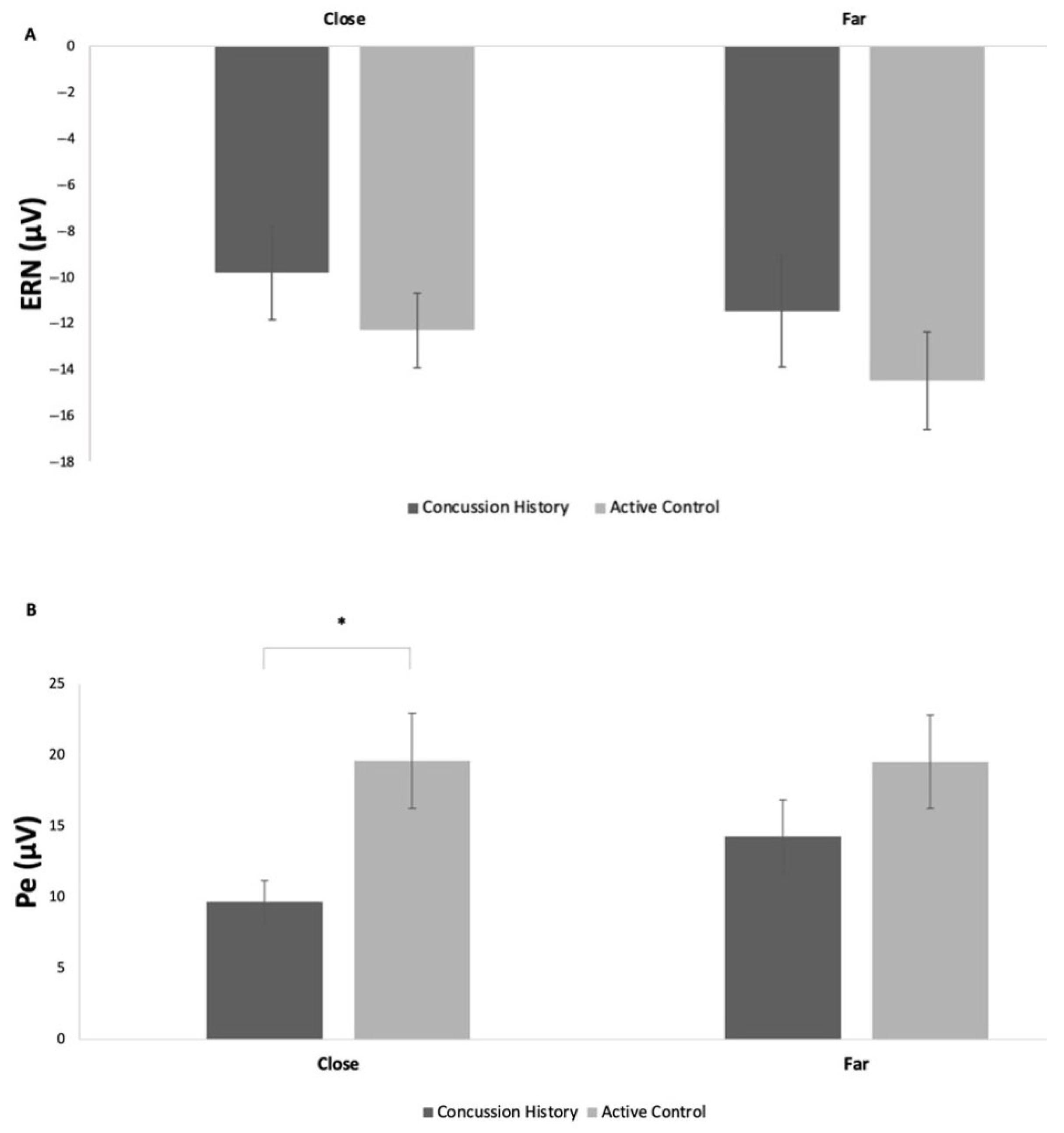
3.3. Concussion History vs. Non-Concussed Highly Active Controls
3.3.1. Behavioral Data
3.3.2. Stimulus-Locked ERPs
3.3.3. Response-Locked ERPs
4. Discussion
4.1. Participants with a Concussion History
4.2. Comparison Between Concussion History and Active Controls
4.3. Potential Mechanisms
4.4. Limitations
5. Conclusions
Author Contributions
Funding
Institutional Review Board Statement
Informed Consent Statement
Data Availability Statement
Conflicts of Interest
References
- Sussman, D.; da Costa, L.; Chakravarty, M.M.; Pang, E.W.; Taylor, M.J.; Dunkley, B.T. Concussion induces focal and widespread neuromorphological changes. Neurosci. Letts. 2017, 650, 52–59. [Google Scholar] [CrossRef] [PubMed]
- Black, A.M.; Sergio, L.E.; Macpherson, A.K. The epidemiology of concussions: Number and nature of concussions and time to recovery among female and male Canadian varsity athletes 2008 to 2011. Clin. J. Sport Med. 2017, 27, 52–56. [Google Scholar] [CrossRef] [PubMed]
- Grossman, E.J.; Inglese, M. The Role of thalamic damage in mild traumatic brain injury. J. Neurotrauma 2016, 33, 163–167. [Google Scholar] [CrossRef] [PubMed]
- Broglio, S.; Eckner, J.T.; Paulson, H.L.; Kutcher, J.S. Cognitive decline and aging: The role of concussive and subconcussive impacts. Exerc. Sport Sci. Rev. 2012, 40, 138–144. [Google Scholar] [CrossRef] [PubMed]
- Romeu-Mejia, R.; Giza, C.C.; Goldman, J.T. Concussion pathophysiology and injury biomechanics. Curr. Rev. Musculoskelet. Med. 2019, 12, 105–116. [Google Scholar] [CrossRef] [PubMed]
- McCrory, P.; Meeuwisse, W.; Dvořá, J.; Aubry, M.; Bailes, J.; Broglio, S.; Cantu, R.C.; Cassidy, D.; Echemendia, R.J.; Castellani, R.J.; et al. Consensus statement on concussion in sport—The 5th international conference on concussion in sport held in Berlin, October 2016. Br. J. Sports Med. 2017, 51, 838–847. [Google Scholar] [CrossRef] [PubMed]
- Giza, C.C.; Hovda, D.A. The new neurometabolic cascade of concussion. Neurosurgery 2014, 75, S24–S33. [Google Scholar] [CrossRef] [PubMed]
- McAllister, T.; McCrea, M. Long-term cognitive and neuropsychiatric nonsequences of repetitive concussion and head-impact exposure. J. Athl. Train. 2017, 52, 309–317. [Google Scholar] [CrossRef] [PubMed]
- Chen, J.K.; Johnston, K.M.; Petrides, M.; Ptito, A. Neural substrates of symptoms of depression following concussion in male athletes with persisting postconcussion symptoms. Arch. Gen. Psychiatry 2008, 65, 81–89. [Google Scholar] [CrossRef] [PubMed]
- Moore, R.D.; Hillman, C.H.; Broglio, S.P. The persistent influence of concussive injuries on cognitive control and neuroelectric function. J. Athl. Train. 2014, 49, 24–35. [Google Scholar] [CrossRef] [PubMed]
- Adams, M.S.; Niechwiej-Szwedo, E.; McIlroy, W.E.; Staines, W.R. A history of concussion affects relevancy-Based Modulation of Cortical Responses to Tactile Stimuli. Front. Int. Neurosci. 2020, 14, 33. [Google Scholar] [CrossRef] [PubMed]
