The Pre-Operative Duration of Symptoms: The Most Important Predictor of Post-Operative Efficacy in Patients with Degenerative Cervical Myelopathy
Abstract
:1. Introduction
2. Materials and Methods
2.1. Study Participants
2.2. The Basic Data Collected and Parameters Measured
The Basic Data Included the Following
2.3. Outcome Measures
2.3.1. Statistical Analysis
2.3.2. Reliability Analysis
3. Results
3.1. Basic Data and the Comparison among the Different Surgical Method Groups
3.2. Comparison between the Excellent Improvement Group and Poor Improvement Group
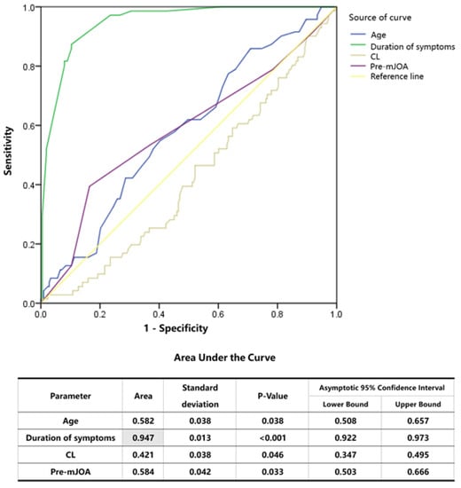
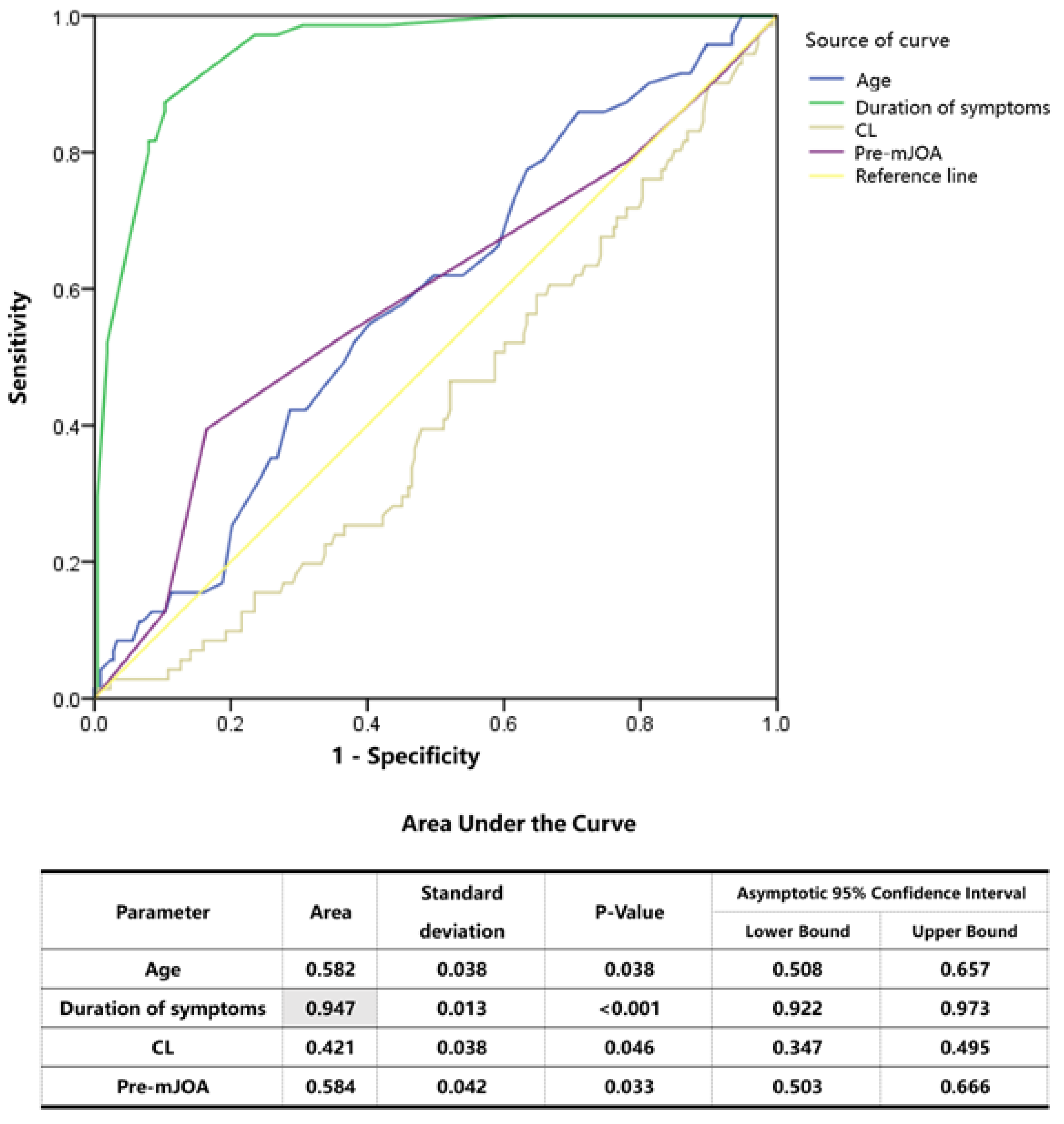
3.3. Correlation between the Pre-operative Basic Data, Imaging Parameters and Post-Operative Efficacy
4. Discussion
5. Conclusions
Author Contributions
Funding
Institutional Review Board Statement
Informed Consent Statement
Data Availability Statement
Conflicts of Interest
References
- Lebl, D.R.; Hughes, A.; Cammisa, F.P.; O’Leary, P.F. Cervical spondylotic myelopathy: Pathophysiology, clinical presentation, and treatment. HSS J. 2011, 7, 170–178. [Google Scholar]
- Xu, Y.; Liu, S.; Wang, F.; Wu, X. Cervical sagittal parameters were closely related to Neck Disability Index score after anterior cervical decompression and fusion. J. Orthop. Surg. Res. 2020, 15, 325. [Google Scholar]
- Kato, M.; Namikawa, T.; Matsumura, A.; Konishi, S.; Nakamura, H. Effect of Cervical Sagittal Balance on Laminoplasty in Patients with Cervical Myelopathy. Global Spine J. 2017, 7, 154–161. [Google Scholar]
- Nicholson, K.J.; Millhouse, P.W.; Pflug, E.; Woods, B.; Schroeder, G.D.; Anderson, D.G.; Hilibrand, A.S.; Kepler, C.K.; Kurd, M.F.; Rihn, J.A.; et al. Cervical Sagittal Range of Motion as a Predictor of Symptom Severity in Cervical Spondylotic Myelopathy. Spine 2018, 43, 883–889. [Google Scholar]
- Kim, S.W.; Kim, T.H.; Bok, D.H.; Jang, C.; Yang, M.H.; Lee, S.; Yoo, J.H.; Kwak, Y.H.; Oh, J.K. Analysis of cervical spine alignment in currently asymptomatic individuals: Prevalence of kyphotic posture and its relationship with other spinopelvic parameters. Spine J. 2018, 18, 797–810. [Google Scholar]
- Khalil, N.; Bizdikian, A.J.; Bakouny, Z.; Salameh, M.; Zeid, N.B.; Yared, F.; Otayek, J.; Kharrat, K.; Kreichati, G.; Ghanem, I.; et al. Cervical and postural strategies for maintaining horizontal gaze in asymptomatic adults. Eur. Spine J. 2018, 27, 2700–2709. [Google Scholar]
- Baron, E.M.; Young, W.F. Cervical spondylotic myelopathy: A brief review of its pathophysiology, clinical course, and diagnosis. Neurosurgery 2007, 60 (Suppl. S1), S35–S41. [Google Scholar]
- Nouri, A.; Martin, A.R.; Mikulis, D.; Fehlings, M.G. Magnetic resonance imaging assessment of degenerative cervical myelopathy: A review of structural changes and measurement techniques. Neurosurg. Focus 2016, 40, E5. [Google Scholar]
- Nakashima, H.; Yukawa, Y.; Suda, K.; Yamagata, M.; Ueta, T.; Kato, F. Abnormal findings on magnetic resonance images of the cervical spines in 1211 asymptomatic subjects. Spine 2015, 40, 392–398. [Google Scholar]
- Smith, S.S.; Stewart, M.E.; Davies, B.M.; Kotter, M.R.N. The Prevalence of Asymptomatic and Symptomatic Spinal Cord Compression on Magnetic Resonance Imaging: A Systematic Review and Meta-analysis. Glob. Spine J. 2021, 11, 597–607. [Google Scholar]
