Sign in to use this feature.

Years

Between: -

Subjects

remove_circle_outline
remove_circle_outline
remove_circle_outline
remove_circle_outline
remove_circle_outline
remove_circle_outline
remove_circle_outline
remove_circle_outline
remove_circle_outline

Journals

Article Types

Countries / Regions

remove_circle_outline
remove_circle_outline
remove_circle_outline
remove_circle_outline
remove_circle_outline
remove_circle_outline

Search Results (257)

Search Parameters:
Keywords = problematic internet use

Order results
Result details
Results per page
Select all
Export citation of selected articles as:
16 pages, 309 KB  
Article
Psychosocial Variables Related to Problematic Internet Use Among Adolescents
by Esther Fernández-García, Sofía Buelga and María-Jesús Cava
Adolescents 2026, 6(1), 12; https://doi.org/10.3390/adolescents6010012 - 16 Jan 2026
Viewed by 150
Abstract
Problematic Internet use is a major health issue among adolescents, underscoring the need for further research on the variables related to this dysfunctional usage pattern. This study examined the predictive capacity of four indicators of psychosocial adjustment (depressed mood, perceived stress, loneliness, and [...] Read more.
Problematic Internet use is a major health issue among adolescents, underscoring the need for further research on the variables related to this dysfunctional usage pattern. This study examined the predictive capacity of four indicators of psychosocial adjustment (depressed mood, perceived stress, loneliness, and life satisfaction) for different dimensions of problematic Internet use (preference for online social interaction, Internet use for mood regulation, deficient self-regulation of Internet use, and negative consequences) in male and female adolescents. A sample of 628 adolescents, aged 12 to 18 years (M age = 14.11; SD = 1.52), participated. The results indicated that all dimensions of problematic Internet use were positively correlated with depressive mood, perceived stress, and loneliness, and negatively correlated with life satisfaction. However, notable differences emerged in how these psychosocial variables related to the four PIU dimensions. Loneliness and life satisfaction showed the strongest and most consistent associations. Loneliness predicted Internet use for mood regulation in both males and females and, additionally, predicted preference for online social interaction and negative consequences among males. Life satisfaction was a significant negative predictor of three PIU dimensions among females. Perceived stress stood out as the only predictor of deficient self-regulation in males and females. Finally, depressive mood predicted only the Internet-use-for-mood-regulation dimension among males. These findings may be useful for developing intervention programs aimed at reducing problematic Internet use among adolescents. Full article
(This article belongs to the Section Adolescent Health and Mental Health)
12 pages, 256 KB  
Article
Profiles Vulnerable to Maladaptive Use of Recreational Digital Environments Identified Using the Big Five Model
by Bárbara Caffarel-Rodríguez, Andrés González Llamas and Elena Porras-García
Behav. Sci. 2025, 15(12), 1749; https://doi.org/10.3390/bs15121749 - 18 Dec 2025
Viewed by 285
Abstract
The Big Five Model has been widely applied across various areas for detecting problematic or even antisocial behaviors. This research explores its potential to identify behavior patterns and usage profiles in digital environments, such as social media use, digital gaming, and related activities. [...] Read more.
The Big Five Model has been widely applied across various areas for detecting problematic or even antisocial behaviors. This research explores its potential to identify behavior patterns and usage profiles in digital environments, such as social media use, digital gaming, and related activities. This study first conducted a literature review on mobile phone use, video game addiction, and social media overuse through the lens of the Big Five Model. Then, empirical data from 492 participants were analyzed to assess how each personality trait is associated with exposure to excessive internet use. The results shown that individuals with high openness and extraversion are more likely to engage intensively with social media and online entertainment, whereas those with higher levels of neuroticism, agreeableness, or conscientiousness display lower exposure. These findings align with previous research linking personality traits to neuroanatomical patterns that shape behavioral tendencies. This study suggests that specific personality traits, as defined by the Big Five Model, influence the use of digital media and advertising channels, potentially fostering addictive behaviors in users with higher openness and extraversion. Full article
(This article belongs to the Section Cognition)
12 pages, 258 KB  
