Learning to Perceive Non-Native Tones via Distributional Training: Effects of Task and Acoustic Cue Weighting
Abstract
1. Introduction
2. Experiment 1: Mandarin Tone Discrimination and Identification by Australian Listeners before and after Distributional Learning
2.1. Methods
2.1.1. Participants
2.1.2. Stimuli
2.1.3. Procedure
2.2. Results
2.3. Discussion
3. Experiment 2: Australian Listeners’ Neural Sensitivity to Tones before and after Distributional Learning
3.1. Methods
3.1.1. Participants
3.1.2. Stimuli
3.1.3. Procedure
3.1.4. EEG Data Recording & Analysis
3.2. Results
3.3. Discussion
4. General Discussion
Supplementary Materials
Author Contributions
Funding
Institutional Review Board Statement
Informed Consent Statement
Data Availability Statement
Conflicts of Interest
References
- Kirkham, N.Z.; Slemmer, J.A.; Johnson, S.P. Visual statistical learning in infancy: Evidence for a domain general learning mechanism. Cognition 2002, 83, B35–B42. [Google Scholar] [CrossRef]
- Fiser, J.; Aslin, R.N. Unsupervised statistical learning of higher-order spatial structures from visual scenes. Psychol. Sci. 2001, 12, 499–504. [Google Scholar] [CrossRef]
- Conway, C.M.; Christiansen, M.H. Modality-constrained statistical learning of tactile, visual, and auditory sequences. J. Exp. Psychol. Learn. Mem. Cogn. 2005, 31, 24. [Google Scholar] [CrossRef] [PubMed]
- Ong, J.H.; Burnham, D.; Stevens, C.J. Learning novel musical pitch via distributional learning. J. Exp. Psychol. Learn. Mem. Cogn. 2017, 43, 150. [Google Scholar] [CrossRef]
- Wanrooij, K.; Boersma, P.; Van Zuijen, T.L. Fast phonetic learning occurs already in 2-to-3-month old infants: An ERP study. Front. Psychol. 2014, 5, 77. [Google Scholar] [CrossRef] [PubMed]
- Saffran, J.R.; Aslin, R.N.; Newport, E.L. Statistical learning by 8-month-old infants. Science 1996, 274, 1926–1928. [Google Scholar] [CrossRef]
- Newport, E.L.; Aslin, R.N. Learning at a distance I. Statistical learning of non-adjacent dependencies. Cogn. Psychol. 2004, 48, 127–162. [Google Scholar] [CrossRef]
- Maye, J.; Werker, J.F.; Gerken, L. Infant sensitivity to distributional information can affect phonetic discrimination. Cognition 2002, 82, B101–B111. [Google Scholar] [CrossRef]
- Saffran, J.R.; Johnson, E.K.; Aslin, R.N.; Newport, E.L. Statistical learning of tone sequences by human infants and adults. Cognition 1999, 70, 27–52. [Google Scholar] [CrossRef]
- Wanrooij, K.; Boersma, P.; van Zuijen, T.L. Distributional vowel training is less effective for adults than for infants. A study using the mismatch response. PLoS ONE 2014, 9, e109806. [Google Scholar] [CrossRef]
- Reh, R.K.; Hensch, T.K.; Werker, J.F. Distributional learning of speech sound categories is gated by sensitive periods. Cognition 2021, 213, 104653. [Google Scholar] [CrossRef] [PubMed]
- Ong, J.H.; Burnham, D.; Escudero, P. Distributional learning of lexical tones: A comparison of attended vs. unattended listening. PLoS ONE 2015, 10, e0133446. [Google Scholar] [CrossRef][Green Version]
- Yoshida, K.A.; Pons, F.; Maye, J.; Werker, J.F. Distributional phonetic learning at 10 months of age. Infancy 2010, 15, 420–433. [Google Scholar] [CrossRef]
- Cristia, A. Can infants learn phonology in the lab? A meta-analytic answer. Cognition 2018, 170, 312–327. [Google Scholar] [CrossRef] [PubMed]
- Escudero, P.; Benders, T.; Wanrooij, K. Enhanced bimodal distributions facilitate the learning of second language vowels. J. Acoust. Soc. Am. 2011, 130, EL206–EL212. [Google Scholar] [CrossRef] [PubMed]
- Chládková, K.; Boersma, P.; Escudero, P. Unattended distributional training can shift phoneme boundaries. Biling. Lang. Cogn. 2022, 1–14. [Google Scholar] [CrossRef]
