Abstract
The frailty sex paradox has recently gained attention. At all ages, females are more likely to be frail and show a more severe phenotype but have a higher survival rate compared to males. The main aim was to test sex-specific differences in frailty syndrome using a multimodal evaluation from clinical and imaging data to deepen the understanding of different underlying mechanisms involved in the two sexes, and thus understand the association with different risk factors. Ninety-six community-dwelling older adults were characterized by clinical underpinnings (Fried’s frailty indicators: comorbidity, depression, global cognitive level, physical activity, autonomy), and neural integrity (T1-weighted brain 3T MRI). The frailty × sex interaction in clinical and neural profiles was tested. Additionally, frailty risk factors were identified in the two sexes separately. Results showed that fragility was associated with an increment of depressive symptomatology in females, while a decrement in physical activity was observed already in the pre-frail stage in males. Finally, different risk factors were observed in the two groups: significant frailty predictors were neural integrity and physical activity in males, and age and depression in females. These data support the starting hypothesis of at least partially different mechanisms involved in the frailty phenotype between men and women.
1. Introduction
Frailty is a complex phenotype characterized by physiological reserve decay and stressor susceptibility. Frailty syndrome currently represents a global public health priority, given its increasing incidence linked to the longevity increment, and related significant care needs, adverse outcomes, and disability risk [1].
Evidence of sex-specific differences in frailty syndrome have recently gained attention [2,3,4,5,6]. At all ages, females are more likely to be frail and show a more severe phenotype compared to males. Paradoxically, women present a higher survival rate though. In fact, when compared to males of the same age, females present a worse health status, suggesting higher frailty, whilst also an superior susceptibility to death, suggesting less frailty [4]. This has been called the sex-paradox phenomenon in the frailty phenotype. Although the causes and underlying mechanisms of the sex-related differences in frailty are yet to be fully understood, the combined effect of biological, behavioral, and social factors has been implicated [4,5]. Therefore, knowing how to further understand the differential roles of clinical and behavioral risk factors between women and men in the fragility phenotype may be crucial.
Several studies have tried to address this issue in relation to the “chronic disease hypothesis” claiming the differential incidence of life-threatening diseases between women and men. Especially, females’ frailty phenotype may peculiarly reflect mood alteration, such as depression symptomatology [7,8], and cognitive impairment [9], together with the accumulation of non-fatal chronic disease [2]. Instead, males are likely to show physical health weakness involving more life-threatening diseases such as heart failure and pulmonary diseases [2,4]. Nevertheless, data from longitudinal studies also lend support to the hypothesis of qualitative and not only quantitative sex differences in chronic medical conditions [10], suggesting greater physiological reserve in females providing greater resilience to frailty [11].
Despite the abundance of studies investigating the frailty paradox, the role of depression and motor activity has not been clarified. Moreover, several factors that might be implicated still need to be explored. One such factor is the potential role of the neural component, which has been largely neglected so far. The neural integrity component could add relevant information, especially if connected to the behavioral component such as cognitive impairment and mood. Neural integrity, indeed, could be related to the recent observation that frailty may increase the risk of future cognitive decline, and vice versa, cognitive impairment may represent a risk factor for frailty [12,13]. Such evidence suggests a complex interplay between cognition and frailty in aging, and led to the conceptualization of cognitive frailty [14]. In line with these studies, neural integrity could represent a relevant factor in explaining the risk of developing a frailty phenotype and addressing differences in resilience/risk factors between women and men.
The aim of this study was, thus, to investigate the differential predictive role between women and men of clinical, behavioral, and neural indices in the frailty phenotype. The starting hypothesis was that the frailty phenotype could be the expression of different underlying mechanisms involved in the two sexes and thus associated with different risk factors. With this aim, we investigated a cohort of 96 community-dwelling older adults with a comprehensive clinical battery and a high-resolution structural brain MRI.
2. Materials and Methods
In this study, we tested sex differences in the frailty phenotype from data collected within the “Transcription factor PREP1 in the frailty phenotype” project (https://www.ifom.eu/bandoCariplo/, (accessed on 13 June 2023)).
2.1. Participants
Subjects included in the analysis (N = 96) were selected from the “Transcription factor PREP1 in the frailty phenotype” database (N = 116). This database included neural and clinical data on a cohort of community-dwelling older adults recruited at the IRCCS Santa Maria Nascente and the Palazzolo Institute of the Don Gnocchi Foundation of Milan. In detail, participants enrolled in the project fulfilled the following inclusion criteria: age ≥65; absence of a diagnosis of dementia (Mini-Mental State Examination score >18); absence of unstable acute or chronic conditions and unstable pharmacological treatment; absence of Parkinson’s disease, multiple sclerosis, or infectious diseases; and have read and signed the informed consent module approved by the Don Gnocchi Foundation Ethics Committee.
Subjects included in the present study were selected according to the presence of the following data:
- -
- Fried’s frailty phenotype: based on five frailty indicators: unintentional weight loss in the prior year (≥4.5 kg), grip weakness measured by a manual dynamometer (20% below the norm, based on gender and BMI), perceived exhaustion in their daily routine, slowness in walking (20% below the norm, based on gender and height) measured by the 10 Meter Walking Test [15], and low physical activity (20% below the norm) in terms of kcal/week measured by Minnesota Leisure Time Activity Questionnaire [16]. Based on Fried’s instructions [17], people presenting three or more frailty indicators were classified as frail, those who reported one or two indicators as prefrail, and people without any indicators classed as robust.
- -
- Demographic characteristics: age, sex, and years of education and anamnestic information collected during the clinical interview, such as current and remote comorbidities, surgical interventions, and pharmacological treatments.
- -
- Motor activities: the Physical Activity Scale for the elderly (PASE, [18]) questionnaire. The PASE score ranges from 0 to 793, with a higher score indicating a greater physical activity routine.
- -
- Cognitive level: the Montreal Cognitive Assessment (MoCA, [19]). The MoCA total score ranges from 0 to 30, with a higher score suggesting a greater global cognitive level.