Article
Problematic Internet Use and Psychological Distress in High School Students
by Irati Becerril-Atxikallende, Joana Jaureguizar and Nuria Galende
Healthcare 2025, 13(24), 3231; https://doi.org/10.3390/healthcare13243231 - 10 Dec 2025
Viewed by 669
Abstract
Background/Objectives: The frequent and uncontrolled use of digital devices has resulted in phenomena such as technological addiction and problematic ICT use, especially after the pandemic. This has been associated with several factors related to psychological distress in young adults, but less is [...] Read more.
Background/Objectives: The frequent and uncontrolled use of digital devices has resulted in phenomena such as technological addiction and problematic ICT use, especially after the pandemic. This has been associated with several factors related to psychological distress in young adults, but less is known about the subject in adolescents. Thus, the aim of this study is to analyze the relationship between problematic Internet use and psychological distress factors in high school students and examine whether these variables differed when gender and academic grade level were considered. Methods: A quantitative, cross-sectional, and descriptive–correlational study was employed. A total of 2048 students from the Basque Country, aged between 11 and 17 years old, completed an online self-report questionnaire composed of demographics and ad hoc items, the Problematic Internet Use Scale (PIUS), and selected subscales from the Child and Adolescent Assessment System (anxiety, social anxiety, and depression). Descriptive statistics, Pearson correlation analyses, independent-sample ANOVA, Bonferroni post hoc tests, and independent-sample t tests were conducted. Results: Even though no differences were found between males and females when PIUS was analyzed, significant differences were found between students from different academic grade levels, whereby those from higher levels presented higher rates of problematic Internet use. Significant correlations were found between PIUS and depression, anxiety, and social anxiety. Furthermore, those who showed more problematic Internet use also presented higher anxiety, social anxiety, and depression levels. Conclusions: Adolescents in higher grade levels tend to exhibit a higher incidence of problematic Internet use. Consequently, intensive and uncontrolled Internet usage has been linked to poorer mental health. The findings underline the importance of promoting digital literacy among adolescents. These results highlight the importance of approaching psychological distress through prevention initiatives and emphasize the protective role that both schools and families play in promoting healthier and more balanced Internet use among adolescents. Full article
(This article belongs to the Special Issue The Relationship of Social Media and Cyberbullying with Mental Health)
16 pages, 1393 KB  
Article
Childhood Trauma and Problematic Smartphone Use Among College Students: The Mediating Roles of Rumination and Social Anxiety
by Caixia Deng, Jingxing Liu, Xiaoqian Wu, Xiaoya Wang, Zhiying Zheng, Wei Zhang and Hongyu Zou
Behav. Sci. 2025, 15(12), 1676; https://doi.org/10.3390/bs15121676 - 3 Dec 2025
Viewed by 831
Abstract
Problematic smartphone use (PSU) has become a growing concern among young populations, raising significant issues for their physical and psychological well-being. Guided by Compensatory Internet Use Theory and the Interaction of Person–Affect–Cognition–Execution (I-PACE) model, this study examined the associations between different forms of [...] Read more.
Problematic smartphone use (PSU) has become a growing concern among young populations, raising significant issues for their physical and psychological well-being. Guided by Compensatory Internet Use Theory and the Interaction of Person–Affect–Cognition–Execution (I-PACE) model, this study examined the associations between different forms of childhood trauma and PSU. Participants were 2717 college students (661 males, 22.49%; Mage = 19.81 years). Two chain mediation models were tested, and latent profile analysis (LPA) was employed to capture individual differences from a person-centred perspective. LPA revealed three distinct trauma profiles: low childhood trauma, moderate childhood abuse, and high childhood abuse. Across both variable-centred and person-centred ap-proaches, rumination and social anxiety were identified as mediators linking childhood trauma to PSU. These findings advance understanding of the pathways through which childhood trauma contributes to PSU in college students. By integrating variable- and person-centred approaches, the study highlights the importance of cognitive–emotional mechanisms and provides implications for targeted prevention and intervention strategies. Full article
(This article belongs to the Section Social Psychology)
Show Figures

