Resveratrol and Exercise Produce Recovered Ankle and Metatarsus Joint Movements after Penetrating Lesion in Hippocampus in Male Rats
Abstract
1. Introduction
2. Materials and Methods
2.1. Animals and Experimental
2.2. Penetrating Injury Model
2.3. Resveratrol Treatment
2.4. Exercise Training
2.5. Tunnel Walk Recordings
2.6. Dissimilarity Factor and Vertical Displacement Analysis
2.7. Statistical Analysis
3. Results
3.1. Dissimilarity Factor (DF) in the Left and Right Metatarsus on the Third and Seventh Days Post-Injury with Resveratrol and Exercise
3.2. DF in the Ankle Was Treated with Resveratrol and Exercise on the Third and Seventh Days Post-Injury
3.3. Exercise Modifies Vertical Displacement (VD) in the Metatarsus and Ankle Post-Injury
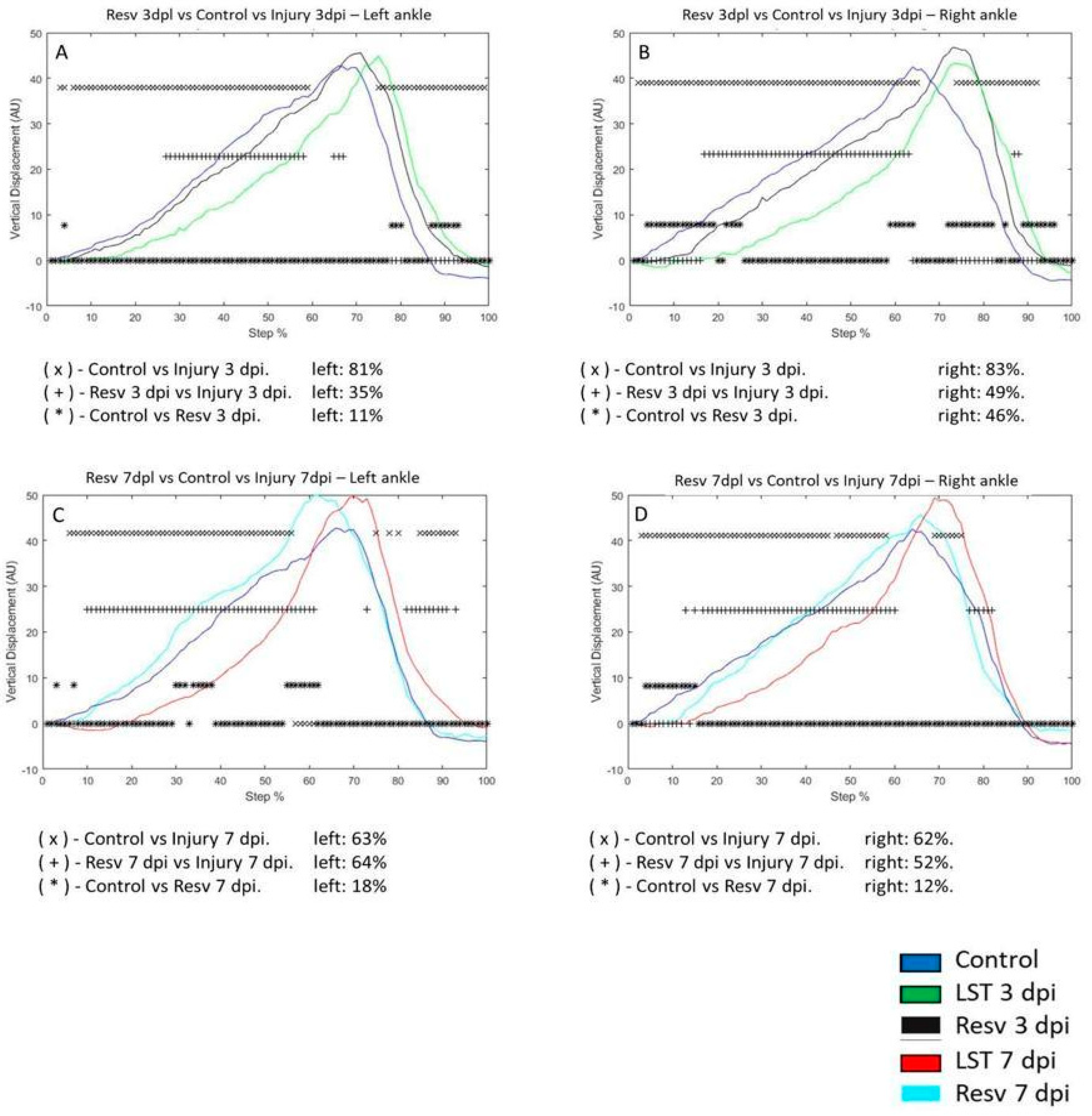
3.4. VD in Metatarsus and Ankle Joints after Resveratrol Treatment in the Penetrating Injury Model
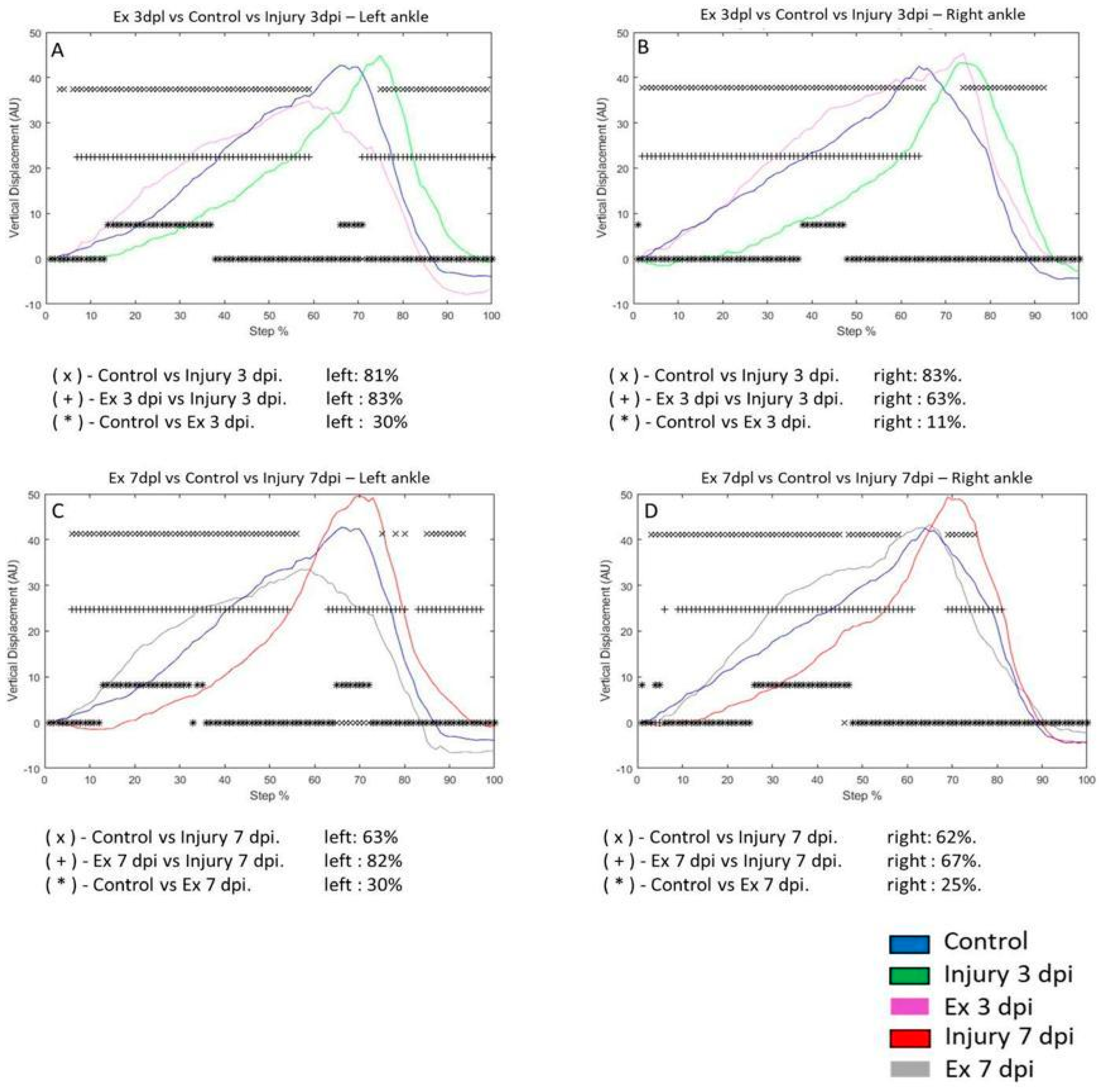
3.5. VD in Metatarsus and Ankle Joints after Exercise and Resveratrol Treatment in Male Rats
4. Discussion
5. Conclusions
Supplementary Materials
Author Contributions
Funding
Institutional Review Board Statement
Informed Consent Statement
Data Availability Statement
Conflicts of Interest
References
- Akamatsu, Y.; Hanafy, K.A. Cell Death and Recovery in Traumatic Brain Injury. Neurotherapeutics 2020, 17, 446–456. [Google Scholar] [CrossRef] [PubMed]
- Briones, T.L. Chapter 3 animal models of traumatic brain injury: Is there an optimal model that parallels human brain injury? Annu. Rev. Nurs. Res. 2015, 33, 3173. [Google Scholar] [CrossRef] [PubMed]
- Ma, X.; Aravind, A.; Pfister, B.J.; Chandra, N.; Haorah, J. Animal Models of Traumatic Brain Injury and Assessment of Injury Severity. Mol. Neurobiol. 2019, 56, 5332–5345. [Google Scholar] [CrossRef] [PubMed]
- Najem, D.; Rennie, K.; Ribecco-Lutkiewicz, M.; Ly, D.; Haukenfrers, J.; Liu, Q.; Nzau, M.; Fraser, D.D.; Bani-Yaghoub, M. Traumatic brain injury: Classification, models, and markers. Biochem. Cell Biol. 2018, 96, 391–406. [Google Scholar] [CrossRef] [PubMed]