- -
- Psycho-Behavioral level: the Center for Epidemiologic Studies Depression Scale (CES-D, [20]), for a measure of the frequency of depression-related symptomatology. The scale score ranges from 0 to 60, with a higher score indicating greater depressive symptoms.
- -
- Participation in daily life: the Alzheimer’s Disease Cooperative Study—Activities of Daily Living Scale (ADCS-ADL, [21]). The ADCS-ADL score ranges from 0 to 78, with a higher score suggesting a greater autonomy level.
- -
- Neural integrity: a 3T MRI brain examination including a T1-3D magnetization-prepared rapid acquisition gradient echo (MPRAGE, 0.80 mm3, TR/TE: 2300/3.1 ms, FOV: 256 × 240 mm) sequence for brain morphology evaluation, fluid-attenuated inversion recovery (FLAIR) (0.4 × 0.4 × 1 mm3, TR/TE: 5000/394 ms, FOV: 256 × 230 mm) for white matter hyper-intensities, and T2-weighted sequence to exclude gross brain abnormalities.
2.2. Materials
In the present study, comorbidity and neural indexes were computed.
The classical Charlson Comorbidity Index (CCI, [22,23]) was calculated based on the anamnestic information collected during the clinical interview. A higher CCI indicates a greater mortality risk and comorbid condition.
Additionally, to compute a global morphological neural index (Neural Index), white matter hyperintensities were manually segmented to derive T1-3D lesion-filled images, which were analyzed in Freesurfer software (v. 6.0, https://surfer.nmr.mgh.harvard.edu/ (accessed on 13 June 2023)) According to Klapwijk et al. [24], the images were manually corrected, when necessary. Then, the total gray volume, the total cerebral white matter volume, and the estimated intracranial volume were extracted according to Fischl et al. [25]. Total gray volume and total cerebral white matter volume were summed and normalized to the estimated intracranial volume to compute the neural index. The neural index ranged from 0 to 1, with a higher index indicating a greater global neural integrity.
2.3. Statistical Analysis
The Statistical Package for Social Sciences (SPSS, IBM Corporation, v. 28) was used for the statistical analysis.
Skewness, kurtosis, and histogram plots were visually explored to check the variables’ normal distributions and perform parametric or non-parametric analyses when adequate. Mean, standard deviations, and frequencies were reported to describe the participants’ characteristics. An independent t-test and chi-squared χ2 test were run to compare male and female groups’ demographics and frailty indicators. An ANCOVA (age inserted as a covariate) was used to test the effect of the frailty phenotype (robust, prefrail, and frail group) and sex (males and females) on clinical and neuropsychological profiles. Bonferroni’s post hoc test was run to interpret statistically significant results. A partial correlation (age inserted as a covariate) was run to check statistically significant associations between frailty score, defined as the total number of frailty indicators detected (score 0 to 5), and clinical, neuropsychological, and neural index variables separately for male and female groups. Finally, demographical, clinical, neuropsychological, and neural variables were inserted in a multiple regression model to test the best predictors of the frailty score separately for the male and female groups.
All the statistical analysis models were two-tailed. Results were considered statistically significant when the p-value was <0.05.
3. Results
3.1. Participants Characteristics
In total, ninety-six subjects (58 females; mean age = 75.49 ± 6.62; mean education = 11.29 ± 3.85) were included in the analysis. The mean frailty score in the whole group was 1.22 ± 1.17. No differences between males and females were registered for age and education, but females showed a statistically significantly higher frailty score than males (p = 0.007, Cohen’s d = 0.548). Males presented more pulmonary comorbidities than females (p = 0.008), whilst women were more likely to present hypertension condition than men (p = 0.014) (Table 1).
Table 1.
Participants’ characteristics and males’ vs. females’ comparison results.
3.2. Sex Differences in Fried’s Frailty Indicators
Table 2 reports the results of the Chi squares χ2 analyses on sex distribution for each frail indicator in the whole, pre-frail, and frail groups. In the whole group, people presenting exhaustion, slowness, and hand-grip weakness were significantly more likely to be females (p < 0.05). In the pre-frail group, significantly more females than males showed hand-grip weakness (p < 0.05). In the frail group, females were more likely to show body-weight loss and slowness (p < 0.05) than males (p < 0.06). Instead, men were more likely to show hand-grip weakness (p < 0.05) and tended to be more likely to show exhaustion and low physical activity (p < 0.06) than females.
Table 2.
Male and female distribution of Fried’s frailty indicators and chi-squared results.
3.3. Effects of Sex and Frailty on Clinical, Psychobehavioral and Neural Profile
Table 3 reports the results of the ANCOVA (age inserted as a covariate) to test the effect of the Frailty phenotype (robust, prefrail, and frail group) and Sex (males and females) on clinical, behavioral, and neural integrity profiles.
Table 3.
Behavioral profile of groups and ANCOVA results (age as a covariate).
Results showed a significant effect of frailty phenotype in the comparison between robust, prefrail, and frail groups for CES-D (p < 0.001, partial η2 = 0.199, ω = 0.990), MoCA (p = 0.040, partial η2 = 0.070, ω = 0.617), and PASE variables (p = 0.008, partial η2 = 0.103, ω = 0.808), while no effect was detected for education, ADCS, and neural index. Especially frail people reported more depressive symptoms than the pre-frail and robust groups, and pre-frail showed more depressive symptoms than the Robust group. The frail group reported a lower MoCA score than the robust group. Moreover, the robust group showed a higher PASE score than the frail and pre-frail groups.
Moreover, a significant effect of sex was detected for education (p = 0.034, partial η2 = 0.049, ω = 0.567), CES-D (p < 0.001, partial η2 = 0.148, ω = 0.973) and the neural index (p = 0.031, partial η2 = 0.051, ω = 0.582). Specifically, according to the Bonferroni post hoc analysis, males were likely to report a higher level of education than females, females were more likely to show depressive symptoms, and males showed a higher neural index than females.