Figure 1

21 pages, 1247 KB  
Article
PriFed-IDS: A Privacy-Preserving Federated Reinforcement Learning Framework for Secure and Intelligent Intrusion Detection in Digital Health Systems
by Siyao Fu, Haoyu Xu, Asif Ali and Saba Sajid
Electronics 2025, 14(23), 4590; https://doi.org/10.3390/electronics14234590 - 23 Nov 2025
Viewed by 570
Abstract
The Internet of Medical Things (IoMT) integrates sensors, medical devices, and Internet of Things (IoT) technologies to provide data-driven healthcare systems. The systems facilitate medical monitoring and decision-making; however, there are significant concerns about data leakage and patient consent. Additionally, a shortage of [...] Read more.
The Internet of Medical Things (IoMT) integrates sensors, medical devices, and Internet of Things (IoT) technologies to provide data-driven healthcare systems. The systems facilitate medical monitoring and decision-making; however, there are significant concerns about data leakage and patient consent. Additionally, a shortage of large, high-quality IoMT datasets to study the surrounding issues is problematic. Federated learning (FL) is a decentralized machine learning approach that potentially offers substantial amounts of capacity, so that compound Smart Healthcare Systems (SHSs) can further personalize and contextualize the secrecy of data and strong system structures. Additionally, to protect against advanced and shifting computational intelligence-based cyber threats, especially in operational health environments, the use of Intruder Detection Systems (IDSs) is quite essential. However, traditional approaches to implementing IDSs are usually computationally costly and inappropriate for the narrow contours of deploying medical IoT devices. To address these challenges, the proposed study introduces PriFed-IDS, a novel, privacy-preserving FL-based IDS framework based on FL and reinforcement learning. The proposed model leverages reinforcement learning to uncover latent patterns in medical data, enabling accurate anomaly detection. A dynamic federation and aggregation strategy is implemented to optimize model performance while minimizing communication overhead by adaptively engaging clients in the training process. Experimental evaluations and theoretical analysis demonstrate that PriFed-IDS significantly outperforms existing benchmark IDS models in terms of detection accuracy and efficiency, underscoring its practical applicability for securing real-world IoMT networks. Full article
Show Figures

Figure 1

32 pages, 679 KB  
Article
Governing Addictive Design Features in AI-Driven Platforms: Regulatory Challenges and Pathways for Protecting Adolescent Digital Wellbeing in China
by Yu Yao and Fei Yang
Youth 2025, 5(4), 122; https://doi.org/10.3390/youth5040122 - 21 Nov 2025
Viewed by 2567
Abstract
Chinese adolescents face significant mental health risks from addictive design features embedded in AI-driven digital platforms. Existing regulations inadequately address design-level addiction triggers in these environments, focusing primarily on content moderation and usage restrictions. This study identifies this gap and offers a novel [...] Read more.
Chinese adolescents face significant mental health risks from addictive design features embedded in AI-driven digital platforms. Existing regulations inadequately address design-level addiction triggers in these environments, focusing primarily on content moderation and usage restrictions. This study identifies this gap and offers a novel framework that integrates systems theory and legal governance to regulate feedback loops between adolescents and digital platforms. Using the Adaptive Interaction Design Framework and a three-tiered typology of addictive design features, the research highlights how conceptual ambiguity and institutional fragmentation weaken regulatory efforts, resulting in reactive responses instead of proactive protection. To enhance regulatory effectiveness, this study recommends establishing a risk-tiered precautionary oversight system, providing enforceable definitions of addictive design features, mandating anti-addiction design practices and labeling, implementing economic measures like Pigouvian taxes, and fostering multi-stakeholder governance. It also emphasizes the need for cross-border coordination to address regulatory arbitrage. These policy directions aim to enhance regulatory efficacy and protect youth well-being in digital environments, contributing to ongoing international discussions on adolescent digital safety. Full article
Show Figures