- Nouri, A.; Tetreault, L.; Singh, A.; Karadimas, S.K.; Fehlings, M.G. Degenerative cervical myelopathy: Epidemiology, genetics, and pathogenesis. Spine 2015, 40, E675–E693. [Google Scholar]
- Wang, T.; Wang, H.; Liu, S.; An, H.-D.; Liu, H.; Ding, W.-Y. Anterior cervical discectomy and fusion versus anterior cervical corpectomy and fusion in multilevel cervical spondylotic myelopathy: A meta-analysis. Medicine 2016, 95, e5437. [Google Scholar]
- Xu, Z.; Rao, H.; Zhang, L.; Li, G.; Xu, Z.; Xu, W. Anterior Cervical Discectomy and Fusion Versus Hybrid Decompression and Fusion for the Treatment of 3-Level Cervical Spondylotic Myelopathy: A Comparative Analysis of Cervical Sagittal Balance and Outcomes. World Neurosurg. 2019, 132, e752–e758. [Google Scholar]
- Lopez, W.Y.; Goh, B.C.; Upadhyaya, S.; Ziino, C.; Georgakas, P.J.; Gupta, A.; Tobert, D.G.; Fogel, H.A.; Cha, T.D.; Schwab, J.H.; et al. Laminoplasty-an underutilized procedure for cervical spondylotic myelopathy. Spine J. 2021, 21, 571–577. [Google Scholar]
- Tang, J.A.; Scheer, J.K.; Smith, J.S.; Deviren, V.; Bess, S.; Hart, R.A.; Lafage, V.; Shaffrey, C.I.; Schwab, F.; Ames, C.P. The impact of standing regional cervical sagittal alignment on outcomes in posterior cervical fusion surgery. Neurosurgery 2015, 76, S14–S21. [Google Scholar]
- Nouri, A.; Tetreault, L.; Dalzell, K.; Zamorano, J.J.; Fehlings, M.G. The Relationship Between Preoperative Clinical Presentation and Quantitative Magnetic Resonance Imaging Features in Patients with Degenerative Cervical Myelopathy. Neurosurgery 2017, 80, 121–128. [Google Scholar]
- Matz, P.G.; Anderson, P.A.; Holly, L.T.; Groff, M.W.; Heary, R.F.; Kaiser, M.G.; Mummaneni, P.V.; Ryken, T.C.; Choudhri, T.F.; Vresilovic, E.J.; et al. The natural history of cervical spondylotic myelopathy. J. Neurosurg. Spine 2009, 11, 104–111. [Google Scholar]
- Behrbalk, E.; Salame, K.; Regev, G.J.; Keynan, O.; Boszczyk, B.; Lidar, Z. Delayed diagnosis of cervical spondylotic myelopathy by primary care physicians. Neurosurg. Focus 2013, 35, E1. [Google Scholar]
- Moltó, A.; Dougados, M. Comorbidity indices. Clin. Exp. Rheumatol. 2014, 32 (Suppl. S85), S131–S134. [Google Scholar]
- Lau, T.W.; Fang, C.; Leung, F. Assessment of postoperative short-term and long-term mortality risk in Chinese geriatric patients for hip fracture using the Charlson comorbidity score. Hong Kong Med. J. 2016, 22, 16–22. [Google Scholar]
- Sim, D.S.; Tay, K.; Howe, T.S.; Koh, S.B.J. Preoperative severe vitamin D deficiency is a significant independent risk factor for poorer functional outcome and quality of life 6 months after surgery for fragility hip fractures. Osteoporos. Int. 2021, 32, 2217–2224. [Google Scholar]








| Cervical Sagittal Parameters | The Measuring Method (Figure 4) |
|---|---|
| C2-C7 cobb angle (CL) | The cobb angle between the C2 lower endplate and C7 lower endplate, with (+) for lordosis and (−) for kyphosis. |
| T1 slope (T1S) | The angle between a horizontal line and the T1 superior endplate. |
| C2-7 sagittal vertical axis (SVA) | The distance between the plumb line through the center of C2 and the plumb line of the posterior of the C7 upper endplate. |
| Parameters in MRI | The measuring method (Figure 5). |