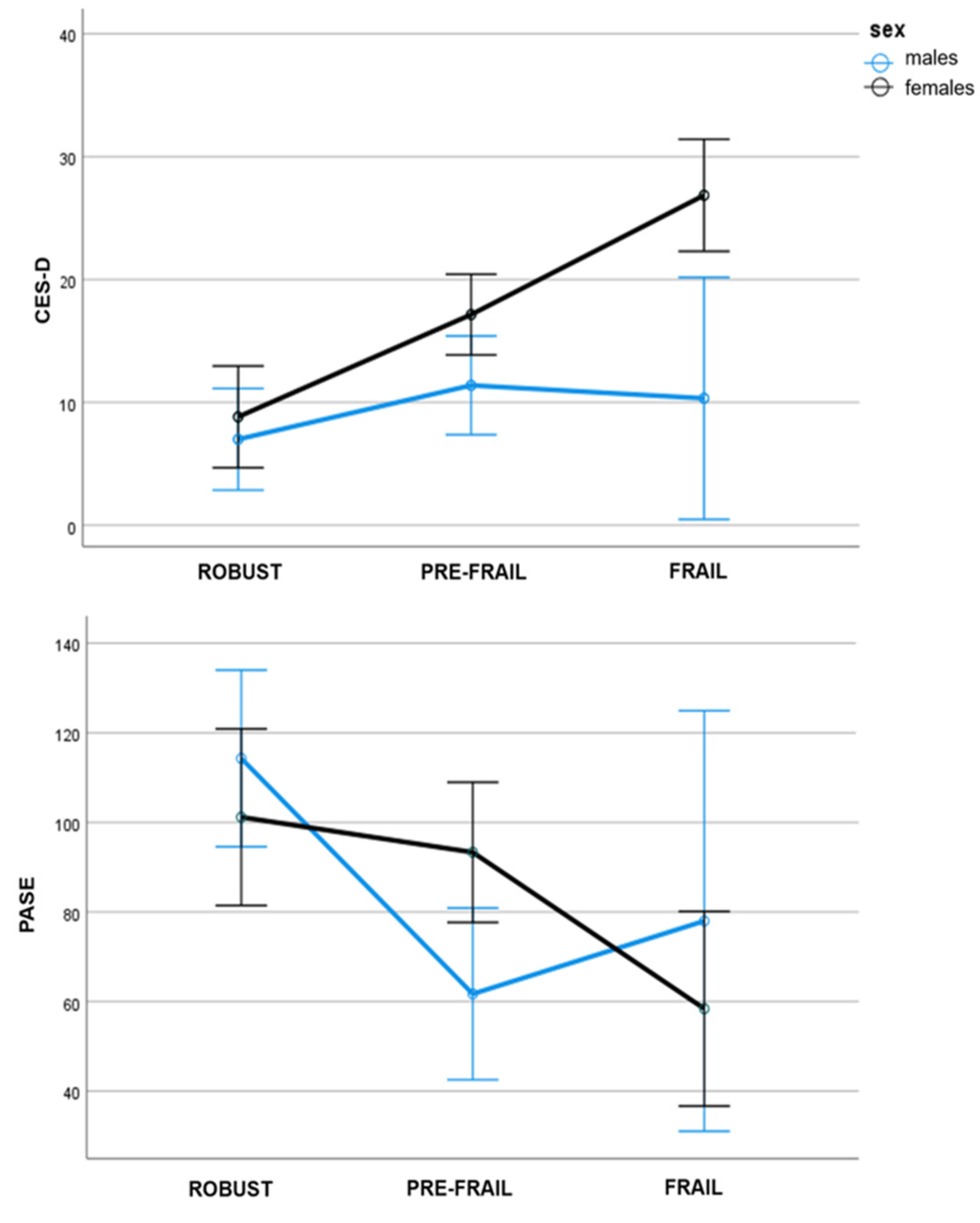
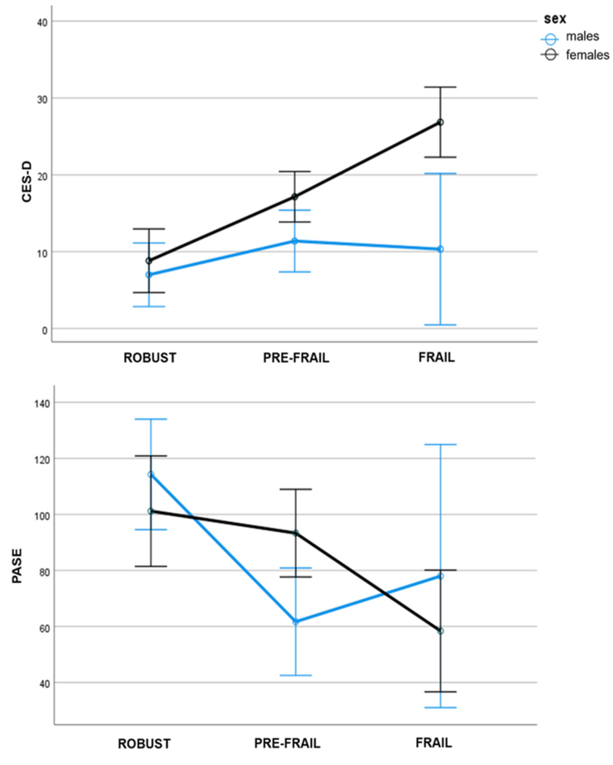
Finally, a significant interaction between the frailty phenotype and sex was observed for the CES-D (p = 0.014, partial η2 = 0.091, ω = 0.750) and the PASE (p = 0.042, partial η2 = 0.069, ω = 0.612) (Figure 1. In detail, in the female group, the worsening of the fragility condition was associated with an increment in depressive symptomatology while in the male group the depressive symptoms remained mostly stable across all frailty phenotypes. For the PASE variable, in males, the decrement in physical activity is observed already in the pre-frail stage while in the females this occurs mainly at the frail stage.
Figure 1.
Sex × Frailty interaction in CES-D and PASE score.