Figure 1

19 pages, 797 KB  
Article
Problematic Internet Use in Adolescents Is Driven by Internal Distress Rather Than Family or Socioeconomic Contexts: Evidence from South Tyrol, Italy
by Christian J. Wiedermann, Verena Barbieri, Giuliano Piccoliori and Adolf Engl
Behav. Sci. 2025, 15(11), 1534; https://doi.org/10.3390/bs15111534 - 11 Nov 2025
Cited by 2 | Viewed by 782
Abstract
Problematic Internet use is an emerging concern in adolescent mental health and is closely linked to psychological distress and emotional regulation. This cross-sectional study analyzed self-reported data from 1550 adolescents aged 11–19 years in South Tyrol, a linguistically and culturally diverse region in [...] Read more.
Problematic Internet use is an emerging concern in adolescent mental health and is closely linked to psychological distress and emotional regulation. This cross-sectional study analyzed self-reported data from 1550 adolescents aged 11–19 years in South Tyrol, a linguistically and culturally diverse region in Northern Italy. Problematic Internet use was measured using the validated Generalized Problematic Internet Use Scale 2 (GPIUS-2), along with standardized instruments for depressive symptoms (PHQ-2) and anxiety (SCARED-GAD). Multivariable regression analysis revealed that depression and anxiety symptoms were the strongest independent predictors of higher GPIUS-2 scores. In contrast, demographic factors such as gender, family language, urbanization, migration background, and parental education were not significantly associated with PIU. Modest associations were observed between GPIUS-2 scores and both perceived economic burden and parental use of digital control tools. Perceived family support showed a small protective effect. These findings underscore the central role of emotional vulnerability in adolescent PIU and suggest that interventions should focus on supporting mental health and adaptive coping rather than solely targeting screen time or structural family characteristics. Full article
Show Figures

Graphical abstract

20 pages, 1410 KB  
Article
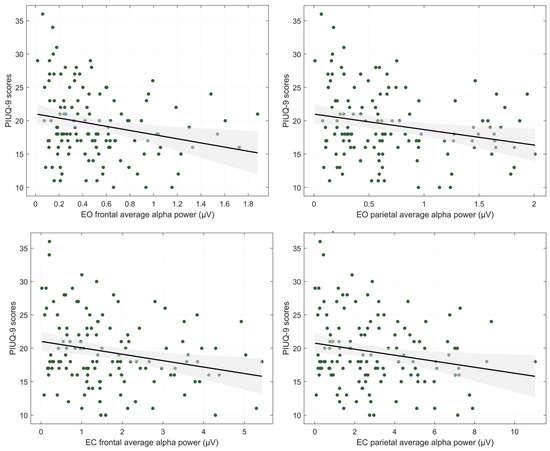
Parietal Alpha Asymmetry as a Correlate of Internet Use Severity in Healthy Adults
by Dovile Simkute, Povilas Tarailis and Inga Griskova-Bulanova
Brain Sci. 2025, 15(11), 1207; https://doi.org/10.3390/brainsci15111207 - 8 Nov 2025
Viewed by 566
Abstract
Background: Problematic Internet Use (PIU) is associated with emotional and cognitive dysregulation, yet its neural correlates, particularly in non-clinical populations, remain poorly understood. This study investigated association of the resting-state alpha asymmetry and desynchronization with psychological correlates of internet use within healthy [...] Read more.
Background: Problematic Internet Use (PIU) is associated with emotional and cognitive dysregulation, yet its neural correlates, particularly in non-clinical populations, remain poorly understood. This study investigated association of the resting-state alpha asymmetry and desynchronization with psychological correlates of internet use within healthy regular internet users. Methods: A total of 129 participants (49 males, aged 18–35) were assessed using the Nine-Item Problematic Internet Use Questionnaire (PIUQ 9), alongside measures of anxiety, depression, and obsessive–compulsive symptoms. Resting-state EEG was recorded across Eyes Open (EO) and Eyes Closed (EC) conditions, with frontal and parietal alpha asymmetry and desynchronization indices analyzed in relation to internet use severity (Spearman rank correlations with non-parametric bootstrapping, 5000 replicates; FDR-corrected). For further analysis, participants with the lowest (n = 36) and highest (n = 33) PIUQ-9 scores were classified as low and high PIU groups, respectively, and their neurophysiological profiles were compared (Mann–Whitney U tests). Results: Higher internet use severity was associated with greater right parietal alpha power during EO condition, indicating greater left hemisphere parietal activity among individuals with higher internet engagement. Individuals with higher internet use severity also exhibited reduced absolute frontal and parietal alpha power, while alpha desynchronization was not associated with PIU severity or psychological symptoms. Conclusions: These findings suggest that posterior asymmetry patterns may serve as a neurophysiological correlate of PIU in non-clinical populations, warranting further investigation in future research. Full article
(This article belongs to the Section Neurotechnology and Neuroimaging)
Show Figures