- Bender, F.; Gorbati, M.; Cadavieco, M.C.; Denisova, N.; Gao, X.; Holman, C.; Korotkova, T.; Ponomarenk, A. Theta oscillations regulate the speed of locomotion via a hippocampusto lateral septum pathway. Nat. Commun. 2015, 6, 8521. [Google Scholar] [CrossRef]
- López Ruiz, J.R.; Osuna Carrasco, L.P.; López Valenzuela, C.L.; Franco Rodríguez, N.E.; de la Torre Valdovinos, B.; Jiménez Estrada, I.; Dueñas Jiménez, J.M.; Dueñas Jiménez, S.H. The hippocampus participates in the control of locomotion speed. Neuroscience 2015, 311, 207–215. [Google Scholar] [CrossRef]
- León-Moreno, L.C.; Castañeda-Arellano, R.; Aguilar-García, I.G.; Desentis-Desentis, M.F.; Torres-Anguiano, E.; Gutiérrez-Almeida, C.E.; Najar-Acosta, L.J.; Mendizabal-Ruiz, G.; Ascencio-Piña, C.R.; Dueñas-Jiménez, J.M.; et al. Kinematic Changes in a Mouse Model of Penetrating Hippocampal Injury and Their Recovery after Intranasal Administration of Endometrial Mesenchymal Stem Cell-Derived Extracellular Vesicles. Front. Cell. Neurosci. 2020, 14, 579162. [Google Scholar] [CrossRef]
- Mahalakshmi, B.; Maurya, N.; Lee, S.D.; Bharath Kumar, V. Possible Neuroprotective Mechanisms of Physical Exercise in Neurodegeneration. Int. J. Mol. Sci. 2020, 21, 5895. [Google Scholar] [CrossRef]
- Monteiro-Junior, R.S.; Cevada, T.; Oliveira, B.R.; Lattari, E.; Portugal, E.M.; Carvalho, A.; Deslandes, A.C. We need to move more: Neurobiological hypotheses of physical exercise as a treatment for Parkinson’s disease. Med. Hypotheses 2015, 85, 537–541. [Google Scholar] [CrossRef]
- Navarro-Quiroz, E.; Navarro-Quiroz, R.; España-Puccini, P.; Ahmad, M.; Díaz-Pérez, A.; Villarreal, J.L.; Vásquez, L.; Torres, A. Neurogenesis in adult brain. Salud Uninorte 2018, 34, 144–159. [Google Scholar] [CrossRef]
- Von Bernhardi, R.; Bernhardi, L.E.; Eugenín, J. What Is Neural Plasticity? Adv. Exp. Med. Biol. 2017, 1015, 1–15. [Google Scholar] [PubMed]
- Piao, C.S.; Stoica, B.A.; Wu, J.; Sabirzhanov, B.; Zhao, Z.; Cabatbat, R.; Loane, D.J.; Faden, A.I. Late exercise reduces neuroinflammation and cognitive dysfunction after traumatic brain injury. Neurobiol. Dis. 2013, 54, 252–263. [Google Scholar] [CrossRef] [PubMed]