| Maximum spinal cord compression (MSCC) | A midsagittal T2-WI of a patient with DCM, including the width of the spinal cord at the most compressed site (di) and the width of the spinal cord at normal sites above (da) and below (db) the site of maximum compression. MSCC = 1 − di/[(da + db)/2]. |
| Maximum canal compromise (MCC) | A midsagittal T2-WI of a patient with DCM, including the width of the canal at the most stenotic site (Di) and the width of the spinal canal at normal sites above (Da) and below (Db) the canal stenosis. MCC = 1 − Di/[(Da + Db)/2]. |
| Transverse area (TA) | A midsagittal T2-WI of a patient with DCM, the cross-sectional area of the spinal cord at the most severely compressed segment was measured. |
| Transverse area ratio (TAR) | A midsagittal T2-WI of a patient with DCM, including the cross-sectional area of compressed spinal cord (TA) and the cross-sectional area of upper and lower normal spinal cord (TA1,TA2). TAR = 1 − TA/[(TA1 + TA2)/2]. |
| Compression ratio (CR) | A midsagittal T2-WI of a patient with DCM, a ratio between the anteroposterior diameter and the transverse diameter on the cross-sectional of spinal cord compression. CR = S/T. |
| Coefficient compression ratio (CCR) | A midsagittal T2-WI of a patient with DCM, including the CR of compressed spinal cord (CR1) and the CR of upper and lower normal spinal cord (CR2,CR3). CCR = 1 − CR1/[(CR2 + CR3)/2]. |
| Single-ACDF (N = 80) | Double-ACDF (N = 56) | Three-ACDF (N = 13) | ACCF (N = 63) | ACHDF (N = 25) | Laminoplasty (N = 38) | Laminectomy and Fusion (N = 9) | × 2/F | p-Value | |
|---|---|---|---|---|---|---|---|---|---|
| Age | 53.1 ± 10.0 | 56.6 ± 11.9 | 50.1 ± 9.2 | 54.3 ± 11.5 | 57.6 ± 9.9 | 58.2 ± 10.3 | 56.6 ± 6.8 | 1.985 | 0.068 |
| Gender (Female, n (%)) | 36 (45%) | 24 (42.9%) | 4 (30.8%) | 23 (36.5%) | 4 (16%) | 9 (23.7%) | 3 (33.3%) | 10.942 | 0.09 |
| BMI | 24.1 ± 2.7 | 23.4 ± 3.2 | 24.1 ± 2.2 | 23.6 ± 3.1 | 23.2 ± 2.9 | 23.5 ± 3.0 | 24.3 ± 2.7 | 0.583 | 0.744 |
| Duration of symptoms (months) | 3.5 (2.0~8.0) | 3.5 (1.0~12.0) | 2.0 (1.0~6.0) | 4.0 (1.0~12.0) | 4.0 (1.5~12.0) | 3.0 (1.0~12.0) | 2.0 (1.5~7.5) | 1.856 | 0.932 |
| Smoking (n (%)) | 18 (22.5%) | 19 (33.9%) | 3 (23.1%) | 21 (33.3%) | 10 (40%) | 14 (36.8%) | 2 (22.2%) | 5.363 | 0.498 |
| Drinking (n (%)) | 23 (28.8%) | 14 (25%) | 3 (23.1%) | 19 (30.2%) | 9 (36%) | 9 (23.7%) | 3 (33.3%) | 1.835 | 0.934 |
| CCI | 2.0 (0.0~3.0) | 2.0 (1.0~3.0) | 1.0 (0.0~2.5) | 2.0 (0.0~3.0) | 2.0 (0.5~3.5) | 2.0 (0.0~3.0) | 3.0 (1.5~3.5) | 9.735 | 0.136 |
| CCI classification (0–1 point, n (%)) | 36 (45%) | 21 (37.5%) | 8 (61.5%) | 31 (49.2%) | 8 (32%) | 16 (42.1%) | 2 (22.2%) | 6.468 | 0.373 |
| CL | 16.9 ± 9.7 | 14.8 ± 10.1 | 14.4 ± 7.8 | 17.1 ± 9.5 | 17.5 ± 10.8 | 15.6 ± 9.9 | 12.8 ± 5.1 | 0.727 | 0.629 |
| T1S | 24.8 ± 8.2 | 24.6 ± 7.7 | 21.2 ± 4.8 | 26.8 ± 6.6 | 25.2 ± 7.5 | 25.5 ± 7.2 | 26.0 ± 5.7 | 1.222 | 0.295 |
| C2-7SVA (mm) | 16.0 ± 11.0 | 17.0 ± 12.1 | 14.7 ± 9.5 | 14.4 ± 10.9 | 15.0 ± 11.4 | 14.6 ± 10.7 | 28.4 ± 13.1 | 2.260 | 0.038 * |
| CL(F) | −18.9 ± 9.8 | −17.4 ± 10.1 | −17.8 ± 8.7 | −15.9 ± 9.6 | −18.4 ± 8.8 | −19.3 ± 8.7 | −15.7 ± 9.5 | 0.873 | 0.515 |
| T1S(F) | 32.2 ± 10.3 | 34.2 ± 10.0 | 28.2 ± 6.4 | 37.7 ± 7.7 | 36.3 ± 5.7 | 33.3 ± 7.2 | 31.1 ± 6.1 | 3.978 | 0.001 ** |