Explorative correlations between frailty score, and comorbidities (CCI), motor, cognitive, participation, and neural integrity level revealed a different pattern of associations in males and females. In males, a significant association of frailty was observed with the PASE (r = −0.326, p = 0.049) and neural index (r = −0.344, p = 0.037), while in females, frailty correlated with CES-D (r = 0.728, p < 0.001), and MoCA (r = −0.303, p = 0.022).
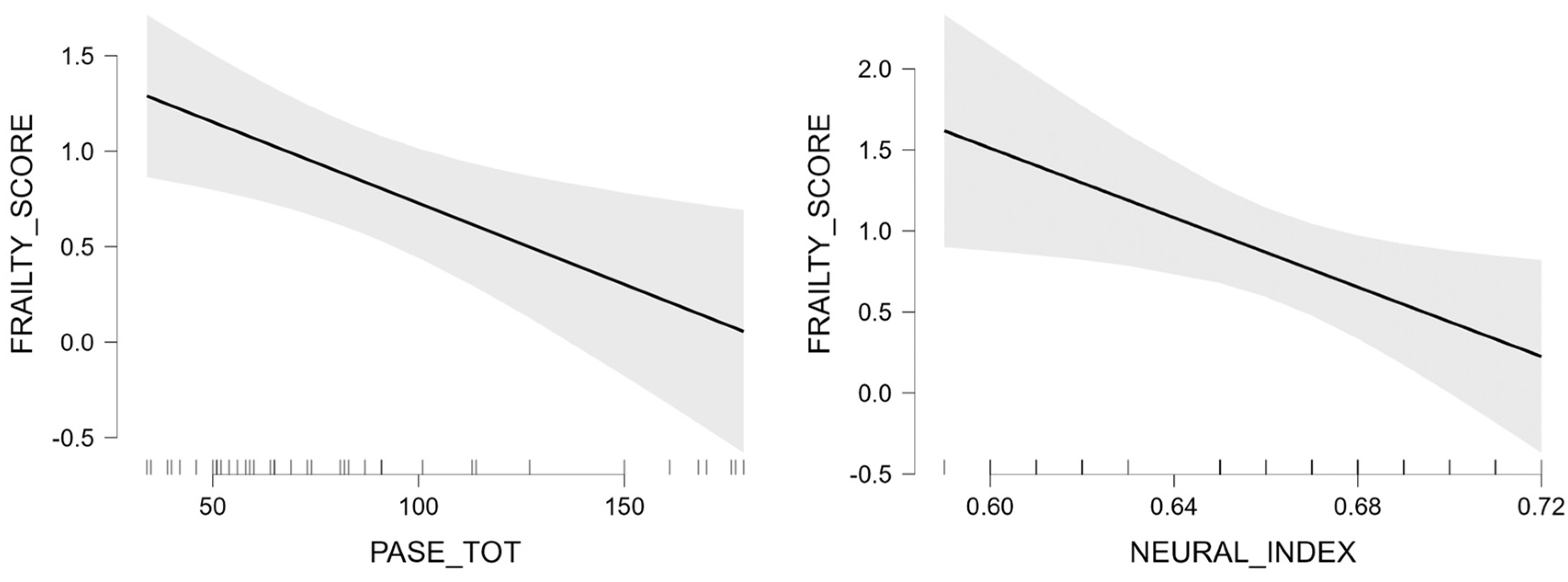
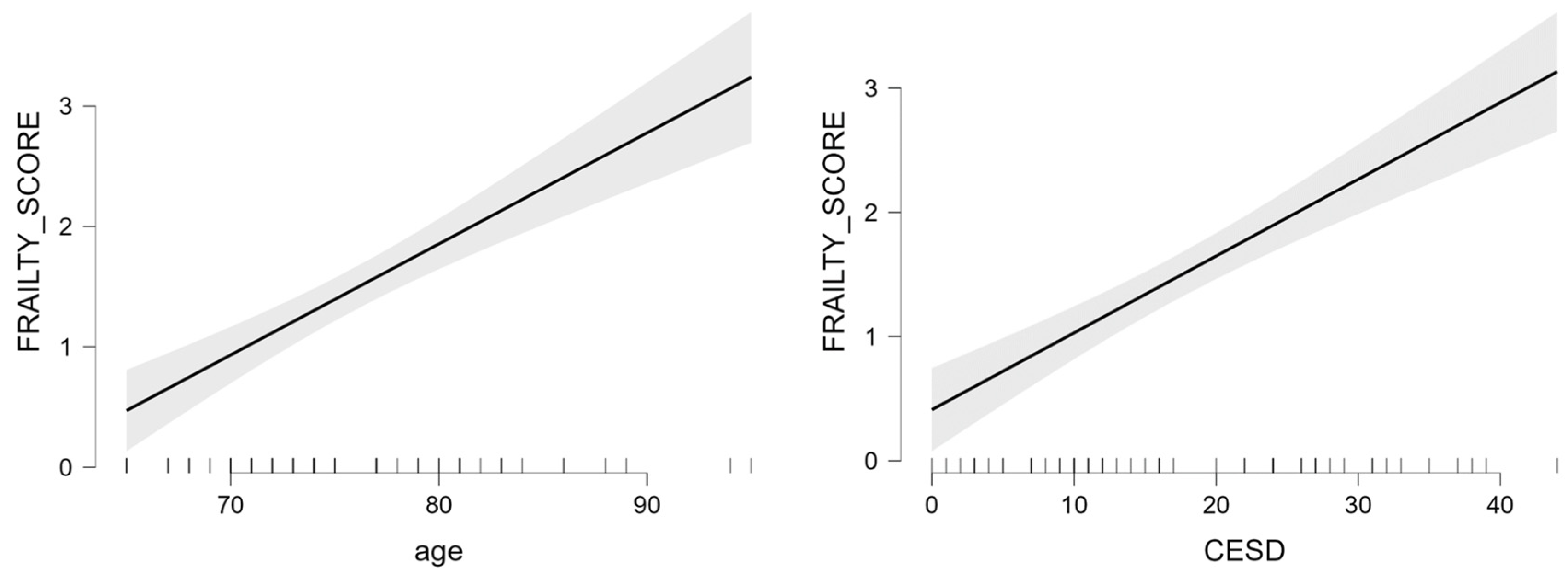
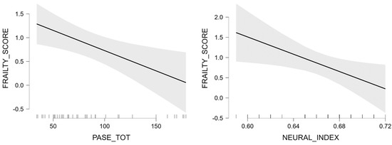
Table 4 reports the multiple regression model to test the best predictors of frailty separately for males and females. In the male group, neural index, and PASE score were significant predictors of frailty (R2 = 0.356, Figure 2). Differently, in the female group, age and CES-D score were the only predictors of frailty (R2 = 0.723, Figure 3).