- Vivar, C.; Potter, M.C.; van Praag, H. All about running: Synaptic plasticity, growth factors and adult hippocampal neurogenesis. In Neurogenesis and Neural Plasticity; Current Topics in Behavioral Neurosciences; Springer: Berlin/Heidelberg, Germany, 2013; Volume 15, pp. 189–210. [Google Scholar]
- Voss, M.W.; Vivar, C.; Kramer, A.F.; van Praag, H. Bridging animal and human models of exercise-induced brain plasticity. Trends Cogn. Sci. 2013, 17, 525–544. [Google Scholar] [CrossRef] [PubMed]
- Zhang, P.; Zhang, Y.; Zhang, J.; Wu, Y.; Jia, J.; Wu, J.; Hu, Y. Early Exercise Protects against Cerebral Ischemic Injury through Inhibiting Neuron Apoptosis in Cortex in Rats. Int. J. Mol. Sci. 2013, 14, 6074–6089. [Google Scholar] [CrossRef]
- Hong, J.H.; Lee, H.; Lee, S.R. Protective effect of resveratrol against neuronal damage following transient global cerebral ischemia in mice. J. Nutr. Biochem. 2016, 27, 146–152. [Google Scholar] [CrossRef]
- Shetty, A.K. Promise of resveratrol for easing status epilepticus and epilepsy. Pharmacol. Ther. 2011, 131, 269–286. [Google Scholar] [CrossRef]
- Amirazodi, M.; Mehrabi, A.; Rajizadeh, M.A.; Bejeshk, M.A.; Esmaeilpour, K.; Daryanoosh, F.; Gaeini, A. The effects of combined resveratrol and high intensity interval training on the hippocampus in aged male rats: An investigation into some signaling pathways related to mitochondria. Iran. J. Basic Med. Sci. 2022, 2, 254–262. [Google Scholar]
- Cui, B.; Wang, Y.; Jin, J.; Yang, Z.; Guo, R.; Li, X.; Yang, L.; Li, Z. Resveratrol Treats UVB-Induced Photoaging by Anti-MMP Expression, through Anti-Inflammatory, Antioxidant, and Antiapoptotic Properties, and Treats Photoaging by Upregulating VEGF-B Expression. Oxid. Med. Cell. Longev. 2022, 2022, 6037303. [Google Scholar] [CrossRef]
- Sönmez, U.; Sönmez, A.; Erbil, G.; Tekmen, I.; Baykara, B. Neuroprotective effects of resveratrol agains traumatic brain injury in immature rats. Neurosci. Lett. 2007, 420, 133–137. [Google Scholar] [CrossRef]