| C2-7SVA (F) | 62.3 ± 16.8 | 63.3 ± 13.4 | 53.6 ± 14.7 | 64.5 ± 11.6 | 65.8 ± 9.6 | 62.1 ± 11.0 | 63.0 ± 12.7 | 1.435 | 0.201 |
| CL(E) | 28.9 ± 11.9 | 27.1 ± 13.0 | 21.8 ± 8.8 | 28.1 ± 11.6 | 24.6 ± 12.0 | 25.9 ± 12.3 | 25.1 ± 10.2 | 1.083 | 0.373 |
| T1S(E) | 22.1 ± 9.8 | 22.3 ± 7.8 | 17.5 ± 6.2 | 23.0 ± 9.7 | 20.5 ± 8.8 | 22.4 ± 7.9 | 23.2 ± 5.2 | 0.867 | 0.519 |
| C2-7SVA (E) | 1.5 (−12.7~7.5) | 3.7 (−5.9~8.9) | 5.8 (−5.3~16.0) | 2.0 (−15.8~6.4) | 3.0 (−15.2~11.3) | −1.8 (−9.7~7.0) | 7.5 (3.7~14.0) | 11.447 | 0.075 |
| CL(ROM) | 47.8 ± 14.3 | 44.5 ± 13.2 | 39.5 ± 11.2 | 44.0 ± 13.6 | 43.0 ± 14.5 | 45.3 ± 13.1 | 40.8 ± 11.8 | 1.202 | 0.305 |
| T1S(ROM) | −10.1 ± 9.0 | −11.8 ± 10.2 | −10.8 ± 7.1 | −14.7 ± 12.1 | −15.8 ± 9.5 | −11.0 ± 8.2 | −7.9 ± 6.2 | 2.323 | 0.033 * |
| C2-7SVA (ROM) | −63.1 ± 24.7 | −60.8 ± 20.1 | −49.1 ± 19.2 | −68.1 ± 21.2 | −67.2 ± 21.0 | −63.2 ± 18.0 | −54.8 ± 17.1 | 1.976 | 0.069 |
| MSCC | 0.39 ± 0.14 | 0.40 ± 0.11 | 0.44 ± 0.15 | 0.44 ± 0.12 | 0.45 ± 0.14 | 0.42 ± 0.11 | 0.46 ± 0.10 | 1.709 | 0.119 |
| MCC | 0.50 ± 0.15 | 0.52 ± 0.13 | 0.56 ± 0.11 | 0.56 ± 0.12 | 0.55 ± 0.15 | 0.52 ± 0.13 | 0.55 ± 0.14 | 1.420 | 0.207 |
| TA | 0.52 ± 0.15 | 0.48 ± 0.11 | 0.50 ± 0.08 | 0.44 ± 0.13 | 0.44 ± 0.15 | 0.45 ± 0.14 | 0.49 ± 0.22 | 2.748 | 0.013 * |
| TAR | 0.40 ± 0.13 | 0.43 ± 0.12 | 0.43 ± 0.09 | 0.46 ± 0.12 | 0.45 ± 0.14 | 0.45 ± 0.11 | 0.48 ± 0.11 | 1.793 | 0.1 |
| CR | 0.26 ± 0.08 | 0.24 ± 0.07 | 0.22 ± 0.07 | 0.21 ± 0.08 | 0.21 ± 0.07 | 0.23 ± 0.09 | 0.22 ± 0.06 | 2.784 | 0.012 * |
| CCR | 0.44 ± 0.15 | 0.46 ± 0.13 | 0.50 ± 0.14 | 0.51 ± 0.14 | 0.50 ± 0.16 | 0.49 ± 0.13 | 0.46 ± 0.13 | 1.843 | 0.091 |
| Pre-VAS | 4.1 ± 2.1 | 4.4 ± 2.3 | 4.1 ± 2.7 | 4.4 ± 2.4 | 5.0 ± 2.5 | 4.1 ± 2.5 | 4.7 ± 2.1 | 0.607 | 0.725 |
| Pre-NDI | 15.8 ± 8.3 | 17.1 ± 9.3 | 17.0 ± 10.8 | 17.8 ± 9.2 | 17.8 ± 9.1 | 13.9 ± 9.4 | 19.7 ± 7.8 | 1.127 | 0.347 |
| Pre-mJOA | 9.8 ± 1.5 | 9.6 ± 1.4 | 9.3 ± 0.9 | 9.3 ± 1.3 | 9.0 ± 1.3 | 9.3 ± 1.2 | 9.0 ± 1.6 | 1.680 | 0.126 |
| Surgical time (min) | 100.2 ± 14.9 | 133.5 ± 16.5 | 158.7 ± 13.7 | 118.1 ± 16.6 | 140.5 ± 18.4 | 139.4 ± 13.8 | 179.2 ± 19.5 | 73.238 | <0.001 ** |
| Blood loss (mL) | 51.1 ± 16.9 | 74.7 ± 20.8 | 102.3 ± 10.7 | 192.7 ± 34.0 | 220.2 ± 36.8 | 174.5 ± 31.6 | 289.4 ± 46.9 | 320.761 | <0.001 ** |
| Post-VAS (1) | 2.1 ± 0.9 | 2.1 ± 1.1 | 2.7 ± 0.9 | 2.1 ± 1.1 | 2.1 ± 1.2 | 2.1 ± 1.1 | 2.8 ± 0.8 | 1.181 | 0.316 |
| Post-NDI (1) | 8.0 ± 4.6 | 9.4 ± 5.1 | 9.9 ± 4.7 | 8.8 ± 5.2 | 9.5 ± 5.4 | 8.0 ± 5.4 | 9.3 ± 4.4 | 0.829 | 0.548 |
| Post-mJOA (1) | 15.6 ± 1.5 | 15.2 ± 1.8 | 16.2 ± 1.2 | 15.5 ± 1.9 | 14.9 ± 2.0 | 15.0 ± 2.4 | 15.1 ± 1.9 | 1.393 | 0.217 |
| mJOA recovery rate% (1) | 69.6 ± 19.9 | 65.4 ± 22.7 | 77.4 ± 17.7 | 71.6 ± 21.1 | 65.6 ± 20.5 | 64.9 ± 27.3 | 68.3 ± 20.0 | 1.041 | 0.399 |
| Post-VAS (3) | 1.8 ± 0.9 | 1.7 ± 0.9 | 1.5 ± 1.0 | 1.8 ± 0.9 | 1.9 ± 1.0 | 1.9 ± 0.9 | 1.9 ± 0.6 | 0.456 | 0.840 |
| Post-NDI (3) | 5.9 ± 4.3 | 7.1 ± 4.8 | 7.8 ± 3.8 | 7.0 ± 4.4 | 7.8 ± 4.4 | 5.9 ± 4.2 | 7.9 ± 4.1 | 1.280 | 0.266 |
| Post-mJOA (3) | 15.5 ± 1.5 | 15.2 ± 1.8 | 16.1 ± 1.0 | 15.6 ± 1.7 | 14.9 ± 2.0 | 15.0 ± 2.3 | 15.1 ± 1.9 | 1.293 | 0.260 |
| mJOA recovery rate% (3) | 68.9 ± 19.8 | 65.6 ± 22.4 | 76.6 ± 16.1 | 71.8 ± 20.0 | 65.7 ± 20.8 | 64.9 ± 26.4 | 68.3 ± 20.0 | 0.981 | 0.438 |