Figure 1

19 pages, 999 KB  
Systematic Review
Effectiveness of Psychological Treatments for Problematic Use of Internet, Video Games, Social Media and Instant Messaging: A Systematic Review and Meta-Analysis
by Mateo Pérez-Wiesner, Kora-Mareen Bühler, José Antonio López-Moreno and Maria Dolores López-Salmerón
Int. J. Environ. Res. Public Health 2025, 22(10), 1598; https://doi.org/10.3390/ijerph22101598 - 21 Oct 2025
Viewed by 5011
Abstract
Adolescence is a developmental stage characterized by increased vulnerability to technology use. Several models have been proposed to explain the psychological processes involved in addictive use. In response to this evidence, therapeutic and preventive intervention programs aim to reduce key symptoms in order [...] Read more.
Adolescence is a developmental stage characterized by increased vulnerability to technology use. Several models have been proposed to explain the psychological processes involved in addictive use. In response to this evidence, therapeutic and preventive intervention programs aim to reduce key symptoms in order to promote health and protect adolescents. This study presents a systematic review and meta-analysis on the effectiveness of psychological therapeutic and preventive interventions for problematic use of Information and Communication Technologies (ICTs) in adolescents (aged 10–21). A total of nine studies (five RCTs and four non-RCTs) with 744 participants were analyzed. The search was conducted following PRISMA guidelines and using the PICO framework. Included studies involved face-to-face or online psychological therapeutic and preventive interventions targeting adolescents, with a particular focus on cognitive behavioral therapy (CBT). Results indicate significant effects in favor of the experimental group in reducing symptoms associated with Internet, video game, social media, and instant messaging addiction, with pooled effect sizes of SMD = −1.53 (RCTs) and SMD = −1.13 (non-RCTs). Despite heterogeneity and potential publication bias, the evidence supports the effectiveness of these interventions, particularly CBT, family therapy, and executive function training. A multidisciplinary approach, early detection, and treatment personalization are recommended. Methodological limitations were identified, highlighting the need for more rigorous future research with attention to gender differences and cultural adaptation. Full article
(This article belongs to the Section Behavioral and Mental Health)
Show Figures

Figure 1

14 pages, 826 KB  
Article
The Impact of Prolonged Stress of COVID-19 Pandemic and Earthquakes on Internet-Based Addictive Behaviour and Quality of Life in Croatia
by Zrnka Kovačić Petrović, Tina Peraica, Mirta Blažev and Dragica Kozarić-Kovačić
Int. J. Environ. Res. Public Health 2025, 22(10), 1587; https://doi.org/10.3390/ijerph22101587 - 19 Oct 2025
Viewed by 580
Abstract
Prolonged stress caused by the COVID-19 pandemic and two concurrent earthquakes in 2020 increased Internet-based addictive behaviour, leading to decrease in mental health and quality of life (QoL) in the adult Croatian population. This study examined the association between Internet-based addictive behaviour and [...] Read more.
Prolonged stress caused by the COVID-19 pandemic and two concurrent earthquakes in 2020 increased Internet-based addictive behaviour, leading to decrease in mental health and quality of life (QoL) in the adult Croatian population. This study examined the association between Internet-based addictive behaviour and QoL during prolonged stress (pandemic and earthquakes). Specifically, it explored direct associations between QoL domains and overall/specific Internet use, problematic Internet use (PIU), and symptoms of anxiety, depression, and stress, as well as the indirect role of these symptoms in mediating the relationship between PIU and QoL. A cross-sectional online survey was conducted in autumn 2021 with a convenience sample (N = 1004; 82.2% women; M age = 34.98, SD = 12.24). Measures included increased overall and specific Internet use, PIU, stress (Impact of Event Scale), anxiety and depression symptoms (Hospital Anxiety and Depression Scale), and QoL (WHOQoL-BREF). Structural equation modelling showed that increased Internet use and PIU were directly associated with more severe symptoms of depression, anxiety, and stress, and with lower QoL. Significant indirect effects were also found: higher PIU, social media use, online shopping, and pornography viewing predicted greater depression, anxiety, and stress symptoms, which in turn predicted reduced QoL across multiple domains. These findings suggest that problematic and increased Internet use during periods associated with prolonged stress contribute to lower QoL through elevated psychological distress. Full article
(This article belongs to the Special Issue Psychosocial Impact in the Post-pandemic Era)
Show Figures