Table 4.
Significant frailty predictors in male and female groups.
Figure 2.
Marginal effect plots of the effects of PASE, and neural index on frailty score in the males’ group.
Figure 3.
Marginal effect plots of the effects of age and CES-D on frailty score in the female group.
4. Discussion
The differential predictive role of demographical, cognitive, participation, motor, and neural domains in the frailty phenotype were investigated in a sex-stratified cohort of community-dwelling older adults. In line with the literature [2,3,4,5], in our cohort, women were frailer and had a different fragility profile than men. Thus, our cohort can be considered representative of the general population in terms of frailty prevalence in the two sexes. Interestingly, when we focused on frailty indicators, males and females showed distinct profiles: fragility in women was characterized by the prevalence of unintentional weight loss and slowness, while men had a prevalence of hand-grip strength loss, exhaustion, and low physical activity.
When investigating factors related to frailty phenotype in the two sexes, unexpectantly, the demographic variables were not implicated. In fact, the level of education and comorbidities, as calculated with CCI, had no role on the frailty phenotype, and on how the frailty phenotype was expressed in the two sexes. It has to be noted that in the classical CCI, life-threatening chronic conditions are mainly considered, while other chronic comorbidities, such as hypertension, do not weigh on the index. Differences between males and females, though, were detected in the type of comorbidities observed in our cohort. Specifically, women showed a higher prevalence of hypertension while men had a higher occurrence of pulmonary disorders. Taken together, these results support the chronic disease hypothesis claiming a greater female prevalence of ‘non-life-threatening’ diseases, such as hypertension, whereas males had a higher prevalence of ‘life-threatening’ diseases [4,7]. Another area that does not appear to explain the distinct patterns of fragility among men and women is the level of participation in everyday life. This result should be interpreted in association with the lack of any effect of participation on the frailty phenotype. Our participants were selected among community-dwelling people, and it is likely that autonomy in daily living was preserved for all. Instead, considering the role of the cognitive domain (MoCA test) on frailty phenotype in males and females, we found a significant association, but not a predictive relation, of the cognitive domain with the level of fragility in women. This is in line with results from a recent systematic review and meta-analysis showing how the frailty phenotype is linked with all dementia conditions among community-dwelling older people, and that women with frailty had a higher risk of Alzheimer’s disease than men with frailty. However, in our cohort, the global cognitive level was not a factor implicated in the frailty phenotype neither in men nor in women. However, it should be mentioned that this finding could be linked to a selection bias in our cohort. In our population, indeed, according to the inclusion criteria, people with a low/very low global cognitive level could not be considered for the present study.
It is nevertheless interesting to note that the psycho-behavioral (CES-D scale) and motor (PASE) domains were likely to have a role in explaining the distinct frailty phenotype profile in males and females. Our data showed a straightforward link between depression and fragility in women but not in men. The link between the Frailty phenotype and depression was explained by the interaction between the Frailty score and sex. Indeed, our data showed that the worsening of the fragility condition was associated with an increment in depressive symptomatology only in women. Differently, men showed instead rather stable depressive symptomatology across all frailty phenotypes. Moreover, depression was also significantly correlated with frailty score, and most importantly, was also only one of the main risk-predicting factors in women. The co-existence of frailty and depression in the frailty condition is amply documented in the literature, with the prevalence of depression in frail older adults at 46.5% [26,27]. As of today, only a few contributions supported a higher prevalence of depression in females, plausibly exacerbating disability related to comorbidities [8,28,29]. As stated by Park and Ko [2], whether depression can increase the risk of frailty in a sex-specific manner is still currently unclear. The herein-presented data support this hypothesis of an increased level of depression being a risk factor for the frailty phenotype only in women. Considering the motor domain, the significant interaction between frailty score and sex found for the PASE scale highlights how the reduction in physical activity in men occurs in the early pre-frailty stage while in women this happens mainly at the frailty stage. Moreover, the PASE score correlated with the frailty score only in men. Finally, physical activity was one of the two predicting factors of the risk of fragility in men. Interestingly, even if robust males reported higher physical activity, plausibly related to a better attitude than females toward motor exercises [30], already in the pre-frail stage the physical activities appeared strongly affected in males. This result may propose sex-specific frailty underlying mechanisms that mostly involve physical aspects in men. Our data are in line with results from a study involving 6803 adults aged 25–64 years from the Belgian National Health Interview Survey [30] investigating the differential impact of physical activity on mental health between men and women. Data from this survey showed how physical activity had a positive effect on mental health in both sexes, but in men, this was especially true for high-intensity physical activity while in women for mild-intensity activity.
One of the most relevant findings of this study is the link between the neural integrity index with fragility in men. Indeed, the neural domain constituted a relevant factor for sex-related differences in the frailty phenotype, as highlighted in both the correlation and the linear regression analyses. To our knowledge, this is the first time that neural integrity was explored to differentiate its role in the risk of developing frailty syndrome between men and women. Age-related gross anatomical brain changes are widely known [31] in senescence, linked to cognitive decline manifestations, especially impacting episodic memory and working memory, and attention. Neural integrity and physical activity though are tightly linked, as demonstrated by the beneficial effects of physical activity on several conditions [32], such as cardiovascular, metabolic, and neurologic disorders, including dementia, and sarcopenia. In our cohort, the relation between neural integrity and frailty phenotype in men plausibly indicates that neural decay is tightly linked to physical fragility in this group. Instead, the absence of correlation between frailty score and neural integrity in females may be related to other epigenetic and environmental factors, such as reserve and compensation mechanisms plausibly attenuating the effects of neural decay on frailty phenotype. The link between physical activity and neural integrity is documented by several studies showing the role of physical activity in the prevention of dementia [33,34], and the association of physical activity with lower age-related gray and white matter loss and with lower levels of neurotoxic factors [35]. The mechanisms involved in the role of physical activity in protecting brain health and promoting neuroplasticity include the improvement in respiratory function [36], cerebral perfusion, and reduction in the risk of vascular diseases (e.g., plaque deposits in arteries, atherosclerosis, hypertension, and stroke) [37,38,39,40].