- Pons, F.; Sabourin, L.; Cady, J.C.; Werker, J.F. Distributional learning in vowel distinctions by 8-month-old English infants. In Proceedings of the 28th Annual Conference of the Cognitive Science Society, Vancouver, BC, Canada, 26–29 July 2006. [Google Scholar]
- Antoniou, M.; Wong, P.C.M. Varying irrelevant phonetic features hinders learning of the feature being trained. J. Acoust. Soc. Am. 2016, 139, 271–278. [Google Scholar] [CrossRef] [PubMed]
- Escudero, P.; Benders, T.; Lipski, S.C. Native, non-native and L2 perceptual cue weighting for Dutch vowels: The case of Dutch, German, and Spanish listeners. J. Phon. 2009, 37, 452–465. [Google Scholar] [CrossRef]
- Lany, J.; Saffran, J.R. Statistical learning mechanisms in infancy. Compr. Dev. Neurosci. Neural Circuit Dev. Funct. Brain 2013, 3, 231–248. [Google Scholar]
- Marimon Tarter, M. Word Segmentation in German-Learning Infants and German-Speaking Adults: Prosodic and Statistical Cues. Ph.D. Thesis, University of Potsdam, Potsdam, Germany, 2019. Available online: https://publishup.uni-potsdam.de/frontdoor/index/docId/43740 (accessed on 1 January 2020).
- Tuninetti, A.; Warren, T.; Tokowicz, N. Cue strength in second-language processing: An eye-tracking study. Q. J. Exp. Psychol. 2015, 68, 568–584. [Google Scholar] [CrossRef]
- Yip, M. Tone; Cambridge University Press: Cambridge, UK, 2002. [Google Scholar]
- Kaan, E.; Barkley, C.M.; Bao, M.; Wayland, R. Thai lexical tone perception in native speakers of Thai, English and Mandarin Chinese: An event-related potentials training study. BMC Neurosci. 2008, 9, 53. [Google Scholar] [CrossRef] [PubMed]
- Cutler, A.; Chen, H.C. Lexical tone in Cantonese spoken-word processing. Percept. Psychophys. 1997, 59, 165–179. [Google Scholar] [CrossRef]
- Chen, A.; Liu, L.; Kager, R. Cross-domain correlation in pitch perception: The influence of native language. Lang. Cogn. Neurosci. 2016, 31, 751–760. [Google Scholar] [CrossRef]
- Antoniou, M.; Chin, J.L.L. What can lexical tone training studies in adults tell us about tone processing in children? Front. Psychol. 2018, 9, 1. [Google Scholar] [CrossRef] [PubMed]
- Liu, L.; Kager, R. Statistical learning of speech sounds is most robust during the period of perceptual attunement. J. Exp. Child Psychol. 2017, 164, 192–208. [Google Scholar] [CrossRef]
- Ong, J.H.; Burnham, D.; Stevens, C.J.; Escudero, P. Naïve learners show cross-domain transfer after distributional learning: The case of lexical and musical pitch. Front. Psychol. 2016, 7, 1189. [Google Scholar] [CrossRef]
- Liu, L.; Chen, A.; Kager, R. Perception of tones in Mandarin and Dutch adult listeners. Lang. Linguist. 2017, 18, 622–646. [Google Scholar] [CrossRef]
- Hallé, P.A.; Chang, Y.C.; Best, C.T. Identification and discrimination of Mandarin Chinese tones by Mandarin Chinese vs. French listeners. J. Phon. 2004, 32, 395–421. [Google Scholar] [CrossRef]
- Xu, Y.; Krishnan, A.; Gandour, J.T. Specificity of experience-dependent pitch representation in the brainstem. Neuroreport 2006, 17, 1601–1605. [Google Scholar] [CrossRef]
- Chandrasekaran, B.; Krishnan, A.; Gandour, J.T. Mismatch negativity to pitch contours is influenced by language experience. Brain Res. 2007, 1128, 148–156. [Google Scholar] [CrossRef] [PubMed]
- Näätänen, R.; Winkler, I. The concept of auditory stimulus representation in cognitive neuroscience. Psychol. Bull. 1999, 125, 826. [Google Scholar] [CrossRef] [PubMed]
- Sams, M.; Alho, K.; Näätänen, R. Short-term habituation and dishabituation of the mismatch negativity of the ERP. Psychophysiology 1984, 21, 434–441. [Google Scholar] [CrossRef] [PubMed]