| Post-VAS (6) | 1.6 ± 0.9 | 1.6 ± 0.8 | 1.3 ± 0.6 | 1.7 ± 0.8 | 1.7 ± 0.7 | 1.7 ± 0.8 | 1.7 ± 0.5 | 0.648 | 0.692 |
| Post-NDI (6) | 5.7 ± 4.7 | 6.2 ± 4.3 | 6.5 ± 2.4 | 6.4 ± 4.2 | 6.8 ± 3.2 | 5.8 ± 4.3 | 7.8 ± 3.1 | 0.634 | 0.703 |
| Post-mJOA (6) | 15.5 ± 1.5 | 15.1 ± 1.8 | 15.9 ± 1.0 | 15.5 ± 1.8 | 14.9 ± 2.0 | 15.0 ± 2.3 | 15.0 ± 2.1 | 1.064 | 0.384 |
| mJOA recovery rate% (6) | 67.9 ± 20.0 | 64.6 ± 22.2 | 74.9 ± 15.2 | 70.9 ± 20.1 | 65.7 ± 20.8 | 64.6 ± 26.9 | 67.2 ± 21.4 | 0.830 | 0.548 |
| Post-VAS (12) | 1.7 ± 1.0 | 1.5 ± 0.7 | 1.3 ± 0.6 | 1.7 ± 0.8 | 1.8 ± 0.8 | 1.7 ± 0.8 | 1.7 ± 0.5 | 0.776 | 0.589 |
| Post-NDI (12) | 5.5 ± 4.3 | 5.6 ± 3.7 | 6.4 ± 1.7 | 6.3 ± 4.0 | 6.1 ± 4.6 | 5.6 ± 4.1 | 7.6 ± 2.8 | 0.582 | 0.745 |
| Post-mJOA (12) | 15.4 ± 1.5 | 15.0 ± 1.9 | 15.8 ± 1.0 | 15.4 ± 1.8 | 14.8 ± 1.9 | 14.7 ± 2.3 | 15.0 ± 2.1 | 1.124 | 0.348 |
| mJOA recovery rate% (12) | 66.8 ± 20.2 | 63.1 ± 23.4 | 73.2 ± 15.4 | 69.4 ± 20.6 | 64.8 ± 20.0 | 62.3 ± 26.7 | 67.2 ± 21.4 | 0.876 | 0.513 |
| Post-VAS (24) | 1.8 ± 1.0 | 1.6 ± 0.8 | 1.3 ± 0.6 | 1.8 ± 0.8 | 2.1 ± 1.1 | 1.8 ± 0.8 | 1.8 ± 0.7 | 1.692 | 0.123 |
| Post-NDI (24) | 6.0 ± 4.8 | 7.7 ± 5.1 | 6.3 ± 1.1 | 6.5 ± 4.3 | 7.8 ± 6.0 | 5.9 ± 4.1 | 8.0 ± 2.0 | 1.306 | 0.255 |
| Post-mJOA (24) | 15.1 ± 1.6 | 14.6 ± 1.9 | 15.4 ± 1.0 | 15.1 ± 1.9 | 14.3 ± 2.2 | 14.5 ± 2.3 | 14.2 ± 1.9 | 1.475 | 0.187 |
| mJOA recovery rate% (24) | 63.0 ± 20.8 | 59.0 ± 24.6 | 68.4 ± 17.9 | 66.8 ± 21.0 | 58.9 ± 23.0 | 59.1 ± 26.1 | 58.1 ± 19.3 | 1.081 | 0.374 |
| Group A (Excellent Improvement) (n = 213) | Group B (Poor Improvement) (n = 71) | T/× 2/Z | p-Value | |
|---|---|---|---|---|
| Age | 54.3 ± 10.8 | 57.6 ± 10.4 | 2.244 | 0.026 * |
| Gender (Female, n (%)) | 75 (35.2%) | 28 (39.4%) | 0.411 | 0.521 |
| BMI | 23.8 ± 3.0 | 23.5 ± 2.5 | −0.759 | 0.448 |
| Duration of symptoms (months) | 2.0 (1.0~5.0) | 24.0 (12.0~36.0) | −11.357 | <0.001 ** |
| Smoking (n (%)) | 68 (31.9%) | 19 (26.8%) | 0.668 | 0.414 |
| Drinking (n (%)) | 64 (30.0%) | 16 (22.5%) | 1.485 | 0.223 |
| Number of lesion segments—single | 60 (28.2%) | 20 (28.2%) | 0.000 | 1.000 |
| ≥2 | 153 (71.8%) | 51 (71.8%) | ||
| Surgical methods—Single ACDF | 60 (28.2%) | 20 (28.2%) | 6.715 | 0.348 |
| —Double ACDF | 41 (19.3%) | 15 (21.1%) | ||
| —Three ACDF | 12 (5.6%) | 1 (1.4%) | ||
| —ACCF | 51 (23.9%) | 12 (16.9%) | ||
| —ACHDF | 15 (7.0%) | 10 (14.1%) | ||
| —Laminoplasty | 27 (12.7%) | 11 (15.5%) | ||
| —Laminectomy and fusion | 7 (3.3%) | 2 (2.8%) | ||
| Surgical time (min) | 124.8 ± 25.6 | 124.4 ± 24.7 | −0.112 | 0.911 |
| Blood loss (mL) | 128.4 ± 76.0 | 128.5 ± 77.0 | 0.006 | 0.995 |
| CCI | 1.75 ± 1.6 | 2.1 ± 1.4 | 1.533 | 0.127 |
| CCI classification—0–1 point | 96 (45.1%) | 26 (36.6%) | 1.552 | 0.213 |
| ≥2 points | 117 (54.9%) | 45 (63.4%) | ||
| CL | 16.8 ± 9.9 | 14.1 ± 8.9 | 2.059 | 0.040 * |
| T1S | 25.5 ± 7.6 | 24.4 ± 6.8 | −1.027 | 0.305 |
| C2-7SVA (mm) | 15.9 ± 11.7 | 15.9 ± 10.3 | 0.007 | 0.994 |
| CL (F) | −17.9 ± 9.8 | −17.4 ± 8.6 | 0.401 | 0.689 |
| T1S (F) | 34.1 ± 9.2 | 34.1 ± 8.2 | −0.043 | 0.965 |
| C2-7SVA (F) | 62.8 ± 13.6 | 63.3 ± 13.7 | 0.300 | 0.764 |
| CL (E) | 26.9 ± 12.1 | 27.9 ± 11.5 | 0.655 | 0.513 |
| T1S (E) | 22.1 ± 9.0 | 21.8 ± 8.2 | −0.313 | 0.755 |
| C2-7SVA (E) | 2.2 (−11.1~7.8) | 3.6 (−9.5~8.8) | −0.222 | 0.824 |