- Alpirez, J.; Leon-Moreno, L.C.; Aguilar-García, I.G.; Castañeda-Arellano, R.; Dueña Jiménez, J.M.; Asencio-Piña, C.R.; Dueñas-Jiménez, S.H. Walk Locomotion Kinematic Changes in a Mode of Penetrating Hippocampal Injury in Male/Female Mice and Rats. Brain Sci. 2023, 13, 1545. [Google Scholar] [CrossRef]
- Hertel, J. Functional Anatomy, Pathomechanics, and Pathophysiology of Lateral Ankle Instability. J. Athl. Train. 2002, 37, 364–375. [Google Scholar] [PubMed]
- Bonnel, F.; Toullec, E.; Mabit, C.; Tourné, Y. Chronic ankle instability: Biomechanics and pathomechanics of ligaments injury and associated lesions. Orthop. Traumatol. Surg. Res. 2010, 96, 424–432. [Google Scholar] [CrossRef] [PubMed]
- Iwase, M.; Kitanishi, T.; Mizuseki, K. Cell type, sub-region, and layer-specific speed representation in the hippocampal-entorhinal circuit. Sci. Rep. 2020, 10, 1407. [Google Scholar] [CrossRef]
- Sauvage, C.; Jissendi, P.; Seignan, S.; Manto, M.; Habas, C. Brain areas involved in the control of speed during a motor sequence of the foot: Real movement versus mental imagery. J. Neuroradiol. 2013, 40, 267–280. [Google Scholar] [CrossRef]
- Yamaguchi, N.; Sawano, T.; Fukumoto, K.; Nakatani, J.; Inoue, S.; Doe, N.; Yanagisawa, D.; Tooyama, I.; Nakagomi, T.; Matsuyama, T.; et al. Voluntary running exercise after focal cerebral ischemia ameliorates dendritic spine loss and promotes functional recovery. Brain Res. 2021, 1767, 147542. [Google Scholar] [CrossRef]
- Kim, C.K.; Park, J.S.; Kim, E.; Oh, M.K.; Lee, Y.T.; Yoon, K.J.; Joo, K.M.; Lee, K.; Park, Y.S. The effects of early exercise in traumatic brain-injured rats with changes in motor ability, brain tissue, and biomarkers. BMB Rep. 2022, 55, 512–517. [Google Scholar] [CrossRef] [PubMed]
- Bacanoiu, M.V.; Danoiu, M.; Rusu, L.; Marin, M.I. New Directions to Approach Oxidative Stress Related to Physical Activity and Nutraceuticals in Normal Aging and Neurodegenerative Aging. Antioxidants 2023, 12, 1008. [Google Scholar] [CrossRef]
- Durbin, S.M.; Jackson, J.R.; Ryan, M.J.; Gigliotti, J.C.; Alway, S.E.; Tou, J.C. Resveratrol supplementation preserves long bone mass, microstructure, and strength in hindlimb suspended old male rats. J. Bone Miner. Metab. 2014, 32, 38–47. [Google Scholar] [CrossRef]