- Kraus, N.; McGee, T.; Carrell, T.D.; King, C.; Tremblay, K.; Nicol, T. Central auditory system plasticity associated with speech discrimination training. J. Cogn. Neurosci. 1995, 7, 25–32. [Google Scholar] [CrossRef] [PubMed]
- Lipski, S.C.; Escudero, P.; Benders, T. Language experience modulates weighting of acoustic cues for vowel perception: An event-related potential study. Psychophysiology 2012, 49, 638–650. [Google Scholar] [CrossRef] [PubMed]
- Näätänen, R. The perception of speech sounds by the human brain as reflected by the mismatch negativity (MMN) and its magnetic equivalent (MMNm). Psychophysiology 2001, 38, 1–21. [Google Scholar] [CrossRef]
- Näätänen, R.; Paavilainen, P.; Rinne, T.; Alho, K. The mismatch negativity (MMN) in basic research of central auditory processing: A review. Clin. Neurophysiol. 2007, 118, 2544–2590. [Google Scholar] [CrossRef] [PubMed]
- Gandour, J. Tone perception in Far Eastern languages. J. Phon. 1983, 11, 149–175. [Google Scholar] [CrossRef]
- Nixon, J.S.; Boll-Avetisyan, N.; Lentz, T.O.; van Ommen, S.; Keij, B.; Cöltekin, C.; Liu, L.; van Rij, J. Short-term exposure enhances perception of both between-and within-category acoustic information. In Proceedings of the 9th International Conference on Speech Prosody, Poznan, Poland, 13–16 June 2018; pp. 114–118. [Google Scholar]
- Boll-Avetisyan, N.; Nixon, J.S.; Lentz, T.O.; Liu, L.; van Ommen, S.; Çöltekin, Ç.; van Rij, J. Neural Response Development During Distributional Learning. In Proceedings of the Interspeech, Hyderabad, India, 2–6 September 2018; pp. 1432–1436. [Google Scholar]
- Liu, L.; Ong, J.H.; Peter, V.; Escudero, P. Revisiting infant distributional learning using event-related potentials: Does unimodal always inhibit and bimodal always facilitate? In Proceedings of the 10th International Conference on Speech Prosody, Online, 25 May–31 August 2020. [Google Scholar]
- Escudero, P.; Best, C.T.; Kitamura, C.; Mulak, K.E. Magnitude of phonetic distinction predicts success at early word learning in native and non-native accents. Front. Psychol. 2014, 5, 1059. [Google Scholar] [CrossRef] [PubMed][Green Version]
- Burnham, D.; Francis, E.; Webster, D.; Luksaneeyanawin, S.; Attapaiboon, C.; Lacerda, F.; Keller, P. Perception of lexical tone across languages: Evidence for a linguistic mode of processing. In Proceeding of the Fourth International Conference on Spoken Language Processing (ICSLP 1996), Philadelphia, PA, USA, 3–6 October 1996; Volume 4, pp. 2514–2517. [Google Scholar]
- Gu, F.; Zhang, C.; Hu, A.; Zhao, G. Left hemisphere lateralization for lexical and acoustic pitch processing in Cantonese speakers as revealed by mismatch negativity. Neuroimage 2013, 83, 637–645. [Google Scholar] [CrossRef] [PubMed]
- Tuninetti, A.; Chládková, K.; Peter, V.; Schiller, N.O.; Escudero, P. When speaker identity is unavoidable: Neural processing of speaker identity cues in natural speech. Brain Lang. 2017, 174, 42–49. [Google Scholar] [CrossRef] [PubMed]
- Tuninetti, A.; Tokowicz, N. The influence of a first language: Training nonnative listeners on voicing contrasts. Lang. Cogn. Neurosci. 2018, 33, 750–768. [Google Scholar] [CrossRef]
- Chen, A.; Peter, V.; Wijnen, F.; Schnack, H.; Burnham, D. Are lexical tones musical? Native language’s influence on neural response to pitch in different domains. Brain Lang. 2018, 180, 31–41. [Google Scholar] [CrossRef] [PubMed]
- Boersma, P.; Weenink, D. Praat: Doing Phonetics by Computer (Version 5.1. 05) [Computer Program]. Available online: https://www.fon.hum.uva.nl/praat/ (accessed on 1 May 2009).