Figure 1

21 pages, 1542 KB  
Article
Do the Four Components of Psychological Capital Have Differential Buffering Effects? A Longitudinal Study on Parental Neglect and Adolescent Problematic Short-Form Video Use
by Lianpeng An, Xiaopan Xu, Hongwei Li and Qingqi Liu
Behav. Sci. 2025, 15(10), 1396; https://doi.org/10.3390/bs15101396 - 15 Oct 2025
Viewed by 1166
Abstract
The growing prevalence of short-form video applications among adolescents has drawn increased public and scholarly attention to problematic short-form video use. The current longitudinal study gathered data from adolescents aged 12 to 15 across two waves spaced one year apart. A total of [...] Read more.
The growing prevalence of short-form video applications among adolescents has drawn increased public and scholarly attention to problematic short-form video use. The current longitudinal study gathered data from adolescents aged 12 to 15 across two waves spaced one year apart. A total of 665 participants provided reports on parental neglect, problematic short-form video use, psychological capital, and demographic details at Time 1 (T1), and reported again on problematic use at Time 2 (T2). After controlling for gender, age, parental education level, parental work status, family socioeconomic status, only-child status, and T1 problematic short-form video use, T1 parental neglect remained a significant predictor of T2 problematic use. Additionally, T1 self-efficacy, T1 resilience, and T1 hope significantly moderated the relationship between T1 parental neglect and T2 problematic use, whereas T1 optimism did not demonstrate a buffering effect. Specifically, the association between T1 parental neglect and T2 problematic use did not vary significantly between adolescents with high and low levels of optimism. However, the predictive effect was significantly weaker, though still statistically significant, among adolescents with higher self-efficacy and hope. Most notably, among those with higher resilience, the effect of parental neglect became non-significant. The study offers valuable evidence-based insights for preventing and addressing adolescent problematic short-form video use in the mobile internet era. Full article
Show Figures