| CL (ROM) | 44.8 ± 14.0 | 45.4 ± 12.7 | 0.294 | 0.769 |
| T1S (ROM) | −12.0 ± 10.3 | −12.3 ± 9.0 | −0.238 | 0.812 |
| C2-7SVA (ROM) | −62.9 ± 22.0 | −64.3 ± 20.8 | −0.469 | 0.640 |
| MSCC | 0.42 ± 0.12 | 0.41 ± 0.14 | −0.731 | 0.466 |
| MCC | 0.53 ± 0.13 | 0.52 ± 0.17 | −0.319 | 0.750 |
| TA | 0.48 ± 0.13 | 0.48 ± 0.16 | −0.109 | 0.913 |
| TAR | 0.44 ± 0.11 | 0.41 ± 0.15 | −1.382 | 0.170 |
| CR | 0.23 ± 0.08 | 0.23 ± 0.09 | −0.457 | 0.648 |
| CCR | 0.48 ± 0.13 | 0.46 ± 0.17 | −0.868 | 0.387 |
| Pre-VAS | 4.3 ± 2.4 | 4.4 ± 2.2 | 0.117 | 0.907 |
| Pre-NDI | 16.6 ± 9.3 | 16.6 ± 8.3 | 0.008 | 0.994 |
| Pre-mJOA | 9.3 ± 1.3 | 9.8 ± 1.5 | 2.087 | 0.039 * |
| B | p-Value | OR | 95% Confidence Interval of OR | ||
|---|---|---|---|---|---|
| Lower Bound | Upper Bound | ||||
| Age | 0.007 | 0.716 | 1.007 | 0.972 | 1.043 |
| Duration of symptoms (M) | 0.179 | <0.001 ** | 1.196 | 1.135 | 1.261 |
| CL | −0.025 | 0.194 | 0.975 | 0.939 | 1.013 |
| Pre-mJOA | 0.118 | 0.381 | 1.126 | 0.864 | 1.467 |
| Pre-VAS | Pre-NDI | Pre-mJOA | Post-VAS(1) | Post-NDI(1) | Post-mJOA(1) | mJOARecovery Rate% (1) | Post-VAS (3) | Post-NDI (3) | Post-mJOA(3) | mJOARecovery Rate% (3) | Post-VAS (6) | Post-NDI (6) | Post-mJOA(6) | mJOA Recovery Rate% (6) | Post-VAS (12) | Post-NDI (12) | Post-mJOA(12) | mJOA RecoveryRate% (12) | Post-VAS (24) | Post-NDI (24) | Post-mJOA(24) | mJOA RecoveryRate% (24) | |
| Age | −0.147 * | −0.172 ** | 0.049 | −0.116 | −0.074 | −0.129 * | −0.129 * | −0.056 | −0.069 | −0.127 * | −0.125 * | −0.072 | −0.080 | −0.129 * | −0.129 * | −0.105 | −0.096 | −0.122 * | −0.122 * | −0.102 | −0.056 | −0.144 * | −0.149 * |
| Gender | −0.076 | −0.089 | −0.074 | −0.130 * | −0.119 * | 0.044 | 0.064 | −0.055 | −0.081 | 0.032 | 0.052 | −0.069 | −0.034 | 0.039 | 0.060 | −0.050 | 0.004 | 0.049 | 0.072 | −0.023 | −0.002 | 0.018 | 0.040 |
| BMI | −0.004 | −0.013 | 0.004 | 0.033 | −0.015 | −0.024 | −0.032 | −0.030 | −0.027 | −0.032 | −0.038 | −0.036 | −0.038 | −0.047 | −0.055 | −0.075 | −0.063 | −0.040 | −0.049 | −0.125 * | −0.109 | −0.019 | −0.032 |
| Duration of symptoms | −0.061 | −0.061 | 0.201 ** | 0.198 ** | 0.206 ** | −0.567 ** | −0.638 ** | 0.297 ** | 0.267 ** | −0.557 ** | −0.629 ** | 0.283 ** | 0.266 ** | −0.559 ** | −0.636 ** | 0.271 ** | 0.249 ** | −0.560 ** | −0.638 ** | 0.227 ** | 0.252 ** | −0.552 ** | −0.640 ** |
| Smoking | −0.008 | −0.028 | −0.027 | −0.042 | −0.012 | 0.096 | 0.101 | −0.039 | −0.036 | 0.082 | 0.089 | −0.057 | −0.019 | 0.074 | 0.081 | −0.034 | 0.004 | 0.083 | 0.093 | −0.020 | −0.006 | 0.076 | 0.081 |
| Drinking | −0.064 | −0.076 | −0.010 | −0.079 | −0.060 | 0.053 | 0.055 | −0.070 | −0.087 | 0.047 | 0.050 | −0.102 | −0.090 | 0.045 | 0.050 | −0.070 | −0.053 | 0.047 | 0.054 | −0.045 | −0.061 | 0.023 | 0.027 |
| lesion number | 0.057 | 0.055 | −0.144 * | 0.042 | 0.091 | −0.079 | −0.029 | 0.018 | 0.110 | −0.064 | −0.014 | 0.016 | 0.075 | −0.062 | −0.009 | −0.028 | 0.053 | −0.072 | −0.018 | −0.063 | 0.089 | −0.073 | −0.020 |
| CCI | −0.135 * | −0.119 * | 0.011 | −0.016 | 0.012 | −0.032 | −0.067 | −0.006 | 0.055 | −0.020 | −0.054 | −0.005 | 0.042 | −0.021 | −0.054 | −0.021 | 0.019 | −0.004 | −0.038 | 0.023 | 0.088 | −0.048 | −0.082 |
| CCI classification | −0.067 | −0.062 | 0.029 | −0.005 | 0.031 | −0.035 | −0.074 | 0.025 | 0.049 | −0.019 | −0.058 | 0.020 | 0.052 | −0.025 | −0.063 | 0.022 | 0.022 | −0.011 | −0.050 | 0.061 | 0.079 | −0.037 | −0.074 |