- Huang, T.; Johnson, K. Language specificity in speech perception: Perception of Mandarin tones by native and nonnative listeners. Phonetica 2010, 67, 243–267. [Google Scholar] [CrossRef]
- Liu, L.; Ong, J.H.; Tuninetti, A.; Escudero, P. One way or another: Evidence for perceptual asymmetry in pre-attentive learning of non-native contrasts. Front. Psychol. 2018, 9, 162. [Google Scholar] [CrossRef] [PubMed]
- Liu, L.; Kager, R. Perception of tones by infants learning a non-tone language. Cognition 2014, 133, 385–394. [Google Scholar] [CrossRef] [PubMed]
- Liu, L.; Kager, R. Perception of tones by bilingual infants learning non-tone languages. Biling. Lang. Cogn. 2017, 20, 561–575. [Google Scholar] [CrossRef]
- Ong, J.H.; Burnham, D.; Escudero, P.; Stevens, C.J. Effect of linguistic and musical experience on distributional learning of nonnative lexical tones. J. Speech Lang. Hear. Res. 2017, 60, 2769–2780. [Google Scholar] [CrossRef] [PubMed]
- Wong, P.C.; Perrachione, T.K. Learning pitch patterns in lexical identification by native English-speaking adults. Appl. Psycholinguist. 2007, 28, 565–585. [Google Scholar] [CrossRef]
- Perrachione, T.K.; Lee, J.; Ha, L.Y.; Wong, P.C. Learning a novel phonological contrast depends on interactions between individual differences and training paradigm design. J. Acoust. Soc. Am. 2011, 130, 461–472. [Google Scholar] [CrossRef]
- Delorme, A.; Makeig, S. EEGLAB: An open source toolbox for analysis of single-trial EEG dynamics including independent component analysis. J. Neurosci. Methods 2004, 134, 9–21. [Google Scholar] [CrossRef] [PubMed]
- Lopez-Calderon, J.; Luck, S.J. ERPLAB: An open-source toolbox for the analysis of event-related potentials. Front. Hum. Neurosci. 2014, 8, 213. [Google Scholar] [CrossRef] [PubMed]
- Colin, C.; Hoonhorst, I.; Markessis, E.; Radeau, M.; De Tourtchaninoff, M.; Foucher, A.; Collet, G.; Deltenre, P. Mismatch negativity (MMN) evoked by sound duration contrasts: An unexpected major effect of deviance direction on amplitudes. Clin. Neurophysiol. 2009, 120, 51–59. [Google Scholar] [CrossRef] [PubMed][Green Version]
- Horváth, J.; Czigler, I.; Jacobsen, T.; Maess, B.; Schröger, E.; Winkler, I. MMN or no MMN: No magnitude of deviance effect on the MMN amplitude. Psychophysiology 2008, 45, 60–69. [Google Scholar] [CrossRef] [PubMed]
- Cheour, M.; Shestakova, A.; Alku, P.; Ceponiene, R.; Näätänen, R. Mismatch negativity shows that 3–6-year-old children can learn to discriminate non-native speech sounds within two months. Neurosci. Lett. 2002, 325, 187–190. [Google Scholar] [CrossRef]
