Repetitive Peripheral Magnetic Stimulation Combined with Motor Imagery Changes Resting-State EEG Activity: A Randomized Controlled Trial
Abstract
1. Introduction
2. Materials and Methods
2.1. Participants
2.2. Study Protocol
2.3. Motor Imagery
2.4. rPMS
2.5. Measures
2.6. Statistical Analysis
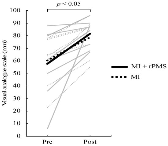
3. Results
4. Discussion
5. Limitations and Future Directions
6. Conclusions
Author Contributions
Funding
Institutional Review Board Statement
Informed Consent Statement
Data Availability Statement
Acknowledgments
Conflicts of Interest
References
- Beaulieu, L.D.; Schneider, C. Effects of repetitive peripheral magnetic stimulation on normal or impaired motor control. A review. Neurophysiol. Clin. 2013, 43, 251–260. [Google Scholar] [CrossRef] [PubMed]
- Yang, S.S.; Jee, S.; Hwang, S.L.; Sohn, M.K. Strengthening of quadriceps by neuromuscular magnetic stimulation in healthy subjects. PMR 2017, 9, 767–773. [Google Scholar] [CrossRef] [PubMed]
- Nito, M.; Katagiri, N.; Yoshida, K.; Koseki, T.; Kudo, D.; Nanba, S.; Tanabe, S.; Yamaguchi, T. Repetitive peripheral magnetic stimulation of wrist extensors enhances cortical excitability and motor performance in healthy individuals. Front. Neurosci. 2021, 15, 632716. [Google Scholar] [CrossRef] [PubMed]
- Struppler, A.; Angerer, B.; Gündisch, C.; Havel, P. Modulatory effect of repetitive peripheral magnetic stimulation on skeletal muscle tone in healthy subjects: Stabilization of the elbow joint. Exp. Brain Res. 2004, 157, 59–66. [Google Scholar] [CrossRef]
- Beaulieu, L.D.; Schneider, C. Repetitive peripheral magnetic stimulation to reduce pain or improve sensorimotor impairments: A literature review on parameters of application and afferents recruitment. Neurophysiol. Clin. 2015, 45, 223–237. [Google Scholar] [CrossRef]
- Krause, P.; Straube, A. Peripheral repetitive magnetic stimulation induces intracortical inhibition in healthy subjects. Neurol. Res. 2008, 30, 690–694. [Google Scholar] [CrossRef]
- Gallasch, E.; Christova, M.; Kunz, A.; Rafolt, D.; Golaszewski, S. Modulation of sensorimotor cortex by repetitive peripheral magnetic stimulation. Front. Hum. Neurosci. 2015, 9, 407. [Google Scholar] [CrossRef]
- Chen, S.; Li, Y.; Shu, X.; Wang, C.; Wang, H.; Ding, L.; Jia, J. Electroencephalography mu rhythm changes and decreased spasticity after repetitive peripheral magnetic stimulation in patients following stroke. Front. Neurol. 2020, 11, 546599. [Google Scholar] [CrossRef]
- Arendsen, L.J.; Guggenberger, R.; Zimmer, M.; Weigl, T.; Gharabaghi, A. Peripheral electrical stimulation modulates cortical beta-band activity. Front. Neurosci. 2021, 15, 632234. [Google Scholar] [CrossRef]
- Ushio, R.; Tamura, K.; Fujikawa, S.; Ohsumi, C.; Sawai, S.; Yamamoto, R.; Nakano, H. Clinical application of repetitive peripheral magnetic stimulation in rehabilitation. In Neurorehabilitation and Physical Therapy; Nakano, H., Ed.; IntechOpen: London, UK, 2022; in press. [Google Scholar] [CrossRef]
- Sakai, K.; Yasufuku, Y.; Kamo, T.; Ota, E.; Momosaki, R. Repetitive peripheral magnetic stimulation for impairment and disability in people after stroke. Cochrane Database Syst. Rev. 2019, 11, CD011968. [Google Scholar] [CrossRef]
- Klomjai, W.; Katz, R.; Lackmy-Vallée, A. Basic principles of transcranial magnetic stimulation (TMS) and repetitive TMS (rTMS). Ann. Phys. Rehabil. Med. 2015, 58, 208–213. [Google Scholar] [CrossRef] [PubMed]
- Cantone, M.; Lanza, G.; Ranieri, F.; Opie, G.M.; Terranova, C. Editorial: Non-invasive Brain Stimulation in the Study and Modulation of Metaplasticity in Neurological Disorders. Front. Neurol. 2021, 12, 721906. [Google Scholar] [CrossRef] [PubMed]