| Pre-VAS | 1 | 0.947 ** | −0.010 | 0.604 ** | 0.605 ** | −0.030 | −0.024 | 0.476 ** | 0.46 9 ** | −0.019 | −0.013 | 0.402 ** | 0.406 ** | −0.006 | 0.002 | 0.381 ** | 0.382 ** | −0.015 | −0.008 | 0.394 ** | 0.340 ** | 0.000 | 0.010 |
| Pre-NDI | 1 | −0.026 | 0.597 ** | 0.627 ** | −0.025 | −0.020 | 0.464 ** | 0.498 ** | −0.011 | −0.007 | 0.396 ** | 0.433 ** | 0.000 | 0.007 | 0.370 ** | 0.406 ** | −0.002 | 0.002 | 0.385 ** | 0.368 ** | 0.012 | 0.018 | |
| Pre-mJOA | 1 | 0.022 | −0.021 | 0.048 | −0.199 ** | 0.045 | 0.031 | 0.051 | −0.204 ** | 0.061 | 0.010 | 0.065 | −0.196 ** | 0.056 | −0.020 | 0.065 | −0.197 ** | 0.026 | 0.015 | 0.097 | −0.189 ** | ||
| Correlation between Pre-operative Imaging Parameters and Functional Scores. | |||||||||||||||||||||||
| Pre-VAS | Pre-NDI | Pre-mJOA | Post-VAS(1) | Post-NDI(1) | Post-mJOA(1) | mJOARecovery Rate%(1) | Post-VAS(3) | Post-NDI(3) | Post-mJOA(3) | mJOARecovery Rate%(3) | Post-VAS(6) | Post-NDI(6) | Post-mJOA(6) | mJOA Recovery Rate%(6) | Post-VAS(12) | Post-NDI(12) | Post-mJOA(12) | mJOA RecoveryRate%(12) | Post-VAS(24) | Post-NDI(24) | Post-mJOA(24) | mJOA RecoveryRate%(24) | |
| CL | −0.184 ** | −0.186 ** | 0.020 | −0.094 | −0.121 * | 0.131 * | 0.129 * | −0.079 | −0.074 | 0.125 * | 0.124 * | −0.056 | −0.072 | 0.113 | 0.113 | −0.048 | −0.050 | 0.126 * | 0.127 * | −0.018 | −0.056 | 0.135 * | 0.135 * |
| T1S | −0.100 | −0.091 | 0.100 | −0.120 * | −0.134 * | 0.125 * | 0.105 | −0.062 | −0.041 | 0.130 * | 0.108 | −0.017 | −0.021 | 0.125 * | 0.105 | −0.019 | −0.001 | 0.135 * | 0.115 | 0.003 | 0.002 | 0.147 * | 0.122 * |
| C2-7SVA | 0.033 | 0.039 | 0.021 | −0.031 | −0.070 | 0.040 | 0.033 | −0.021 | −0.026 | 0.044 | 0.036 | −0.003 | 0.022 | 0.049 | 0.040 | −0.008 | 0.046 | 0.051 | 0.040 | 0.016 | 0.055 | 0.013 | 0.003 |
| CL(F) | −0.155 ** | −0.113 | 0.026 | −0.118 * | −0.042 | 0.035 | 0.026 | −0.072 | −0.019 | 0.029 | 0.018 | −0.045 | −0.011 | 0.039 | 0.030 | −0.034 | 0.022 | 0.054 | 0.045 | −0.033 | 0.016 | 0.041 | 0.027 |
| T1S(F) | −0.034 | −0.012 | 0.022 | −0.107 | −0.057 | 0.045 | 0.065 | −0.021 | −0.006 | 0.063 | 0.081 | −0.011 | 0.017 | 0.058 | 0.077 | −0.012 | 0.023 | 0.060 | 0.080 | 0.014 | 0.030 | 0.081 | 0.096 |
| C2-7SVA (F) | 0.054 | 0.053 | −0.040 | 0.003 | −0.005 | −0.028 | −0.001 | 0.058 | 0.030 | −0.014 | 0.013 | 0.052 | 0.082 | −0.027 | 0.000 | 0.054 | 0.063 | −0.024 | 0.003 | 0.051 | 0.046 | −0.017 | 0.012 |
| CL (E) | −0.051 | −0.030 | 0.057 | 0.028 | 0.046 | −0.025 | −0.033 | 0.039 | 0.045 | −0.027 | −0.037 | 0.071 | 0.071 | −0.042 | −0.052 | 0.089 | 0.084 | −0.026 | −0.034 | 0.101 | 0.067 | −0.007 | −0.018 |
| T1S (E) | −0.056 | −0.042 | 0.058 | −0.055 | −0.064 | 0.089 | 0.065 | −0.050 | 0.010 | 0.092 | 0.068 | 0.012 | 0.026 | 0.088 | 0.065 | 0.039 | 0.072 | 0.092 | 0.068 | 0.062 | 0.093 | 0.109 | 0.082 |
| C2-7SVA (E) | 0.002 | 0.012 | −0.008 | −0.036 | −0.066 | 0.104 | 0.097 | −0.070 | −0.003 | 0.091 | 0.087 | −0.069 | −0.027 | 0.098 | 0.096 | −0.057 | 0.002 | 0.098 | 0.093 | −0.050 | 0.021 | 0.077 | 0.074 |
| CL (ROM) | 0.063 | 0.053 | 0.032 | 0.107 | 0.069 | −0.046 | −0.046 | 0.084 | 0.053 | −0.044 | −0.045 | 0.094 | 0.070 | −0.064 | −0.066 | 0.102 | 0.059 | −0.061 | −0.061 | 0.112 | 0.047 | −0.035 | −0.035 |