This study is not exempt from limitations. First, this is a cross-sectional investigation, and the findings need to be confirmed by a further longitudinal study. Moreover, our cohort was small in size, and the sub-groups (frail, pre-frail, robust group) included a small number of subjects. Nevertheless, the subjects included in this analysis were well-characterized in terms of clinical, behavioral, and also neural integrity profiles.
5. Conclusions
In conclusion, our findings hint how critical it is to deepen understanding of the differential role of neural, clinical and behavioral risk factors between women and men in the frailty phenotype. This is a relevant issue considering the potential reversibility of the frailty phenotype. Taken together, the results suggest the importance of sex-specific prevention and treatment strategies for frailty. On the one hand, females could benefit from screening, diagnosis, and interventions to counteract depression [5]. Among interventions, social enhancement activities may positively impact mood in women at risk of frailty. Music-based interventions, such as dance-based group therapy, for example, can be effective in the prevention and treatment of depression through the stimulation of music-evoked emotions and pleasure that stimulate the reward and emotion network [41] and through the stimulation of physical activity itself [42] to prevent frailty conditions, and reduced neural integrity may be an informative index of an increased risk of frailty syndrome in men. Indeed, physical activity has been shown to stimulate the growth of brain-derived neurotrophic factor (BDNF) and insulin-like growth factor-1 [35,43]. The down-regulation of oxidative stress and inflammatory responses [39,44], and the reduction in neurotoxic factors such as beta-amyloid and excessive glucose [37,45] have also been implicated. Longitudinal evaluation of our cohort and other studies with longitudinal designs may help to better understand gender trajectories among frailty aging.
Author Contributions
Conceptualization, F.B. and V.B.; data curation, S.I., M.C. (Marta Cazzoli), G.B. and F.R.; formal analysis, S.I. and M.C. (Monia Cabinio); investigation, M.C. (Marta Cazzoli), G.B., M.C. (Monia Cabinio), F.R. and F.G.; supervision, F.G., F.B. and V.B.; writing—original draft, S.I. and V.B.; writing—review and editing, M.C. (Marta Cazzoli), G.B., M.C. (Monia Cabinio), F.R., F.G. and F.B. All authors have read and agreed to the published version of the manuscript.
Funding
S.I. was supported with a scholarship from Fondazione Cariplo within the project “Transcription factor PREP1 in the frailty phenotype”. This research was conducted with the financial support of the Italian Ministry of Health (Ricerca Corrente program 2022–2024).
Institutional Review Board Statement
The study was conducted in accordance with the Declaration of Helsinki, and approved by the Don Gnocchi Foundation Ethics Committee.
Informed Consent Statement
Informed consent was obtained from all subjects involved in the study.
Data Availability Statement
The raw data supporting the conclusions of this article will be made available upon reasonable request by the corresponding author.
Acknowledgments
We acknowledge all the participants in the research for their availability to take part in the study.
Conflicts of Interest
The authors declare no conflict of interest.
References
- Dent, E.; Martin, F.C.; Bergman, H.; Woo, J.; Romero-Ortuno, R.; Walston, J.D. Management of frailty: Opportunities, challenges, and future directions. Lancet 2019, 394, 1376–1386. [Google Scholar] [CrossRef]
- Park, C.; Ko, F.C. The Science of Frailty: Sex Differences. Clin. Geriatr. Med. 2021, 37, 625–638. [Google Scholar] [CrossRef] [PubMed]
- Gordon, E.H.; Peel, N.M.; Samanta, M.; Theou, O.; Howlett, S.E.; Hubbard, R.E. Sex differences in frailty: A systematic review and meta-analysis. Exp. Gerontol. 2017, 89, 30–40. [Google Scholar] [CrossRef] [PubMed]
- Gordon, E.H.; Hubbard, R.E. Do sex differences in chronic disease underpin the sex-frailty paradox? Mech. Ageing Dev. 2019, 179, 44–50. [Google Scholar] [CrossRef]
- Gordon, E.H.; Hubbard, R.E. Differences in frailty in older men and women. Med. J. Aust. 2020, 212, 183–188. [Google Scholar] [CrossRef] [PubMed]
- Kane, A.E.; Howlett, S.E. Sex differences in frailty: Comparisons between humans and preclinical models. Mech. Ageing Dev. 2021, 198, 111546. [Google Scholar] [CrossRef]
- Crimmins, E.M.; Kim, J.K.; Solé-Auró, A. Gender differences in health: Results from SHARE, ELSA and HRS. Eur. J. Public Health 2011, 21, 81–91. [Google Scholar] [CrossRef]
- Whitson, H.E.; Landerman, L.R.; Newman, A.B.; Fried, L.P.; Pieper, C.F.; Cohen, H.J. Chronic medical conditions and the sex-based disparity in disability: The Cardiovascular Health Study. J. Gerontol. A Biol. Sci. Med. Sci. 2010, 65, 1325–1331. [Google Scholar] [CrossRef]