- Escera, C.; Alho, K.; Winkler, I.; Näätänen, R. Neural mechanisms of involuntary attention to acoustic novelty and change. J. Cogn. Neurosci. 1998, 10, 590–604. [Google Scholar] [CrossRef] [PubMed]
- Liu, R.; Holt, L.L. Neural changes associated with nonspeech auditory category learning parallel those of speech category acquisition. J. Cogn. Neurosci. 2011, 23, 683–698. [Google Scholar] [CrossRef] [PubMed]
- Näätänen, R.; Lehtokoski, A.; Lennes, M.; Cheour, M.; Huotilainen, M.; Iivonen, A.; Vainio, M.; Alku, P.; Ilmoniemi, R.J.; Alho, K.; et al. Language-specific phoneme representations revealed by electric and magnetic brain responses. Nature 1997, 385, 432–434. [Google Scholar] [CrossRef]
- Burnham, D.K.; Singh, L. Coupling tonetics and perceptual attunement: The psychophysics of lexical tone contrast salience. J. Acoust. Soc. Am. 2018, 144, 1716. [Google Scholar] [CrossRef]
- Thiessen, E.D.; Saffran, J.R. When cues collide: Use of stress and statistical cues to word boundaries by 7-to 9-month-old infants. Dev. Psychol. 2003, 39, 706. [Google Scholar] [CrossRef] [PubMed]
- Origlia, A.; Cutugno, F.; Galatà, V. Continuous emotion recognition with phonetic syllables. Speech Commun. 2014, 57, 155–169. [Google Scholar] [CrossRef]
- Escudero, P.; Boersma, P. Bridging the gap between L2 speech perception research and phonological theory. Stud. Second. Lang. Acquis. 2004, 26, 551–585. [Google Scholar] [CrossRef]
- Escudero, P. Linguistic Perception and Second Language Acquisition: Explaining the Attainment of Optimal Phonological Categorization; Netherlands Graduate School of Linguistics: Amsterdam, The Netherlands, 2005. [Google Scholar]
- Escudero, P. The linguistic perception of similar L2 sounds. In Phonology in Perception; Boersma, P., Hamann, S., Eds.; Mouton de Gruyter: Berlin, Germany, 2009; pp. 152–190. [Google Scholar]
- Yazawa, K.; Whang, J.; Kondo, M.; Escudero, P. Language-dependent cue weighting: An investigation of perception modes in L2 learning. Second. Lang. Res. 2020, 36, 557–581. [Google Scholar] [CrossRef]
- Zeng, Z.; Mattock, K.; Liu, L.; Peter, V.; Tuninetti, A.; Tsao, F.-M. Mandarin and English adults’ cue-weighting of lexical stress. In Proceedings of the 21st Annual Conference of the International Speech Communication Association, Shanghai, China, 25–29 October 2020. [Google Scholar]
- Sundara, M.; Ngon, C.; Skoruppa, K.; Feldman, N.H.; Onario, G.M.; Morgan, J.L.; Peperkamp, S. Young infants’ discrimination of subtle phonetic contrasts. Cognition 2018, 178, 57–66. [Google Scholar] [CrossRef] [PubMed]