- Dolman, K.; Staines, R.S.; Brown, K.E.; Meehan, S.K.; Staines, W.R. Long-term effects of concussion on attention, sensory gating and motor learning. Exp. Brain Res. 2025, 243, 30. [Google Scholar] [CrossRef] [PubMed]
- Eckner, J.T.; Rettmann, A.; Narisetty, N.; Greer, J.; Moore, B.; Brimacombe, S.; Broglio, S.P. Stability of an ERP-based measure of brain network activation (BNA) in athletes: A new electrophysiological assessment tool for concussion. Brain Inj. 2016, 30, 1075–1081. [Google Scholar] [CrossRef] [PubMed]
- Thériault, M.; De Beaumont, L.; Gosselin, N.; Filipinni, M.; Lassonde, M. Electrophysiological abnormalities in well functioning multiple concussed athletes. Brain Inj. 2009, 23, 899–906. [Google Scholar] [CrossRef] [PubMed]
- De Beaumont, L.; Brisson, B.; Lassonde, M.; Jolicoeur, P. Long-term electrophysiological changes in athletes with a history of multiple concussions. Brain Inj. 2007, 21, 631–644. [Google Scholar] [CrossRef] [PubMed]
- Hillman, C.H.; Erickson, K.I.; Kramer, A.F. Be smart, exercise your heart: Exercise effects on brain and cognition. Nat. Rev. Neurosci. 2008, 9, 58–65. [Google Scholar] [CrossRef] [PubMed]
- Polich, J. Updating P300: An integrative theory of P3a and P3b. Clin. Neurophysiol. 2007, 118, 2128–2148. [Google Scholar] [CrossRef] [PubMed]
- Broglio, S.; Pontifex, M.B.; O’Connor, P.; Hillman, C.H. The persistent effects of concussion on neuroelectric indices of attention. J. Neurotrauma 2009, 26, 1463–1470. [Google Scholar] [CrossRef] [PubMed]
- Krigolson, O.E.; Holroyd, C.B.; Van Gyn, G.; Heath, M. Electroencephalographic correlates of target and outcome errors. Exp. Brain Res. 2008, 90, 401–411. [Google Scholar] [CrossRef] [PubMed]
- Pontifex, M.B.; O’Connor, P.M.; Broglio, S.P.; Hillman, C.H. The association between mild traumatic brain injury history and cognitive control. Neuropsychologia 2009, 47, 3210–3216. [Google Scholar] [CrossRef] [PubMed]
- Di Gregorio, F.; Maier, M.E.; Steinhauser, M. Errors can elicit an error positivity in the absence of an error negativity: Evidence for independent systems of human error monitoring. Neuroimage 2018, 15, 427–436. [Google Scholar] [CrossRef] [PubMed]
- Popovich, C.; Staines, W.R. Acute aerobic exercise enhances attentional modulation of somatosensory event-related potentials during a tactile discrimination task. Behav. Brain Res. 2015, 281, 267–275. [Google Scholar] [CrossRef] [PubMed]
- Huda, R.; Goard, M.J.; Pho, G.N.; Sur, M. Neural mechanisms of sensorimotor transformation and action selection. Eur. J. Neurosci. 2019, 49, 1055–1060. [Google Scholar] [CrossRef] [PubMed]
- Katsuki, F.; Constantinidis, C. Bottom-up and top-down attention: Different processes and overlapping neural systems. Neuroscientist 2014, 20, 509–521. [Google Scholar] [CrossRef] [PubMed]
- Carter, C.S.; Macdonald, A.M.; Botvinick, M.; Ross, L.L.; Stenger, V.A.; Noll, D.; Cohen, J.D. Parsing executive processes: Strategic vs. evaluative functions of the anterior cingulate cortex. Proc. Natl. Acad. Sci. USA 2000, 97, 1944–1948. [Google Scholar] [CrossRef] [PubMed]