- Kingston, A.; Davies, K.; Collerton, J.; Robinson, L.; Duncan, R.; Bond, J.; Kirkwood, T.B.; Jagger, C. The contribution of diseases to the male-female disability-survival paradox in the very old: Results from the Newcastle 85+ study. PLoS ONE 2014, 9, e88016. [Google Scholar] [CrossRef]
- Avedano, M.; Mackenbach, J. Changes in Physical Health among Older Europeans. In First Results from the Survey of Health, Ageing and Retirement in Europe (2004–2007); Borsch-Supan, A., Brugiavini, A., Jurges, H., Eds.; Mannheim Research Institute for the Economics of Aging: Mannheim, Germany, 2008; pp. 118–124. [Google Scholar]
- Hubbard, R.E.; Rockwood, K. Frailty in older women. Maturitas 2011, 69, 203–207. [Google Scholar] [CrossRef]
- Ruan, Q.; Yu, Z.; Chen, M.; Bao, Z.; Li, J.; He, W. Cognitive frailty, a novel target for the prevention of elderly dependency. Ageing Res. Rev. 2015, 20, 1–10. [Google Scholar] [CrossRef]
- Avila-Funes, J.A.; Carcaillon, L.; Helmer, C.; Carrière, I.; Ritchie, K.; Rouaud, O.; Tzourio, C.; Dartigues, J.F.; Amieva, H. Is frailty a prodromal stage of vascular dementia? Results from the Three-City Study. J. Am. Geriatr. Soc. 2012, 60, 1708–1712. [Google Scholar] [CrossRef]
- Kelaiditi, E.; Cesari, M.; Canevelli, M.; van Kan, G.A.; Ousset, P.J.; Gillette-Guyonnet, S.; Ritz, P.; Duveau, F.; Soto, M.E.; Provencher, V.; et al. Cognitive frailty: Rational and definition from an (I.A.N.A./I.A.G.G.) international consensus group. J. Nutr. Health Aging 2013, 17, 726–734. [Google Scholar] [CrossRef]
- Bohannon, R.W. Comfortable and maximum walking speed of adults aged 20–79 years: Reference values and determinants. Age Ageing 1997, 26, 15–19. [Google Scholar] [CrossRef]
- Richardson, M.T.; Leon, A.S.; Jacobs, D.R., Jr.; Ainsworth, B.E.; Serfass, R. Comprehensive evaluation of the Minnesota Leisure Time Physical Activity Questionnaire. J. Clin. Epidemiol. 1994, 47, 271–281. [Google Scholar] [CrossRef]
- Fried, L.P.; Tangen, C.M.; Walston, J.; Newman, A.B.; Hirsch, C.; Gottdiener, J.; Seeman, T.; Tracy, R.; Kop, W.J.; Burke, G.; et al. Frailty in older adults: Evidence for a phenotype. J. Gerontol. A Biol. Sci. Med. Sci. 2001, 56, M146–M156. [Google Scholar] [CrossRef]
- Washburn, R.A.; Smith, K.W.; Jette, A.M.; Janney, C.A. The Physical Activity Scale for the Elderly (PASE): Development and evaluation. J. Clin. Epidemiol. 1993, 46, 153–162. [Google Scholar] [CrossRef]
- Conti, S.; Bonazzi, S.; Laiacona, M.; Masina, M.; Coralli, M.V. Montreal Cognitive Assessmen (MoCA)-Italian version: Regression based norms and equivalent scores. Neurol. Sci. 2015, 36, 209–214. [Google Scholar] [CrossRef]
- Radloff, L.S. The CES-D scale: A self-report depression scale for research in the general population. Appl. Psychol. Meas. 1977, 1, 385–401. [Google Scholar] [CrossRef]
- Galasko, D.; Bennett, D.; Sano, M.; Ernesto, C.; Thomas, R.; Grundman, M.; Ferris, S. An inventory to assess activities of daily living for clinical trials in Alzheimer’s disease. The Alzheimer’s Disease Cooperative Study. Alzheimer Dis. Assoc. Disord. 1997, 11 (Suppl. S2), S33–S39. [Google Scholar] [CrossRef]
- Charlson, M.E.; Pompei, P.; Ales, K.L.; MacKenzie, C.R. A new method of classifying prognostic comorbidity in longitudinal studies: Development and validation. J. Chronic Dis. 1987, 40, 373–383. [Google Scholar] [CrossRef] [PubMed]
- Radovanovic, D.; Seifert, B.; Urban, P.; Eberli, F.R.; Rickli, H.; Bertel, O.; Puhan, M.A.; Erne, P. Validity of Charlson Comorbidity Index in patients hospitalised with acute coronary syndrome. Insights from the nationwide AMIS Plus registry 2002–2012. Heart 2014, 100, 288–294. [Google Scholar] [CrossRef] [PubMed]
- Klapwijk, E.T.; van de Kamp, F.; van der Meulen, M.; Peters, S.; Wierenga, L.M. Qoala-T: A supervised-learning tool for quality control of FreeSurfer segmented MRI data. Neuroimage 2019, 189, 116–129. [Google Scholar] [CrossRef] [PubMed]
- Fischl, B.; Salat, D.H.; Busa, E.; Albert, M.; Dieterich, M.; Haselgrove, C.; van der Kouwe, A.; Killiany, R.; Kennedy, D.; Klaveness, S.; et al. Whole brain segmentation: Automated labeling of neuroanatomical structures in the human brain. Neuron 2002, 33, 341–355. [Google Scholar] [CrossRef] [PubMed]
- Buigues, C.; Padilla-Sánchez, C.; Garrido, J.F.; Navarro-Martínez, R.; Ruiz-Ros, V.; Cauli, O. The relationship between depression and frailty syndrome: A systematic review. Aging Ment. Health 2015, 19, 762–772. [Google Scholar] [CrossRef]
- Mezuk, B.; Edwards, L.; Lohman, M.; Choi, M.; Lapane, K. Depression and frailty in later life: A synthetic review. Int. J. Geriatr. Psychiatry 2012, 27, 879–892. [Google Scholar] [CrossRef]
- Verbrugge, L.M. Gender and health: An update on hypotheses and evidence. J. Health Soc. Behav. 1985, 26, 156–182. [Google Scholar] [CrossRef]
- Newman, A.B.; Brach, J.S. Gender gap in longevity and disability in older persons. Epidemiol. Rev. 2001, 23, 343–350. [Google Scholar] [CrossRef]