- Shahcheraghi, S.H.; Salemi, F.; Small, S.; Syed, S.; Salari, F.; Alam, W.; Cheang, W.S.; Saso, L.; Khan, H. Resveratrol regulates inflammation and improves oxidative stress via Nrf2 signaling pathway: Therapeutic and biotechnological prospects. Phytother. Res. 2023, 37, 1590–1605. [Google Scholar] [CrossRef]
- Brown, A.R.; Martinez, M. Ipsilesional Motor Cortex Plasticity Participates in Spontaneous Hindlimb Recovery after Lateral Hemisection of the Thoracic Spinal Cord in the Rat. J. Neurosci. 2018, 38, 9977–9988. [Google Scholar] [CrossRef]
- Kakuta, Y.; Adachi, A.; Yokohama, M.; Horii, T.; Mieda, T.; Iizuka, Y.; Takagishi, K.; Chikuda, H.; Iizuka, H.; Nakamura, K. Spontaneous functional full recovery from motor and sensory deficits in adult mice after mild spinal cord injury. Heliyon 2019, 5, e01847. [Google Scholar] [CrossRef] [PubMed]
- Shirota, Y.; Otani, T.; Wasada, S.; Ito, S.; Mieda, T.; Nakamura, K. Inner and outer penetrating spinal cord injuries lead to distinct overground walking in mice. IBRO Neurosci. Rep. 2024, 16, 345–352. [Google Scholar] [CrossRef]
- Hart, N.; Sarga, L.; Csende, Z.; Koch, L.G.; Britton, S.L.; Davies, K.J.; Radak, Z. Resveratrol attenuates exercise-induced adaptive responses in rats selectively bred for low running performance. Dose Response 2013, 12, 57–71. [Google Scholar] [CrossRef] [PubMed]
- Sung, M.M.; Byrne, N.J.; Robertson, I.M.; Kim, T.T.; Samokhvalov, V.; Levasseur, J.; Soltys, C.L.; Fung, D.; Tyreman, N.; Denou, E.; et al. Resveratrol improves exercise performance and skeletal muscle oxidative capacity in heart failure. Am. J. Physiol. Heart Circ. Physiol. 2017, 312, H842–H853. [Google Scholar] [CrossRef] [PubMed]
- Xiang, Z.; Zhang, S.; Yao, X.; Xu, L.; Hu, J.; Yin, C.; Chen, J.; Xu, H. Resveratrol promotes axonal regeneration after spinal cord injury through activating Wnt/β-catenin signaling pathway. Aging 2021, 13, 23603–23619. [Google Scholar] [CrossRef]
- Taccola, G.; Ichiyama, R.M.; Edgerton, V.R.; Gad, P. Stochastic spinal neuromodulation tunes the intrinsic logic of spinal neural networks. Exp. Neurol. 2022, 355, 114138. [Google Scholar] [CrossRef]