- Eriksen, B.A.; Eriksen, C.W. Effects of noise letters upon the identification of a target letter in a nonsearch task. Percept. Psychophys. 1974, 16, 143–149. [Google Scholar] [CrossRef]
- Danielmeier, C.; Wessel, J.R.; Steinhauser, M.; Ullsperger, M. Modulation of the error-related negativity by response conflict. Psychophysiology 2009, 46, 1288–1298. [Google Scholar] [CrossRef] [PubMed]
- Wunder, M.L.; Staines, W.R. Chronic Exercise as a Modulator of Cognitive Control: Investigating the Electrophysiological Indices of Performance Monitoring. Front. Psychol. 2022, 13, 814199. [Google Scholar] [CrossRef] [PubMed]
- Hillman, C.H.; Motl, R.W.; Pontifex, M.B.; Posthuma, D.; Stubbe, J.H.; Boomsma, D.I.; de Geus, E.J. Physical activity and cognitive function in a cross-section of younger and older community-dwelling individuals. Health Psychol. 2006, 25, 678–687. [Google Scholar] [CrossRef] [PubMed]
- Yanagisawa, H.; Dan, I.; Tsuzuki, D.; Kato, M.; Okamoto, M.; Kyutoku, Y.; Soya, H. Acute moderate exercise elicits increased dorsolateral prefrontal activation and improves cognitive performance with Stroop test. Neuroimage 2010, 50, 1702–1710. [Google Scholar] [CrossRef] [PubMed]
- Hillman, C.H.; Pontifex, M.; Raine, L.; Castelli, D.; Hall, E.; Kramer, A. The effect of acute treadmill walking on cognitive control and academic achievement in preadolescent children. Neuroscience 2009, 159, 1044–1054. [Google Scholar] [CrossRef] [PubMed]
- Kamijo, K.; Nishihira, Y.; Hatta, A.; Kaneda, T.; Wasaka, T.; Kida, T.; Kuroiwa, K. Differential influences of exercise intensity on information processing in the central nervous system. Eur. J. Appl. Physiol. 2004, 92, 305–311. [Google Scholar] [CrossRef] [PubMed]
- Ponsford, J.; Willmott, C.; Rothwell, A.; Cameron, P.; Kelly, A.M.; Nelms, R.; Curran, C.; NG, K. Factors influencing outcome following mild traumatic brain injury in adults. J. Int. Neuropsychol. Soc. 2000, 6, 568–579. [Google Scholar] [CrossRef] [PubMed]
- Craig, C.L.; Marshall, A.L.; Sjöström, M.; Bauman, A.E.; Booth, M.L.; Ainsworth, B.E.; Pratt, M.; Ekelund, U.; Yngve, A.; Sallis, J.F.; et al. International physical activity questionnaire: 12-country reliability and validity. Med. Sci. Sports Exerc. 2003, 5, 1381–1395. [Google Scholar] [CrossRef] [PubMed]
- Liguori, G.; Feito, Y.; Fountaine, C.; Roy, B. ACSM’s Guidelines for Exercise Testing and Prescription, 11th ed.; Wolters Kluwer: Rhode Island, RI, USA, 2021. [Google Scholar]
- Groom, M.J.; Cragg, L. Differential modulation of the N2 and P3 event-related potentials by response conflict and inhibition. Brain Cogn. 2015, 97, 1–9. [Google Scholar] [CrossRef] [PubMed]
- Hillman, C.H.; Snook, E.M.; Jerome, G.J. Acute cardiovascular exercise and executive control function. Int. J. Psychophysiol. 2003, 48, 307–314. [Google Scholar] [CrossRef] [PubMed]
- Gehring, W.J.; Willoughby, A.R. The medial frontal cortex and the rapid processing of monetary gains and losses. Science 2002, 295, 2279–2282. [Google Scholar] [CrossRef] [PubMed]