- Escudero, P.; Mulak, K.E.; Elvin, J.; Traynor, N.M. “Mummy, keep it steady”: Phonetic variation shapes word learning at 15 and 17 months. Dev. Sci. 2018, 21, e12640. [Google Scholar] [CrossRef]
- Xi, J.; Zhang, L.; Shu, H.; Zhang, Y.; Li, P. Categorical perception of lexical tones in Chinese revealed by mismatch negativity. Neuroscience 2010, 170, 223–231. [Google Scholar] [CrossRef] [PubMed]






| Mean | SD | T | p | ||
|---|---|---|---|---|---|
| Bimodal | Pre | 60.83% | 35.62% | 1.490 | 0.150 |
| Post | 67.50% | 33.26% | 2.577 | 0.017 | |
| Unimodal | Pre | 51.67% | 30.59% | 0.267 | 0.792 |
| Post | 65.00% | 30.21% | 2.432 | 0.023 |
| Step 3 | Step 6 | ||||||||
|---|---|---|---|---|---|---|---|---|---|
| Mean | SD | t | p | Mean | SD | t | p | ||
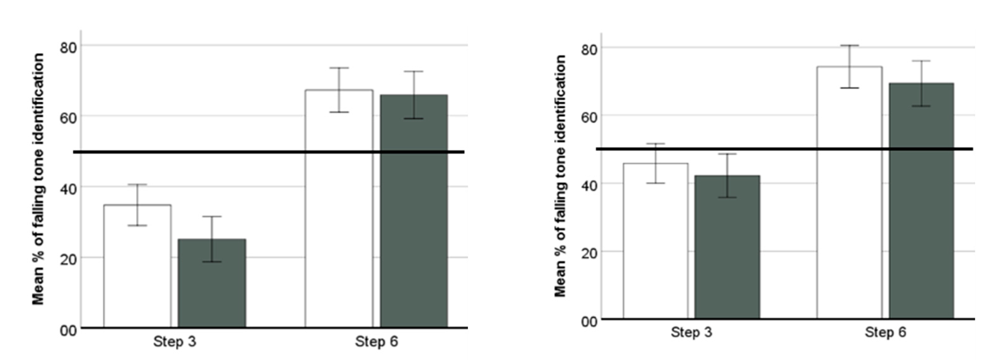
| Bimodal | Pre | 34.75% | 28.62% | −2.610 | 0.016 | 67.29% | 31.61% | 2.680 | 0.013 |
| Post | 25.08% | 33.30% | −3.665 | 0.001 | 65.87% | 35.28% | 2.204 | 0.038 | |
| Unimodal | Pre | 45.83% | 28.30% | −0.721 | 0.478 | 74.29% | 29.79% | 3.994 | 0.001 |
| Post | 42.25% | 28.98% | −1.310 | 0.203 | 69.38% | 29.81% | 3.183 | 0.004 | |
Publisher’s Note: MDPI stays neutral with regard to jurisdictional claims in published maps and institutional affiliations. |
© 2022 by the authors. Licensee MDPI, Basel, Switzerland. This article is an open access article distributed under the terms and conditions of the Creative Commons Attribution (CC BY) license (https://creativecommons.org/licenses/by/4.0/).
Share and Cite
Liu, L.; Yuan, C.; Ong, J.H.; Tuninetti, A.; Antoniou, M.; Cutler, A.; Escudero, P. Learning to Perceive Non-Native Tones via Distributional Training: Effects of Task and Acoustic Cue Weighting. Brain Sci. 2022, 12, 559. https://doi.org/10.3390/brainsci12050559
Liu L, Yuan C, Ong JH, Tuninetti A, Antoniou M, Cutler A, Escudero P. Learning to Perceive Non-Native Tones via Distributional Training: Effects of Task and Acoustic Cue Weighting. Brain Sciences. 2022; 12(5):559. https://doi.org/10.3390/brainsci12050559
Chicago/Turabian StyleLiu, Liquan, Chi Yuan, Jia Hoong Ong, Alba Tuninetti, Mark Antoniou, Anne Cutler, and Paola Escudero. 2022. "Learning to Perceive Non-Native Tones via Distributional Training: Effects of Task and Acoustic Cue Weighting" Brain Sciences 12, no. 5: 559. https://doi.org/10.3390/brainsci12050559
APA StyleLiu, L., Yuan, C., Ong, J. H., Tuninetti, A., Antoniou, M., Cutler, A., & Escudero, P. (2022). Learning to Perceive Non-Native Tones via Distributional Training: Effects of Task and Acoustic Cue Weighting. Brain Sciences, 12(5), 559. https://doi.org/10.3390/brainsci12050559