- Grillner, S.; Zangger, P. How detailed is the central pattern generation for locomotion? Brain Res. 1975, 88, 367–371. [Google Scholar] [CrossRef]
- Grillner, S. The execution of movement: A spinal affair. J. Neurophysiol. 2021, 125, 693–698. [Google Scholar] [CrossRef]
- Grillner, S. Interaction between central and peripheral mechanisms in the control locomotion. Prog. Brain Res. 1979, 50, 227–235. [Google Scholar]
- Molkov, Y.I.; Yu, G.; Ausborn, J.; Bouvier, J.; Danner, S.M.; Rybak, I.A. Sensory feedback and central neuronal interactions in mouse locomotion. R. Soc. Open Sci. 2024, 11, 240207. [Google Scholar] [CrossRef]
- Qi, J.; Fu, L.Y.; Liu, K.L.; Li, R.J.; Qiao, J.A.; Yu, X.J.; Yu, J.Y.; Li, Y.; Feng, Z.P.; Yi, Q.Y.; et al. Resveratrol in the Hypothalamic Paraventricular Nucleus Attenuates Hypertension by Regulation of ROS and Neurotransmitters. Nutrients 2022, 14, 4177. [Google Scholar] [CrossRef] [PubMed]
- Nani, A.; Murtaza, B.; Sayed Khan, A.; Khan, N.A.; Hichami, A. Antioxidant and Anti-Inflammatory Potential of Polyphenols Contained in Mediterranean Diet in Obesity: Molecular Mechanisms. Molecules 2021, 26, 985. [Google Scholar] [CrossRef] [PubMed]
- Hou, Y.; Wang, K.; Wan, W.; Cheng, Y.; Pu, X.; Ye, X. Resveratrol provides neuroprotection by regulating the JAK2/STAT3/PI3K/AKT/mTOR pathway after stroke in rats. Genes Dis. 2018, 5, 245–255. [Google Scholar] [CrossRef] [PubMed]
- Meng, T.; Xiao, D.; Muhammed, A.; Deng, J.; Chen, L.; He, J. Anti-Inflammatory Action and Mechanisms of Resveratrol. Molecules 2021, 26, 229. [Google Scholar] [CrossRef] [PubMed]
- Bartsch, T.; Wulff, P. The hippocampus in aging and disease: From plasticity to vulnerability. Neuroscience 2015, 309, 1–16. [Google Scholar] [CrossRef]
- Callow, D.D.; Won, J.; Alfini, A.J.; Purcell, J.J.; Weiss, L.R.; Zhan, W.; Smith, J.C. Microstructural Plasticity in the Hippocampus of Healthy Older Adults after Acute Exercise. Med. Sci. Sports Exerc. 2021, 53, 1928–1936. [Google Scholar] [CrossRef]