Figure 1

12 pages, 556 KB  
Article
Difficulty in Attention Switching and Its Neural Basis in Problematic Smartphone Use
by Nanase Kobayashi, Daisuke Jitoku, Toshitaka Hamamura, Masaru Honjo, Yusei Yamaguchi, Masaaki Shimizu, Shunsuke Takagi, Junya Fujino, Genichi Sugihara and Hidehiko Takahashi
Brain Sci. 2025, 15(10), 1100; https://doi.org/10.3390/brainsci15101100 - 13 Oct 2025
Viewed by 1336
Abstract
Background: Problematic smartphone use (PSU) involves excessive smartphone engagement that disrupts daily functioning and is linked to attentional control deficits and altered reward processing. The nucleus accumbens (NAcc), a key structure in the reward system, may contribute to difficulty disengaging from rewarding [...] Read more.
Background: Problematic smartphone use (PSU) involves excessive smartphone engagement that disrupts daily functioning and is linked to attentional control deficits and altered reward processing. The nucleus accumbens (NAcc), a key structure in the reward system, may contribute to difficulty disengaging from rewarding digital content. This study examined relationships between NAcc volume, attentional switching, and objectively measured nighttime screen time in individuals with PSU. Methods: Fifty-three participants (aged ≥ 13 years) from an outpatient internet dependency clinic completed psychological assessments, brain MRI, and smartphone logging. PSU was diagnosed by two psychiatrists. Attentional switching was measured via the Autism Spectrum Quotient subscale. Nighttime screen time (00:00–06:00) was recorded via smartphone. MRI-derived NAcc volumes were normalized to total gray matter volume. Correlations, multiple regression (controlling for ASD and ADHD), and mediation analyses were conducted. Results: Difficulty in attention switching correlated with larger right NAcc volume (r = 0.45, p = 0.012) and increased nighttime screen time (r = 0.44, p = 0.014). Right NAcc volume also correlated with nighttime screen time (r = 0.46, p = 0.012). Regression showed right NAcc volume predicted nighttime screen time (β = 0.33, p = 0.022), whereas attentional switching was not significant. Mediation was unsupported. Sensitivity analyses confirmed associations. Conclusions: Larger right NAcc volume independently predicts prolonged nighttime smartphone use and is associated with impaired attentional switching in PSU. Structural variations in reward-related regions may underlie difficulty disengaging from digital content. Integrating neurobiological, cognitive, and behavioral measures offers a framework for understanding PSU. Full article
Show Figures

Figure 1

22 pages, 854 KB  
Review
Digital Devices Use and Sleep in Adolescents: An Umbrella Review
by Maria Fiore, Desiree Arena, Valentina Crisafi, Vittorio Grieco, Marco Palella, Chiara Timperanza, Antonio Conti, Giuseppe Cuffari and Margherita Ferrante
Int. J. Environ. Res. Public Health 2025, 22(10), 1517; https://doi.org/10.3390/ijerph22101517 - 2 Oct 2025
Viewed by 5785
Abstract
This umbrella review provides a comprehensive synthesis of the available evidence on the relationship between digital device use and adolescent sleep. It summarizes results from systematic reviews and meta-analyses, presenting the magnitude and direction of observed associations. A total of seven systematic reviews, [...] Read more.
This umbrella review provides a comprehensive synthesis of the available evidence on the relationship between digital device use and adolescent sleep. It summarizes results from systematic reviews and meta-analyses, presenting the magnitude and direction of observed associations. A total of seven systematic reviews, including five qualitative reviews and two meta-analyses, were included, comprising 127 primary studies with a combined sample of 867,003 participants. The findings suggest a negative impact of digital device use on various sleep parameters, including sleep duration, bedtime procrastination, and sleep quality. Devices such as smartphones and computers were found to have a greater adverse effect, while television use showed a weaker association. The most significant disruptions were observed in relation to social media and internet use, with problematic usage leading to delayed bedtimes, shorter sleep duration, and increased sleep onset latency. The review also highlights the role of timing and duration of device use, with late-night use particularly contributing to sleep disturbances. Biological, psychological, and social mechanisms are proposed as potential pathways underlying these effects. Despite moderate evidence supporting the negative impact of digital media on sleep, there is considerable heterogeneity across studies, and many relied on self-reported data, which may limit the generalizability of the findings. Future research should aim to standardize exposure and outcome measures, incorporate objective data collection methods, and explore causal relationships through longitudinal studies. This umbrella review underscores the importance of developing targeted public health strategies, parental guidance, and clinical awareness to mitigate the potential adverse effects of digital device use on adolescent sleep and mental health. Full article
Show Figures

Figure 1

16 pages, 828 KB  
Article
Predictors of Problematic Internet Use Among Romanian High School Students
by Brigitte Osser, Csongor Toth, Carmen Delia Nistor-Cseppento, Mariana Cevei, Cristina Aur, Maria Orodan, Roland Fazakas and Laura Ioana Bondar
Children 2025, 12(10), 1292; https://doi.org/10.3390/children12101292 - 24 Sep 2025
Cited by 1 | Viewed by 991
Abstract
Background: Problematic internet use among adolescents is linked to poorer mental health, academic performance, and social functioning, yet evidence from Eastern Europe remains limited. Methods: We conducted a school-based cross-sectional study at a Romanian high school (Arad County) including 308 students aged 15–18 [...] Read more.
Background: Problematic internet use among adolescents is linked to poorer mental health, academic performance, and social functioning, yet evidence from Eastern Europe remains limited. Methods: We conducted a school-based cross-sectional study at a Romanian high school (Arad County) including 308 students aged 15–18 years (154 males, 154 females). Students completed a demographic/behavioral questionnaire and the 20-item Internet Addiction Test (IAT), a widely used measure of problematic internet use. The prespecified primary analysis was a multivariable linear regression of IAT score on sex, age group, residence, daily screen time, prior attempts to reduce use, and main internet purpose; supporting analyses included t-tests, ANOVA, and Pearson correlation (α = 0.05). Results: In bivariable comparisons, males, older adolescents (17–18 years), and urban residents reported higher IAT scores; screen time correlated with IAT (r = 0.460, p < 0.001), and prior reduction attempts were associated with higher scores (Cohen’s d = 0.80). In the adjusted model, male sex (β = 4.97), older age (β = 5.36), greater daily screen time (β = 1.67 per hour), prior attempts to reduce use (β = 4.13), and primarily using the internet for gaming (β = 5.71) remained significant predictors (all p ≤ 0.045); urban residence was not retained (p = 0.218). The model explained 43% of IAT variance (R2 = 0.43). Conclusions: Demographic and behavioral factors independently predict adolescent problematic internet use, highlighting high-risk profiles (older males, heavy screen time, gaming focus, prior reduction attempts). These findings support school-based screening and targeted digital-health interventions in underrepresented contexts. Full article
(This article belongs to the Section Pediatric Mental Health)
Show Figures

Graphical abstract

18 pages, 523 KB  
Article
Psychosocial Risk Factors and Adolescent Problematic Internet Gaming (PIG): The Mediating Roles of Deviant Peer Affiliation and Hedonic Gaming Experience
by Yi Wu, Huazhen Li and Zhanni Luo
Behav. Sci. 2025, 15(9), 1177; https://doi.org/10.3390/bs15091177 - 29 Aug 2025
Viewed by 1292
Abstract
Background: Problematic Internet gaming (PIG), considered an early stage of Internet gaming addiction (IGA), has become increasingly prevalent among adolescents. This study focused on deviant peer affiliation (DPA) and hedonic gaming experience (HGE) as key mediators and examined four psychosocial risk factors closely [...] Read more.
Background: Problematic Internet gaming (PIG), considered an early stage of Internet gaming addiction (IGA), has become increasingly prevalent among adolescents. This study focused on deviant peer affiliation (DPA) and hedonic gaming experience (HGE) as key mediators and examined four psychosocial risk factors closely related to them: interpersonal incompetence (II), perceived stress (PS), frustration (FR), and emotional loneliness (EL). Specifically, the study investigated how these four psychosocial risk factors influence adolescents’ DPA, HGE, and PIG, and whether DPA and HGE mediate these relationships. Methods: Based on existing validated scales, we developed a questionnaire to measure these seven constructs (II, PS, FR, IC, DPA, HGE, and PIG), proposed 14 hypotheses, and collected 214 valid responses from adolescents. Structural equation modeling (SEM) was used to test the hypothesized model. Findings: The results showed that all 14 hypotheses were supported. Specifically, interpersonal incompetence significantly predicted perceived stress; stress led to frustration; and frustration, in turn, contributed to emotional loneliness. Furthermore, all four psychosocial risk factors significantly predicted deviant peer affiliation, hedonic gaming experience, and ultimately, problematic Internet gaming among adolescents. Both DPA and HGE mediated the effects of psychosocial risk factors on adolescent problematic Internet gaming (PIG), with the model explaining moderate-to-high variance. This study highlights the importance of segmenting adolescents into more specific subgroups based on the distinct developmental pathways leading to PIG. Implications: Understanding the step-by-step mechanisms and psychological drivers of different adolescent subtypes can provide a more solid foundation for early identification and targeted intervention efforts. Full article
Show Figures

Figure 1

Back to TopTop