| T1S (ROM) | −0.019 | −0.026 | 0.032 | 0.048 | −0.005 | 0.039 | −0.001 | −0.025 | 0.014 | 0.025 | −0.013 | 0.021 | 0.007 | 0.025 | −0.012 | 0.046 | 0.043 | 0.027 | −0.012 | 0.042 | 0.056 | 0.024 | −0.014 |
| C2-7SVA (ROM) | −0.032 | −0.026 | 0.020 | −0.026 | −0.041 | 0.087 | 0.065 | −0.083 | −0.020 | 0.069 | 0.050 | −0.078 | −0.069 | 0.082 | 0.064 | −0.072 | −0.038 | 0.081 | 0.060 | −0.065 | −0.015 | 0.062 | 0.042 |
| MSCC | −0.008 | −0.027 | −0.621 ** | −0.007 | 0.028 | −0.031 | 0.121 * | −0.016 | −0.019 | −0.028 | 0.129 * | −0.070 | −0.021 | -0.040 | 0.122 * | −0.051 | −0.027 | −0.039 | 0.124 * | −0.037 | −0.032 | −0.061 | 0.117 * |
| MCC | −0.026 | −0.035 | −0.517 ** | 0.019 | 0.041 | −0.045 | 0.091 | 0.015 | 0.003 | −0.051 | 0.086 | −0.038 | −0.017 | −0.059 | 0.084 | −0.027 | −0.018 | −0.060 | 0.084 | −0.022 | −0.019 | −0.084 | 0.073 |
| TA | −0.009 | 0.001 | 0.714 ** | −0.037 | −0.068 | 0.150 * | −0.030 | −0.071 | −0.050 | 0.143 * | −0.042 | −0.042 | −0.064 | 0.147 * | −0.042 | −0.053 | −0.075 | 0.146 * | −0.044 | −0.073 | −0.050 | 0.176 ** | −0.031 |
| TAR | −0.028 | −0.034 | −0.852 ** | −0.012 | 0.022 | −0.082 | 0.137 * | −0.019 | −0.024 | −0.078 | 0.148 * | −0.049 | −0.015 | −0.088 | 0.143 * | −0.036 | 0.019 | −0.085 | 0.148 * | −0.006 | 0.003 | −0.123 * | 0.130 * |
| CR | 0.045 | 0.041 | 0.529 ** | −0.003 | −0.041 | 0.099 | −0.029 | −0.008 | −0.009 | 0.098 | −0.034 | −0.005 | −0.037 | 0.108 | −0.029 | 0.015 | −0.020 | 0.103 | −0.037 | 0.004 | −0.027 | 0.137 * | −0.015 |
| CCR | −0.013 | −0.038 | −0.618 ** | −0.039 | −0.013 | −0.037 | 0.125 * | −0.022 | −0.051 | −0.032 | 0.133 * | −0.062 | −0.044 | −0.047 | 0.125 * | −0.070 | −0.052 | −0.047 | 0.126 * | −0.068 | −0.058 | −0.072 | 0.117 * |
Publisher’s Note: MDPI stays neutral with regard to jurisdictional claims in published maps and institutional affiliations. |
© 2022 by the authors. Licensee MDPI, Basel, Switzerland. This article is an open access article distributed under the terms and conditions of the Creative Commons Attribution (CC BY) license (https://creativecommons.org/licenses/by/4.0/).
Share and Cite
Guo, S.; Lin, T.; Wu, R.; Wang, Z.; Chen, G.; Liu, W. The Pre-Operative Duration of Symptoms: The Most Important Predictor of Post-Operative Efficacy in Patients with Degenerative Cervical Myelopathy. Brain Sci. 2022, 12, 1088. https://doi.org/10.3390/brainsci12081088
Guo S, Lin T, Wu R, Wang Z, Chen G, Liu W. The Pre-Operative Duration of Symptoms: The Most Important Predictor of Post-Operative Efficacy in Patients with Degenerative Cervical Myelopathy. Brain Sciences. 2022; 12(8):1088. https://doi.org/10.3390/brainsci12081088
Chicago/Turabian StyleGuo, Shengyu, Taotao Lin, Rongcan Wu, Zhenyu Wang, Gang Chen, and Wenge Liu. 2022. "The Pre-Operative Duration of Symptoms: The Most Important Predictor of Post-Operative Efficacy in Patients with Degenerative Cervical Myelopathy" Brain Sciences 12, no. 8: 1088. https://doi.org/10.3390/brainsci12081088
APA StyleGuo, S., Lin, T., Wu, R., Wang, Z., Chen, G., & Liu, W. (2022). The Pre-Operative Duration of Symptoms: The Most Important Predictor of Post-Operative Efficacy in Patients with Degenerative Cervical Myelopathy. Brain Sciences, 12(8), 1088. https://doi.org/10.3390/brainsci12081088