Disclaimer/Publisher’s Note: The statements, opinions and data contained in all publications are solely those of the individual author(s) and contributor(s) and not of MDPI and/or the editor(s). MDPI and/or the editor(s) disclaim responsibility for any injury to people or property resulting from any ideas, methods, instructions or products referred to in the content. |
© 2024 by the authors. Licensee MDPI, Basel, Switzerland. This article is an open access article distributed under the terms and conditions of the Creative Commons Attribution (CC BY) license (https://creativecommons.org/licenses/by/4.0/).
Share and Cite
Aguilar-Garcia, I.G.; Alpirez, J.; Castañeda-Arellano, R.; Dueñas-Jiménez, J.M.; Toro Castillo, C.; León-Moreno, L.C.; Osuna-Carrasco, L.P.; Dueñas-Jiménez, S.H. Resveratrol and Exercise Produce Recovered Ankle and Metatarsus Joint Movements after Penetrating Lesion in Hippocampus in Male Rats. Brain Sci. 2024, 14, 980. https://doi.org/10.3390/brainsci14100980
Aguilar-Garcia IG, Alpirez J, Castañeda-Arellano R, Dueñas-Jiménez JM, Toro Castillo C, León-Moreno LC, Osuna-Carrasco LP, Dueñas-Jiménez SH. Resveratrol and Exercise Produce Recovered Ankle and Metatarsus Joint Movements after Penetrating Lesion in Hippocampus in Male Rats. Brain Sciences. 2024; 14(10):980. https://doi.org/10.3390/brainsci14100980
Chicago/Turabian StyleAguilar-Garcia, Irene Guadalupe, Jonatan Alpirez, Rolando Castañeda-Arellano, Judith Marcela Dueñas-Jiménez, Carmen Toro Castillo, Lilia Carolina León-Moreno, Laura Paulina Osuna-Carrasco, and Sergio Horacio Dueñas-Jiménez. 2024. "Resveratrol and Exercise Produce Recovered Ankle and Metatarsus Joint Movements after Penetrating Lesion in Hippocampus in Male Rats" Brain Sciences 14, no. 10: 980. https://doi.org/10.3390/brainsci14100980
APA StyleAguilar-Garcia, I. G., Alpirez, J., Castañeda-Arellano, R., Dueñas-Jiménez, J. M., Toro Castillo, C., León-Moreno, L. C., Osuna-Carrasco, L. P., & Dueñas-Jiménez, S. H. (2024). Resveratrol and Exercise Produce Recovered Ankle and Metatarsus Joint Movements after Penetrating Lesion in Hippocampus in Male Rats. Brain Sciences, 14(10), 980. https://doi.org/10.3390/brainsci14100980