- Di Lazzaro, V.; Bella, R.; Benussi, A.; Bologna, M.; Borroni, B.; Capone, F.; Chen, K.S.; Chen, R.; Chistyakov, A.V.; Classen, J.; et al. Diagnostic contribution and therapeutic perspectives of transcranial magnetic stimulation in dementia. Clin. Neurophysiol. 2021, 132, 2568–2607. [Google Scholar] [CrossRef]
- León Ruiz, M.; Rodríguez Sarasa, M.L.; Sanjuán Rodríguez, L.; Benito-León, J.; García-Albea Ristol, E.; Arce, S. Current evidence on transcranial magnetic stimulation and its potential usefulness in post-stroke neurorehabilitation: Opening new doors to the treatment of cerebrovascular disease. Neurologia 2018, 33, 459–472. [Google Scholar] [CrossRef] [PubMed]
- McClintock, S.M.; Reti, I.M.; Carpenter, L.L.; McDonald, W.M.; Dubin, M.; Taylor, S.F.; Cook, I.A.; O’Reardon, J.; Husain, M.M.; Wall, C.; et al. National Network of Depression Centers rTMS Task Group; American Psychiatric Association Council on Research Task Force on Novel Biomarkers and Treatments. Consensus Recommendations for the Clinical Application of Repetitive Transcranial Magnetic Stimulation (rTMS) in the Treatment of Depression. J. Clin. Psychiatry 2018, 79, 35–48. [Google Scholar] [CrossRef]
- Rossi, S.; Antal, A.; Bestmann, S.; Bikson, M.; Brewer, C.; Brockmöller, J.; Carpenter, L.L.; Cincotta, M.; Chen, R.; Daskalakis, J.D.; et al. Safety and recommendations for TMS use in healthy subjects and patient populations, with updates on training, ethical and regulatory issues: Expert Guidelines. Clin. Neurophysiol. 2021, 132, 269–306. [Google Scholar] [CrossRef]
- Abraham, A.; Duncan, R.P.; Earhart, G.M. The role of mental imagery in Parkinson’s disease rehabilitation. Brain. Sci. 2021, 11, 185. [Google Scholar] [CrossRef]
- Ladda, A.M.; Lebon, F.; Lotze, M. Using motor imagery practice for improving motor performance—A review. Brain Cogn. 2021, 150, 105705. [Google Scholar] [CrossRef]
- Hanakawa, T.; Immisch, I.; Toma, K.; Dimyan, M.A.; Van Gelderen, P.; Hallett, M. Functional properties of brain areas associated with motor execution and imagery. J. Neurophysiol. 2003, 89, 989–1002. [Google Scholar] [CrossRef]
- Chepurova, A.; Hramov, A.; Kurkin, S. Motor imagery: How to assess, improve its performance, and apply it for psychosis diagnostics. Diagnostics 2022, 12, 949. [Google Scholar] [CrossRef]
- Stinear, C.M.; Byblow, W.D.; Steyvers, M.; Levin, O.; Swinnen, S.P. Kinesthetic, but not visual, motor imagery modulates corticomotor excitability. Exp. Brain Res. 2006, 168, 157–164. [Google Scholar] [CrossRef] [PubMed]
- Lebon, F.; Byblow, W.D.; Collet, C.; Guillot, A.; Stinear, C.M. The modulation of motor cortex excitability during motor imagery depends on imagery quality. Eur. J. Neurosci. 2012, 35, 323–331. [Google Scholar] [CrossRef] [PubMed]
- Tanaka, M.; Vécsei, L. Monitoring the kynurenine system: Concentrations, ratios or what else? Adv. Clin. Exp. Med. 2021, 30, 775–778. [Google Scholar] [CrossRef]
- Tanaka, M.; Spekker, E.; Szabó, Á.; Polyák, H.; Vécsei, L. Modelling the neurodevelopmental pathogenesis in neuropsychiatric disorders. Bioactive kynurenines and their analogues as neuroprotective agents-in celebration of 80th birthday of Professor Peter Riederer. J. Neural. Transm. 2022, 129, 627–642. [Google Scholar] [CrossRef] [PubMed]
- Martos, D.; Tuka, B.; Tanaka, M.; Vécsei, L.; Telegdy, G. Memory Enhancement with Kynurenic Acid and Its Mechanisms in Neurotransmission. Biomedicines 2022, 10, 849. [Google Scholar] [CrossRef] [PubMed]
- Battaglia, S.; Cardellicchio, P.; Di Fazio, C.; Nazzi, C.; Fracasso, A.; