Parietal Alpha Asymmetry as a Correlate of Internet Use Severity in Healthy Adults
Abstract
1. Introduction
2. Methods
2.1. Participants
2.2. Questionnaires
2.3. EEG Recording and Processing
2.4. Alpha Power, Alpha Asymmetry, and Alpha Desynchronization Assessment
2.5. Statistical Analysis
3. Results
3.1. Correlations Between Internet Use Severity and Psychological Measures
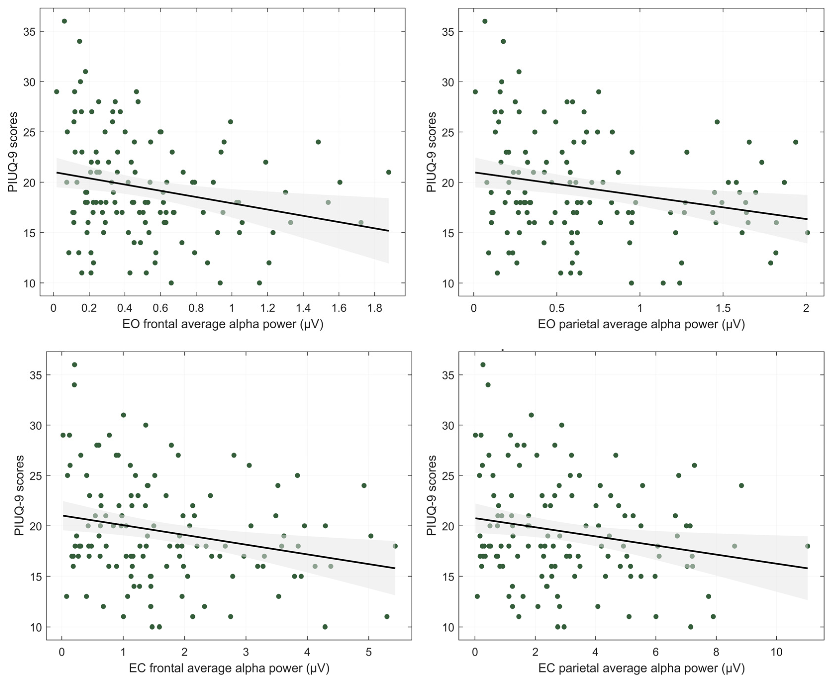
3.2. Correlations Between Internet Use Severity and Alpha Power
3.3. Correlation Between Internet Use Severity and Alpha Asymmetry Index
3.4. Correlations Between Internet Use Severity and Alpha Desynchronization Scores
3.5. Low vs. High Internet Use Engagement
4. Discussion
5. Limitations
6. Conclusions
Author Contributions
Funding
Institutional Review Board Statement
Informed Consent Statement
Data Availability Statement
Acknowledgments
Conflicts of Interest
Abbreviations
| EEG | Electroencephalography |
| EC | Eyes-closed |
| EO | Eyes-open |
| FDR | False Discovery Rate |
| PIU | Problematic Internet Use |
Appendix A
| Variable | BAI | BDI | CBOCI | CBOCI Obsessions | CBOCI Compulsions | |
|---|---|---|---|---|---|---|
| PIUQ-9 | Spearman’s rho | 0.316 * | 0.285 * | 0.406 * | 0.355 * | 0.349 * |
| p-value | <0.001 | 0.001 | <0.001 | <0.001 | <0.001 | |
| n | 128 | 125 | 128 | 128 | 129 | |
| Variable | PIUQ-9 | BAI | BDI | CBOCI | CBOCI Obsessions | CBOCI Compulsions | |
|---|---|---|---|---|---|---|---|
| EO frontal | Spearman’s rho | −0.248 * | −0.129 | −0.118 | −0.067 | −0.108 | −0.016 |
| p-value | 0.005 | 0.15 | 0.193 | 0.452 | 0.227 | 0.857 | |
| n | 128 | 127 | 124 | 127 | 127 | 128 | |
| EO parietal | Spearman’s rho | −0.209 * | −0.095 | −0.107 | −0.042 | −0.098 | 0.042 |
| p-value | 0.018 | 0.288 | 0.235 | 0.637 | 0.275 | 0.639 | |
| n | 128 | 127 | 124 | 127 | 127 | 128 | |
| EC frontal | Spearman’s rho | −0.241 * | 0.03 | −0.004 | −0.023 | −0.092 | 0.067 |
| p-value | 0.006 | 0.735 | 0.966 | 0.8 | 0.303 | 0.448 | |
| n | 129 | 128 | 125 | 128 | 128 | 129 | |
| EC parietal | Spearman’s rho | −0.183 * | 0.027 | −0.006 | −0.023 | −0.083 | 0.064 |
| p-value | 0.038 | 0.763 | 0.943 | 0.801 | 0.351 | 0.474 | |
| n | 129 | 128 | 125 | 128 | 128 | 129 | |

| Variable | BAI | BDI | CBOCI | CBOCI Obsessions | CBOCI Compulsions | |
|---|---|---|---|---|---|---|
| Eyes Open | ||||||
| F3/F4 | Spearman’s rho | 0.156 | 0.088 | 0.048 | 0.093 | 0.004 |
| p-value | 0.084 | 0.334 | 0.598 | 0.302 | 0.965 | |
| n | 124 | 122 | 124 | 124 | 125 | |
| F7/F8 | Spearman’s rho | 0.035 | 0.059 | 0.017 | 0.008 | 0.015 |
| p-value | 0.701 | 0.522 | 0.849 | 0.927 | 0.869 | |
| n | 123 | 121 | 123 | 123 | 124 | |
| P3/P3 | Spearman’s rho | 0.07 | 0.088 | 0.074 | 0.074 | 0.047 |
| p-value | 0.446 | 0.342 | 0.417 | 0.417 | 0.609 | |
| n | 121 | 119 | 121 | 121 | 122 | |
| P7/P8 | Spearman’s rho | −0.032 | −0.199 | −0.002 | −0.04 | 0.034 |
| p-value | 0.731 | 0.032 | 0.983 | 0.667 | 0.716 | |
| n | 119 | 117 | 119 | 119 | 120 | |
| Eyes Closed | ||||||
| F3/F4 | Spearman’s rho | 0.021 | 0.04 | −0.009 | 0.023 | −0.017 |
| p-value | 0.818 | 0.662 | 0.916 | 0.799 | 0.852 | |
| n | 127 | 124 | 127 | 127 | 128 | |
| F7/F8 | Spearman’s rho | −22.61 | −0.022 | −0.042 | 0.01 | −0.106 |
| p-value | 1 | 0.813 | 0.638 | 0.907 | 0.235 | |
| n | 127 | 124 | 127 | 127 | 128 | |
| P3/P3 | Spearman’s rho | −0.039 | 0.044 | −0.027 | −0.034 | −0.01 |
| p-value | 0.668 | 0.636 | 0.764 | 0.706 | 0.91 | |
| n | 122 | 119 | 122 | 122 | 123 | |
| P7/P8 | Spearman’s rho | −0.013 | −0.115 | 0.099 | 0.043 | 0.137 |
| p-value | 0.89 | 0.218 | 0.28 | 0.642 | 0.135 | |
| n | 120 | 117 | 120 | 120 | 121 | |
| Variable | Frontal Electrode Sites | Parietal Electrode Sites | |
|---|---|---|---|
| F7/P7 | Spearman’s rho | 0.191 | 0.212 |
| p-value | 0.034 | 0.02 | |
| n | 124 | 120 | |
| F3/F3 | Spearman’s rho | 0.15 | 0.195 |
| p-value | 0.096 | 0.033 | |
| n | 125 | 120 | |
| Fz/Pz | Spearman’s rho | 0.151 | 0.155 |
| p-value | 0.09 | 0.086 | |
| n | 127 | 123 | |
| F4/P4 | Spearman’s rho | 0.167 | 0.139 |
| p-value | 0.06 | 0.126 | |
| n | 127 | 122 | |
| F8/P8 | Spearman’s rho | 0.193 | 0.095 |
| p-value | 0.031 | 0.303 | |
| n | 125 | 120 | |
| Variable | Mean | SD |
|---|---|---|
| F7 | −0.97 | 0.92 |
| F3 | −1.26 | 1.23 |
| Fz | −1.42 | 1.40 |
| F4 | −1.20 | 1.17 |
| F8 | −0.93 | 0.90 |
| P7 | −2.07 | 1.93 |
| P3 | −1.42 | 1.39 |
| Pz | −1.52 | 1.59 |
| P4 | −2.26 | 2.34 |
| P8 | −3.36 | 3.39 |
| Variable | Group | Mean | SD |
|---|---|---|---|
| Psychopathological measures | |||
| PIUQ-9 | High PIU | 26.49 | 3.14 |
| Low PIU | 13.72 | 2.07 | |
| BAI | High PIU | 36.03 | 8.66 |
| Low PIU | 29.06 | 5.64 | |
| BDI | High PIU | 13.59 | 10.20 |
| Low PIU | 7.66 | 5.94 | |
| BOCI | High PIU | 26.88 | 13.03 |
| Low PIU | 14.97 | 9.09 | |
| CBOCI obsessions | High PIU | 15.55 | 6.88 |
| Low PIU | 9.72 | 5.56 | |
| CBOCI compulsions | High PIU | 11.33 | 7.37 |
| Low PIU | 5.36 | 4.51 | |
| Alpha frequency (μV) | |||
| EO_frontal | High PIU | 0.39 | 0.33 |
| Low PIU | 0.61 | 0.4 | |
| EO_parietal | High PIU | 0.54 | 0.47 |
| Low PIU | 0.81 | 0.57 | |
| EC_frontal | High PIU | 1.32 | 1.18 |
| Low PIU | 2.04 | 1.31 | |
| EC_parietal | High PIU | 2.51 | 2.21 |
| Low PIU | 3.52 | 2.24 | |
| Alpha asymmetry scores | |||
| Eyes Open | |||
| F3/F4 | High PIU | −0.01 | 0.25 |
| Low PIU | −0.06 | 0.24 | |
| F7/F8 | High PIU | −0.13 | 0.69 |
| Low PIU | −0.04 | 0.38 | |
| P3/P4 | High PIU | 0.28 | 0.46 |
| Low PIU | 0.02 | 0.29 | |
| P7/P8 | High PIU | 0.29 | 0.51 |
| Low PIU | 0.04 | 0.35 | |
| Eyes closed | |||
| F3/F4 | High PIU | −0.08 | 0.22 |
| Low PIU | −0.05 | 0.16 | |
| F7/F8 | High PIU | −0.14 | 0.63 |
| Low PIU | −0.02 | 0.28 | |
| P3/P4 | High PIU | 0.41 | 0.55 |
| Low PIU | 0.30 | 0.49 | |
| P7/P8 | High PIU | 0.49 | 0.70 |
| Low PIU | 0.27 | 0.40 | |
| Alpha desynchronization scores (EO-EC) | |||
| F7 | High PIU | −0.80 | 0.81 |
| Low PIU | −1.24 | 1.07 | |
| F3 | High PIU | −1.00 | 0.96 |
| Low PIU | −1.49 | 1.32 | |
| Fz | High PIU | −1.15 | 1.20 |
| Low PIU | −1.67 | 1.48 | |
| F4 | High PIU | −0.96 | 1.03 |
| Low PIU | −1.46 | 1.25 | |
| F8 | High PIU | −0.77 | 0.84 |
| Low PIU | −1.18 | 1.01 | |
| P7 | High PIU | −1.73 | 1.98 |
| Low PIU | −2.72 | 2.18 | |
| P3 | High PIU | −1.14 | 1.22 |
| Low PIU | −1.85 | 1.73 | |
| Pz | High PIU | −1.34 | 1.59 |
| Low PIU | −1.68 | 1.50 | |
| P4 | High PIU | −2.04 | 2.23 |
| Low PIU | −2.64 | 2.17 | |
| P8 | High PIU | −3.07 | 3.26 |
| Low PIU | −3.88 | 3.27 | |
| Variable | U | p | Effect Size | SE Effect Size |
|---|---|---|---|---|
| F7 | 734 | 0.055 | 0.271 | 0.14 |
| F3 | 705 | 0.12 | 0.221 | 0.14 |
| Fz | 710 | 0.106 | 0.229 | 0.14 |
| F4 | 753 | 0.057 | 0.268 | 0.139 |
| F8 | 738 | 0.049 | 0.278 | 0.14 |
| P7 | 723 | 0.021 | 0.329 | 0.142 |
| P3 | 705 | 0.07 | 0.259 | 0.141 |
| Pz | 707 | 0.109 | 0.227 | 0.14 |
| P4 | 684 | 0.125 | 0.219 | 0.141 |
| P8 | 601 | 0.236 | 0.174 | 0.144 |
References
- Massarat EAV Risa Gelles Watnick and Navid. Teens, Social Media and Technology 2022. Pew Research Center. 2022. Available online: https://www.pewresearch.org/internet/2022/08/10/teens-social-media-and-technology-2022/ (accessed on 8 March 2025).
- Pew Research Center. Internet, Broadband Fact Sheet. Pew Research Center. 2024. Available online: https://www.pewresearch.org/internet/fact-sheet/internet-broadband/ (accessed on 3 March 2025).
- Fineberg, N.A.; Menchón, J.M.; Hall, N.; Dell’Osso, B.; Brand, M.; Potenza, M.N.; Chamberlain, S.R.; Cirnigliaro, G.; Lochner, C.; Billieux, J.; et al. Advances in problematic usage of the internet research—A narrative review by experts from the European network for problematic usage of the internet. Compr. Psychiatry 2022, 118, 152346. [Google Scholar] [CrossRef]
- Ioannidis, K.; Hook, R.; Goudriaan, A.E.; Vlies, S.; Fineberg, N.A.; Grant, J.E.; Chamberlain, S.R. Cognitive deficits in problematic internet use: Meta-analysis of 40 studies. Br. J. Psychiatry 2019, 215, 639–646. [Google Scholar] [CrossRef]
- Kuss, D.J.; Lopez-Fernandez, O. Internet addiction and problematic Internet use: A systematic review of clinical research. World J. Psychiatry 2016, 6, 143–176. [Google Scholar] [CrossRef]
- Lissak, G. Adverse physiological and psychological effects of screen time on children and adolescents: Literature review and case study. Environ. Res. 2018, 164, 149–157. [Google Scholar] [CrossRef] [PubMed]
- Sun, Y.; Li, Y.; Bao, Y.; Meng, S.; Sun, Y.; Schumann, G.; Kosten, T.; Strang, J.; Lu, L.; Shi, J. Brief Report: Increased Addictive Internet and Substance Use Behavior During the COVID-19 Pandemic in China. Am. J. Addict. 2020, 29, 268–270. [Google Scholar] [CrossRef]
- Weinstein, A.; Lejoyeux, M. Internet Addiction or Excessive Internet Use. Am. J. Drug Alcohol Abus. 2010, 36, 277–283. [Google Scholar] [CrossRef] [PubMed]
- Pan, Y.-C.; Chiu, Y.-C.; Lin, Y.-H. Systematic review and meta-analysis of epidemiology of internet addiction. Neurosci. Biobehav. Rev. 2020, 118, 612–622. [Google Scholar] [CrossRef] [PubMed]
- Anderson, E.L.; Steen, E.; Stavropoulos, V. Internet use and Problematic Internet Use: A systematic review of longitudinal research trends in adolescence and emergent adulthood. Int. J. Adolesc. Youth 2017, 22, 430–454. [Google Scholar] [CrossRef]
- Billieux, J.; Schimmenti, A.; Khazaal, Y.; Maurage, P.; Heeren, A. Are we overpathologizing everyday life? A tenable blueprint for behavioral addiction research. J. Behav. Addict. 2015, 4, 119–123. [Google Scholar] [CrossRef]
- Fineberg, N.; Demetrovics, Z.; Stein, D.; Ioannidis, K.; Potenza, M.; Grünblatt, E.; Brand, M.; Billieux, J.; Carmi, L.; King, D.; et al. Manifesto for a European research network into Problematic Usage of the Internet. Eur. Neuropsychopharmacol. 2018, 28, 1232–1246. [Google Scholar] [CrossRef]
- Kaess, M.; Klar, J.; Kindler, J.; Parzer, P.; Brunner, R.; Carli, V.; Sarchiapone, M.; Hoven, C.W.; Apter, A.; Balazs, J.; et al. Excessive and pathological Internet use—Risk-behavior or psychopathology? Addict. Behav. 2021, 123, 107045. [Google Scholar] [CrossRef]
- American Psychiatric Association. Diagnostic and Statistical Manual of Mental Disorders, 5th ed.; American Psychiatric Association: Arlington, VA, USA, 2013; Available online: https://psychiatryonline.org/doi/book/10.1176/appi.books.9780890425596 (accessed on 13 April 2020).
- Griffiths, M.D. The evolution of the ‘components model of addiction’ and the need for a confirmatory approach in conceptualizing behavioral addictions. Dusunen Adam J. Psychiatry Neurol. Sci. 2019, 32, 179–184. [Google Scholar] [CrossRef]
- Mihajlov, M.; Vejmelka, L. Internet Addiction: A Review of the First Twenty Years. Psychiatr. Danub. 2017, 29, 260–272. [Google Scholar] [CrossRef]
- Aarseth, E.; Bean, A.M.; Boonen, H.; Carras, M.C.; Coulson, M.; Das, D.; Deleuze, J.; Dunkels, E.; Edman, J.; Ferguson, C.J.; et al. Scholars’ open debate paper on the World Health Organization ICD-11 Gaming Disorder proposal. J. Behav. Addict. 2017, 6, 267–270. [Google Scholar] [CrossRef]
- Baggio, S.; Starcevic, V.; Billieux, J.; King, D.L.; Gainsbury, S.M.; Eslick, G.D.; Berle, D. Testing the spectrum hypothesis of problematic online behaviors: A network analysis approach. Addict. Behav. 2022, 135, 107451. [Google Scholar] [CrossRef]
- Billieux, J.; Flayelle, M.; Rumpf, H.-J.; Stein, D.J. High Involvement Versus Pathological Involvement in Video Games: A Crucial Distinction for Ensuring the Validity and Utility of Gaming Disorder. Curr. Addict. Rep. 2019, 6, 323–330. [Google Scholar] [CrossRef]
- Gullo, M.J.; Wood, A.P.; Saunders, J.B. Criteria for the establishment of a new behavioural addiction: Commentary to the debate: “Behavioral addictions in the ICD-11”. J. Behav. Addict. 2022, 11, 191–198. [Google Scholar] [CrossRef]
- Kardefelt-Winther, D. Conceptualizing Internet use disorders: Addiction or coping process? Psychiatry Clin. Neurosci. 2017, 71, 459–466. [Google Scholar] [CrossRef]
- Starcevic, V.; Aboujaoude, E. Internet addiction: Reappraisal of an increasingly inadequate concept. CNS Spectr. 2017, 22, 7–13. [Google Scholar] [CrossRef] [PubMed]
- Peng, P.; Liao, Y. Six addiction components of problematic social media use in relation to depression, anxiety, and stress symptoms: A latent profile analysis and network analysis. BMC Psychiatry 2023, 23, 321. [Google Scholar] [CrossRef] [PubMed]
- Király, O.; Nagygyörgy, K.; Koronczai, B.; Griffiths, M.D.; Demetrovics, Z. Assessment of problematic Internet use and online video gaming. In Mental Health in the Digital Age: Grave Dangers, Great Promise; Oxford University Press: New York, NY, USA, 2015; pp. 46–68. [Google Scholar]
- Laconi, S.; Urbán, R.; Kaliszewska-Czeremska, K.; Kuss, D.J.; Gnisci, A.; Sergi, I.; Barke, A.; Jeromin, F.; Groth, J.; Gamez-Guadix, M.; et al. Psychometric Evaluation of the Nine-Item Problematic Internet Use Questionnaire (PIUQ-9) in Nine European Samples of Internet Users. Front. Psychiatry 2019, 10, 136. [Google Scholar] [CrossRef] [PubMed]
- Burleigh, T.L.; Griffiths, M.D.; Sumich, A.; Wang, G.Y.; Kuss, D.J. Gaming disorder and internet addiction: A systematic review of resting-state EEG studies. Addict. Behav. 2020, 107, 106429. [Google Scholar] [CrossRef]
- Lee, J.; Hwang, J.Y.; Park, S.M.; Jung, H.Y.; Choi, S.-W.; Kim, D.J.; Lee, J.-Y.; Choi, J.-S. Differential resting-state EEG patterns associated with comorbid depression in Internet addiction. Prog. Neuro-Psychopharmacol. Biol. Psychiatry 2014, 50, 21–26. [Google Scholar] [CrossRef]
- Sun, Y.; Wang, H.; Bo, S. Altered topological connectivity of internet addiction in resting-state EEG through network analysis. Addict. Behav. 2019, 95, 49–57. [Google Scholar] [CrossRef]
- Wang, G.Y.; Griskova-Bulanova, I. Electrophysiological activity is associated with vulnerability of Internet addiction in non-clinical population. Addict. Behav. 2018, 84, 33–39. [Google Scholar] [CrossRef]
- Wang, Y.; Yin, Y.; Sun, Y.-W.; Zhou, Y.; Chen, X.; Ding, W.-N.; Wang, W.; Li, W.; Xu, J.-R.; Du, Y.-S. Decreased prefrontal lobe interhemispheric functional connectivity in adolescents with internet gaming disorder: A primary study using resting-state FMRI. PLoS ONE 2015, 10, e0118733. [Google Scholar] [CrossRef]
- Grandy, T.H.; Werkle-Bergner, M.; Chicherio, C.; Schmiedek, F.; Lövdén, M.; Lindenberger, U. Peak individual alpha frequency qualifies as a stable neurophysiological trait marker in healthy younger and older adults. Psychophysiology 2013, 50, 570–582. [Google Scholar] [CrossRef]
- Reznik, S.J.; Allen, J.J.B. Frontal asymmetry as a mediator and moderator of emotion: An updated review. Psychophysiology 2018, 55, e12965. [Google Scholar] [CrossRef] [PubMed]
- Smith, E.E.; Reznik, S.J.; Stewart, J.L.; Allen, J.J. Assessing and conceptualizing frontal EEG asymmetry: An updated primer on recording, processing, analyzing, and interpreting frontal alpha asymmetry. Int. J. Psychophysiol. 2017, 111, 98–114. [Google Scholar] [CrossRef] [PubMed]
- Barry, R.J.; De Blasio, F.M. EEG differences between eyes-closed and eyes-open resting remain in healthy ageing. Biol. Psychol. 2017, 129, 293–304. [Google Scholar] [CrossRef]
- Klimesch, W.; Sauseng, P.; Hanslmayr, S. EEG alpha oscillations: The inhibition–timing hypothesis. Brain Res. Rev. 2007, 53, 63–88. [Google Scholar] [CrossRef] [PubMed]
- Ocklenburg, S.; Mundorf, A.; Gerrits, R.; Karlsson, E.M.; Papadatou-Pastou, M.; Vingerhoets, G. Clinical implications of brain asymmetries. Nat. Rev. Neurol. 2024, 20, 383–394. [Google Scholar] [CrossRef]
- Tsilosani, A.; Chan, K.; Steffens, A.; Bolton, T.B.; Kowalczyk, W.J. Problematic social media use is associated with depression and similar to behavioral addictions: Physiological and behavioral evidence. Addict. Behav. 2023, 145, 107781. [Google Scholar] [CrossRef]
- Yan, X.; Gao, W.; Yang, J.; Yuan, J. Emotion Regulation Choice in Internet Addiction: Less Reappraisal, Lower Frontal Alpha Asymmetry. Clin. EEG Neurosci. 2022, 53, 278–286. [Google Scholar] [CrossRef]
- Bush, G. Cingulate, Frontal and Parietal Cortical Dysfunction in Attention-Deficit/Hyperactivity Disorder. Biol. Psychiatry 2011, 69, 1160–1167. [Google Scholar] [CrossRef] [PubMed]
- Metzen, D.; Genç, E.; Getzmann, S.; Larra, M.F.; Wascher, E.; Ocklenburg, S. Frontal and parietal EEG alpha asymmetry: A large-scale investigation of short-term reliability on distinct EEG systems. Anat. Embryol. 2022, 227, 725–740. [Google Scholar] [CrossRef] [PubMed]
- Wang, H.; Mou, S.; Pei, X.; Zhang, X.; Shen, S.; Zhang, J.; Shen, X.; Shen, Z. The power spectrum and functional connectivity characteristics of resting-state EEG in patients with generalized anxiety disorder. Sci. Rep. 2025, 15, 5991. [Google Scholar] [CrossRef]
- Simkute, D.; Tarailis, P.; Pipinis, E.; Griskova-Bulanova, I. Assessing the Spectrum of Internet Use in a Healthy Sample: Altered Psychological States and Intact Brain Responses to an Equiprobable Go/NoGo Task. Behav. Sci. 2025, 15, 579. [Google Scholar] [CrossRef]
- Koronczai, B.; Urbán, R.; Kökönyei, G.; Paksi, B.; Papp, K.; Kun, B.; Arnold, P.; Kállai, J.; Demetrovics, Z. Confirmation of the Three-Factor Model of Problematic Internet Use on Off-Line Adolescent and Adult Samples. Cyberpsychol. Behav. Soc. Netw. 2011, 14, 657–664. [Google Scholar] [CrossRef]
- Demetrovics, Z.; Szeredi, B.; Rózsa, S. The three-factor model of Internet addiction: The development of the Problematic Internet Use Questionnaire. Behav. Res. Methods 2008, 40, 563–574. [Google Scholar] [CrossRef]
- Beck, A.T.; Epstein, N.; Brown, G.; Steer, R.A. An inventory for measuring clinical anxiety: Psychometric properties. J. Consult. Clin. Psychol. 1988, 56, 893–897. [Google Scholar] [CrossRef]
- Beck, A.T.; Steer, R.A.; Brown, G.K. BDI-II: Beck Depression Inventory Manual, 2nd ed.; Psychological Corporation: San Antonio, TX, USA, 1996. [Google Scholar]
- García-Batista, Z.E.; Guerra-Peña, K.; Cano-Vindel, A.; Herrera-Martínez, S.X.; Medrano, L.A. Validity and reliability of the Beck Depression Inventory (BDI-II) in general and hospital population of Dominican Republic. PLoS ONE 2018, 13, e0199750. [Google Scholar] [CrossRef]
- Wang, Y.-P.; Gorenstein, C. Assessment of depression in medical patients: A systematic review of the utility of the Beck Depression Inventory-II. Clinics 2013, 68, 1274–1287. [Google Scholar] [CrossRef]
- Clark, D.A.; Antony, M.M.; Beck, A.T.; Swinson, R.P.; Steer, R.A. Screening for Obsessive and Compulsive Symptoms: Validation of the Clark-Beck Obsessive-Compulsive Inventory. Psychol. Assess. 2005, 17, 132–143. [Google Scholar] [CrossRef] [PubMed]
- Allen, J.J.; Coan, J.A.; Nazarian, M. Issues and assumptions on the road from raw signals to metrics of frontal EEG asymmetry in emotion. Biol. Psychol. 2004, 67, 183–218. [Google Scholar] [CrossRef]
- Delorme, A.; Makeig, S. EEGLAB: An open source toolbox for analysis of single-trial EEG dynamics including independent component analysis. J. Neurosci. Methods 2004, 134, 9–21. [Google Scholar] [CrossRef]
- Perrin, F.; Pernier, J.; Bertrand, O.; Echallier, J. Spherical splines for scalp potential and current density mapping. Electroencephalogr. Clin. Neurophysiol. 1989, 72, 184–187. [Google Scholar] [CrossRef] [PubMed]
- Benjamini, Y.; Hochberg, Y. Controlling the False Discovery Rate: A Practical and Powerful Approach to Multiple Testing. J. R. Stat. Soc. Ser. B Methodol. 1995, 57, 289–300. [Google Scholar] [CrossRef]
- Wang, L.; Shen, H.; Lei, Y.; Zeng, L.-L.; Cao, F.; Su, L.; Yang, Z.; Yao, S.; Hu, D. Altered default mode, fronto-parietal and salience networks in adolescents with Internet addiction. Addict. Behav. 2017, 70, 1–6. [Google Scholar] [CrossRef] [PubMed]
- Xu, J.; Shen, L.; Fei, H.; Zhou, W.; Wan, F.; Nan, W. Effect of excessive internet gaming on inhibitory control based on resting EEG and ERP. iScience 2024, 27, 110399. [Google Scholar] [CrossRef]
- Barry, R.J.; Clarke, A.R.; Johnstone, S.J.; Magee, C.A.; Rushby, J.A. EEG differences between eyes-closed and eyes-open resting conditions. Clin. Neurophysiol. 2007, 118, 2765–2773. [Google Scholar] [CrossRef] [PubMed]
- Gómez-Ramírez, J.; Freedman, S.; Mateos, D.; Velázquez, J.L.P.; Valiante, T.A. Exploring the alpha desynchronization hypothesis in resting state networks with intracranial electroencephalography and wiring cost estimates. Sci. Rep. 2017, 7, 15670. [Google Scholar] [CrossRef] [PubMed]
- Liu, J.; Shang, C.; Zhang, Q. Alpha desynchronization during the filtering initiation phase reflects active processing of distractors. Int. J. Psychophysiol. 2024, 199, 112341. [Google Scholar] [CrossRef]
- Niedermeyer, E.; da Silva, F.L. Niedermeyer’s Electroencephalography: Basic Principles, Clinical Applications, and Related Fields; Lippincott Williams & Wilkins: Philadelphia, PA, USA, 2005; Available online: https://www.wolterskluwer.com/en/solutions/ovid/niedermeyers-electroencephalography-basic-principles-clinical-applications-and-related-fields-8611 (accessed on 5 June 2025).
- Tseng, Y.-L.; Su, Y.-K.; Chou, W.-J.; Miyakoshi, M.; Tsai, C.-S.; Li, C.-J.; Lee, S.-Y.; Wang, L.-J. Neural Network Dynamics and Brain Oscillations Underlying Aberrant Inhibitory Control in Internet Addiction. IEEE Trans. Neural Syst. Rehabil. Eng. 2024, 32, 946–955. [Google Scholar] [CrossRef]
- Davidson, R.J. Anterior cerebral asymmetry and the nature of emotion. Brain Cogn. 1992, 20, 125–151. [Google Scholar] [CrossRef]
- de Vries, L.P.; van de Weijer, M.P.; Bartels, M. A systematic review of the neural correlates of well-being reveals no consistent associations. Neurosci. Biobehav. Rev. 2023, 145, 105036. [Google Scholar] [CrossRef]
- Kelley, N.J.; Hortensius, R.; Schutter, D.J.; Harmon-Jones, E. The relationship of approach/avoidance motivation and asymmetric frontal cortical activity: A review of studies manipulating frontal asymmetry. Int. J. Psychophysiol. 2017, 119, 19–30. [Google Scholar] [CrossRef] [PubMed]
- Heller, W.; Nitschke, J.B.; Etienne, M.A.; Miller, G.A. Patterns of regional brain activity differentiate types of anxiety. J. Abnorm. Psychol. 1997, 106, 376–385. [Google Scholar] [CrossRef]
- Metzger, L.J.; Paige, S.R.; Carson, M.A.; Lasko, N.B.; Paulus, L.A.; Pitman, R.K.; Orr, S.P. PTSD Arousal and Depression Symptoms Associated with Increased Right-Sided Parietal EEG Asymmetry. J. Abnorm. Psychol. 2004, 113, 324–329. [Google Scholar] [CrossRef]
- Umemoto, A.; Panier, L.Y.; Cole, S.L.; Kayser, J.; Pizzagalli, D.A.; Auerbach, R.P. Resting Posterior Alpha Power and Adolescent Major Depressive Disorder. J. Psychiatr. Res. 2021, 141, 233–240. [Google Scholar] [CrossRef]
- Schiltz, H.K.; McVey, A.J.; Barrington, A.; Haendel, A.D.; Dolan, B.K.; Willar, K.S.; Pleiss, S.; Karst, J.S.; Vogt, E.; Murphy, C.C.; et al. Behavioral inhibition and activation as a modifier process in autism spectrum disorder: Examination of self-reported BIS/BAS and alpha EEG asymmetry. Autism Res. 2018, 11, 1653–1666. [Google Scholar] [CrossRef]
- Baik, S.Y.; Kim, C.; Kim, S.; Yook, D.-W.; Kim, H.S.; Chang, H.; Lee, S.-H. The moderating effect of heart rate variability on the relationship between alpha asymmetry and depressive symptoms. Heliyon 2019, 5, e01290. [Google Scholar] [CrossRef]
- Blackhart, G.C.; Minnix, J.A.; Kline, J.P. Can EEG asymmetry patterns predict future development of anxiety and depression? A preliminary study. Biol. Psychol. 2006, 72, 46–50. [Google Scholar] [CrossRef]
- Kan, D.P.X.; Croarkin, P.E.; Phang, C.K.; Lee, P.F. EEG Differences Between Eyes-Closed and Eyes-Open Conditions at the Resting Stage for Euthymic Participants. Neurophysiology 2017, 49, 432–440. [Google Scholar] [CrossRef]
- Yan, C.; Liu, D.; He, Y.; Zou, Q.; Zhu, C.; Zuo, X.; Long, X.; Zang, Y. Spontaneous Brain Activity in the Default Mode Network Is Sensitive to Different Resting-State Conditions with Limited Cognitive Load. PLoS ONE 2009, 4, e5743. [Google Scholar] [CrossRef]
- Chang, M.L.Y.; Lee, I.O. Functional connectivity changes in the brain of adolescents with internet addiction: A systematic literature review of imaging studies. PLOS Ment. Health 2024, 1, e0000022. [Google Scholar] [CrossRef]
- Grimshaw, G.M.; Foster, J.J.; Corballis, P.M. Frontal and parietal EEG asymmetries interact to predict attentional bias to threat. Brain Cogn. 2014, 90, 76–86. [Google Scholar] [CrossRef] [PubMed]
- Ophir, E.; Nass, C.; Wagner, A.D. Cognitive control in media multitaskers. Proc. Natl. Acad. Sci. USA 2009, 106, 15583–15587. [Google Scholar] [CrossRef] [PubMed]
- Foxe, J.J.; Snyder, A.C. The Role of Alpha-Band Brain Oscillations as a Sensory Suppression Mechanism During Selective Attention. Front. Psychol. 2011, 2, 154. Available online: https://www.frontiersin.org/journals/psychology/articles/10.3389/fpsyg.2011.00154/full (accessed on 21 May 2025). [CrossRef]
- D’hOndt, F.; Billieux, J.; Maurage, P. Electrophysiological correlates of problematic Internet use: Critical review and perspectives for future research. Neurosci. Biobehav. Rev. 2015, 59, 64–82. [Google Scholar] [CrossRef] [PubMed]
- Firth, J.; Torous, J.; Stubbs, B.; Firth, J.A.; Steiner, G.Z.; Smith, L.; Alvarez-Jimenez, M.; Gleeson, J.; Vancampfort, D.; Armitage, C.J.; et al. The “online brain”: How the Internet may be changing our cognition. World Psychiatry 2019, 18, 119–129. [Google Scholar] [CrossRef]
- Marcu, G.M.; Szekely-Copîndean, R.D.; Radu, A.-M.; Bucuță, M.D.; Fleacă, R.S.; Tănăsescu, C.; Roman, M.D.; Boicean, A.; Băcilă, C.I. Resting-state frontal, frontlateral, and parietal alpha asymmetry:A pilot study examining relations with depressive disorder type and severity. Front. Psychol. 2023, 14, 1087081. [Google Scholar] [CrossRef]
- Mitchell, A.M.; Pössel, P. Frontal brain activity pattern predicts depression in adolescent boys. Biol. Psychol. 2012, 89, 525–527. [Google Scholar] [CrossRef] [PubMed]
- Pössel, P.; Lo, H.; Fritz, A.; Seemann, S. A longitudinal study of cortical EEG activity in adolescents. Biol. Psychol. 2008, 78, 173–178. [Google Scholar] [CrossRef] [PubMed]
- Schneider, M.; Chau, L.; Mohamadpour, M.; Stephens, N.; Arya, K.; Grant, A. EEG asymmetry and BIS/BAS among healthy adolescents. Biol. Psychol. 2016, 120, 142–148. [Google Scholar] [CrossRef] [PubMed]



| Variable | Valid (n) | Mean | SD | Range (Min–Max) |
|---|---|---|---|---|
| PIUQ-9 | 129 | 19.39 | 5.2 | 10–36 |
| BAI | 128 | 31.78 | 7.39 | 21–57 |
| BDI | 125 | 10.37 | 8.77 | 0–48 |
| CBOCI | 128 | 19.59 | 11.72 | 0–56 |
| CBOCI_obsessions | 128 | 11.84 | 6.73 | 0–33 |
| CBOCI_compulsions | 129 | 7.8 | 6.12 | 0–30 |
| Variable | n | Mean ± SD | Variable | n | Mean ± SD | Variable | n | Mean ± SD |
|---|---|---|---|---|---|---|---|---|
| Alpha frequency (μV2) | Alpha asymmetry (EO) | Alpha asymmetry (EC) | ||||||
| EO_frontal | 128 | 0.52 ± 0.39 | F3/F4 | 125 | −0.03 ± 0.24 | F3/F4 | 128 | −0.05 ± 0.19 |
| EO_parietal | 128 | 0.72 ± 0.58 | F7/F8 | 124 | −0.05 ± 0.50 | F7/F8 | 128 | −0.06 ± 0.43 |
| EC_frontal | 129 | 1.71 ± 1.30 | P3/P4 | 122 | 0.19 ± 0.40 | P3/P4 | 123 | 0.33 ± 0.48 |
| EC_parietal | 129 | 3.05 ± 2.34 | P7/P8 | 120 | 0.13 ± 0.41 | P7/P8 | 121 | 0.33 ± 0.55 |
| Variable | Eyes Open | Eyes Closed | |
|---|---|---|---|
| F3/F4 | Spearman’s rho | 0.096 | −0.038 |
| p-value | 0.286 | 0.668 | |
| n | 125 | 128 | |
| F7/F8 | Spearman’s rho | 0.019 | −0.022 |
| p-value | 0.834 | 0.805 | |
| n | 124 | 128 | |
| P3/P4 | Spearman’s rho | 0.317 * | 0.128 |
| p-value | <0.001 | 0.159 | |
| n | 122 | 123 | |
| P7/P8 | Spearman’s rho | 0.19 | 0.176 |
| p-value | 0.038 | 0.053 | |
| n | 120 | 121 |
| Variable | U | p | Effect Size | SE Effect Size |
|---|---|---|---|---|
| PIUQ-9 | 1188 | <0.001 * | 1 | 0.139 |
| BAI | 860 | <0.001 * | 0.489 | 0.14 |
| BDI | 748.5 | 0.018 * | 0.337 | 0.141 |
| CBOCI | 923.5 | <0.001 * | 0.555 | 0.139 |
| CBOCI obsessions | 882 | <0.001 * | 0.485 | 0.139 |
| CBOCI compulsions | 893.5 | <0.001 * | 0.504 | 0.139 |
| Variable | U | p | Effect Size | SE Effect Size |
|---|---|---|---|---|
| EO_frontal | 376 | 0.008 * | −0.367 | 0.139 |
| EO_parietal | 428 | 0.046 * | −0.279 | 0.139 |
| EC_frontal | 373 | 0.008 * | −0.372 | 0.139 |
| EC_parietal | 430 | 0.049 * | −0.276 | 0.139 |
| Variable | U | p | Effect Size | SE Effect Size |
|---|---|---|---|---|
| Eyes Open | ||||
| F3/F4 | 674 | 0.241 | 0.167 | 0.14 |
| F7/F8 | 534 | 0.6 | −0.075 | 0.14 |
| P3/P4 | 801 | 0.002 * | 0.428 | 0.141 |
| P7/P8 | 704 | 0.021 | 0.333 | 0.143 |
| Eyes Closed | ||||
| F3/F4 | 575 | 0.825 | −0.032 | 0.139 |
| F7/F8 | 524 | 0.406 | −0.118 | 0.139 |
| P3/P4 | 644 | 0.409 | 0.118 | 0.14 |
| P7/P8 | 640 | 0.144 | 0.212 | 0.143 |
Disclaimer/Publisher’s Note: The statements, opinions and data contained in all publications are solely those of the individual author(s) and contributor(s) and not of MDPI and/or the editor(s). MDPI and/or the editor(s) disclaim responsibility for any injury to people or property resulting from any ideas, methods, instructions or products referred to in the content. |
© 2025 by the authors. Licensee MDPI, Basel, Switzerland. This article is an open access article distributed under the terms and conditions of the Creative Commons Attribution (CC BY) license (https://creativecommons.org/licenses/by/4.0/).
Share and Cite
Simkute, D.; Tarailis, P.; Griskova-Bulanova, I. Parietal Alpha Asymmetry as a Correlate of Internet Use Severity in Healthy Adults. Brain Sci. 2025, 15, 1207. https://doi.org/10.3390/brainsci15111207
Simkute D, Tarailis P, Griskova-Bulanova I. Parietal Alpha Asymmetry as a Correlate of Internet Use Severity in Healthy Adults. Brain Sciences. 2025; 15(11):1207. https://doi.org/10.3390/brainsci15111207
Chicago/Turabian StyleSimkute, Dovile, Povilas Tarailis, and Inga Griskova-Bulanova. 2025. "Parietal Alpha Asymmetry as a Correlate of Internet Use Severity in Healthy Adults" Brain Sciences 15, no. 11: 1207. https://doi.org/10.3390/brainsci15111207
APA StyleSimkute, D., Tarailis, P., & Griskova-Bulanova, I. (2025). Parietal Alpha Asymmetry as a Correlate of Internet Use Severity in Healthy Adults. Brain Sciences, 15(11), 1207. https://doi.org/10.3390/brainsci15111207