- De Beaumont, L.; Beauchemin, M.; Beaulieu, C.; Jolicoeur, P. Long-term attenuated electrophysiological response to errors following multiple sports concussions. J. Clin. Exp. Neuropsychol. 2013, 35, 596–607. [Google Scholar] [CrossRef] [PubMed]
- Themanson, J.R.; Hillman, C.H.; Curtin, J.J. Age and physical activity influences on action monitoring during task switching. Neurobiol. Aging 2006, 27, 1335–1345. [Google Scholar] [CrossRef] [PubMed]
- Pontifex, M.B.; Broglio, S.P.; Drollette, E.S.; Scudder, M.R.; Johnson, C.R.; O’Connor, P.M.; Hillman, C.H. The relation of mild traumatic brain injury to chronic lapses of attention. Res. Q. Exerc. Sport 2012, 83, 553–559. [Google Scholar] [CrossRef] [PubMed]
- Lempke, L.B.; Howell, D.R.; Eckner, J.T.; Lynall, R.C. Examination of Reaction Time Deficits Following Concussion: A Systematic Review and Meta-analysis. Sports Med. 2020, 50, 1341–1359. [Google Scholar] [CrossRef] [PubMed]
- MacIntosh, B.J.; Crane, D.E.; Sage, M.D.; Rajab, A.S.; Donahue, M.J.; McIlroy, W.E.; Middleton, L.E. Impact of a single bout of aerobic exercise on regional brain perfusion and activation responses in healthy young adults. PLoS ONE 2014, 9, e85163. [Google Scholar] [CrossRef] [PubMed]
- Moore, R.D.; Lepine, J.; Ellemberg, D. The independent influence of concussive and sub-concussive impacts on soccer players’ neurophysiological and neuropsychological function. Int. J. Psychophysiol. 2017, 112, 22–30. [Google Scholar] [CrossRef] [PubMed]






Disclaimer/Publisher’s Note: The statements, opinions and data contained in all publications are solely those of the individual author(s) and contributor(s) and not of MDPI and/or the editor(s). MDPI and/or the editor(s) disclaim responsibility for any injury to people or property resulting from any ideas, methods, instructions or products referred to in the content. |
© 2025 by the authors. Licensee MDPI, Basel, Switzerland. This article is an open access article distributed under the terms and conditions of the Creative Commons Attribution (CC BY) license (https://creativecommons.org/licenses/by/4.0/).
Share and Cite
Young, M.A.; Staines, W.R. Probing Modulation of Attentional Correlates with Aerobic Exercise in Individuals with a History of Concussion. Brain Sci. 2025, 15, 783. https://doi.org/10.3390/brainsci15080783
Young MA, Staines WR. Probing Modulation of Attentional Correlates with Aerobic Exercise in Individuals with a History of Concussion. Brain Sciences. 2025; 15(8):783. https://doi.org/10.3390/brainsci15080783
Chicago/Turabian StyleYoung, Meghan A., and W. Richard Staines. 2025. "Probing Modulation of Attentional Correlates with Aerobic Exercise in Individuals with a History of Concussion" Brain Sciences 15, no. 8: 783. https://doi.org/10.3390/brainsci15080783
APA StyleYoung, M. A., & Staines, W. R. (2025). Probing Modulation of Attentional Correlates with Aerobic Exercise in Individuals with a History of Concussion. Brain Sciences, 15(8), 783. https://doi.org/10.3390/brainsci15080783