- Asztalos, M.; De Bourdeaudhuij, I.; Cardon, G. The relationship between physical activity and mental health varies across activity intensity levels and dimensions of mental health among women and men. Public Health Nutr. 2010, 13, 1207–1214. [Google Scholar] [CrossRef]
- Cabeza, R.; Albert, M.; Belleville, S.; Craik, F.I.M.; Duarte, A.; Grady, C.L.; Lindenberger, U.; Nyberg, L.; Park, D.C.; Reuter-Lorenz, P.A.; et al. Maintenance, reserve and compensation: The cognitive neuroscience of healthy ageing. Nat. Rev. Neurosci. 2018, 19, 701–710. [Google Scholar] [CrossRef]
- Neufer, P.D.; Bamman, M.M.; Muoio, D.M.; Bouchard, C.; Cooper, D.M.; Goodpaster, B.H.; Booth, F.W.; Kohrt, W.M.; Gerszten, R.E.; Mattson, M.P.; et al. Understanding the Cellular and Molecular Mechanisms of Physical Activity-Induced Health Benefits. Cell Metab. 2015, 22, 4–11. [Google Scholar] [CrossRef]
- Llamas-Velasco, S.; Contador, I.; Villarejo-Galende, A.; Lora-Pablos, D.; Bermejo-Pareja, F. Physical Activity as Protective Factor against Dementia: A Prospective Population-Based Study (NEDICES). J. Int. Neuropsychol. Soc. 2015, 21, 861–867. [Google Scholar] [CrossRef]
- Hamer, M.; Chida, Y. Physical activity and risk of neurodegenerative disease: A systematic review of prospective evidence. Psychol. Med. 2009, 39, 3–11. [Google Scholar] [CrossRef]
- Cheng, S.T. Cognitive Reserve and the Prevention of Dementia: The Role of Physical and Cognitive Activities. Curr. Psychiatry Rep. 2016, 18, 85. [Google Scholar] [CrossRef]
- Lin, X.; Zhang, X.; Guo, J.; Roberts, C.K.; McKenzie, S.; Wu, W.C.; Liu, S.; Song, Y. Effects of Exercise Training on Cardiorespiratory Fitness and Biomarkers of Cardiometabolic Health: A Systematic Review and Meta-Analysis of Randomized Controlled Trials. J. Am. Heart Assoc. 2015, 4, e002014. [Google Scholar] [CrossRef]
- Herzig, K.H.; Ahola, R.; Leppäluoto, J.; Jokelainen, J.; Jämsä, T.; Keinänen-Kiukaanniemi, S. Light physical activity determined by a motion sensor decreases insulin resistance, improves lipid homeostasis and reduces visceral fat in high-risk subjects: PreDiabEx study RCT. Int. J. Obes. 2014, 38, 1089–1096. [Google Scholar] [CrossRef]
- Mobasseri, M.; Yavari, A.; Najafipoor, F.; Aliasgarzadeh, A.; Niafar, M. Effect of a long-term regular physical activity on hypertension and body mass index in type 2 diabetes patients. J. Sports Med. Phys. Fit. 2015, 55, 84–90. [Google Scholar]
- Vinetti, G.; Mozzini, C.; Desenzani, P.; Boni, E.; Bulla, L.; Lorenzetti, I.; Romano, C.; Pasini, A.; Cominacini, L.; Assanelli, D. Supervised exercise training reduces oxidative stress and cardiometabolic risk in adults with type 2 diabetes: A randomized controlled trial. Sci. Rep. 2015, 5, 9238. [Google Scholar] [CrossRef]
- Boraxbekk, C.J.; Salami, A.; Wåhlin, A.; Nyberg, L. Physical activity over a decade modifies age-related decline in perfusion, gray matter volume, and functional connectivity of the posterior default-mode network-A multimodal approach. Neuroimage 2016, 131, 133–141. [Google Scholar] [CrossRef]
- Sihvonen, A.J.; Särkämö, T.; Leo, V.; Tervaniemi, M.; Altenmüller, E.; Soinila, S. Music-based interventions in neurological rehabilitation. Lancet Neurol. 2017, 16, 648–660. [Google Scholar] [CrossRef]
- Pearce, M.; Garcia, L.; Abbas, A.; Strain, T.; Schuch, F.B.; Golubic, R.; Kelly, P.; Khan, S.; Utukuri, M.; Laird, Y.; et al. Association Between Physical Activity and Risk of Depression: A Systematic Review and Meta-analysis. JAMA Psychiatry 2022, 79, 550–559. [Google Scholar] [CrossRef] [PubMed]
- Erickson, K.I.; Miller, D.L.; Roecklein, K.A. The aging hippocampus: Interactions between exercise, depression, and BDNF. Neuroscientist 2012, 18, 82–97. [Google Scholar] [CrossRef] [PubMed]
- Nishida, Y.; Tanaka, K.; Hara, M.; Hirao, N.; Tanaka, H.; Tobina, T.; Ikeda, M.; Yamato, H.; Ohta, M. Effects of home-based bench step exercise on inflammatory cytokines and lipid profiles in elderly Japanese females: A randomized controlled trial. Arch. Gerontol. Geriatr. 2015, 61, 443–451. [Google Scholar] [CrossRef] [PubMed]
- Liang, K.Y.; Mintun, M.A.; Fagan, A.M.; Goate, A.M.; Bugg, J.M.; Holtzman, D.M.; Morris, J.C.; Head, D. Exercise and Alzheimer’s disease biomarkers in cognitively normal older adults. Ann. Neurol. 2010, 68, 311–318. [Google Scholar] [CrossRef]
Disclaimer/Publisher’s Note: The statements, opinions and data contained in all publications are solely those of the individual author(s) and contributor(s) and not of MDPI and/or the editor(s). MDPI and/or the editor(s) disclaim responsibility for any injury to people or property resulting from any ideas, methods, instructions or products referred to in the content. |
© 2023 by the authors. Licensee MDPI, Basel, Switzerland. This article is an open access article distributed under the terms and conditions of the Creative Commons Attribution (CC BY) license (https://creativecommons.org/licenses/by/4.0/).


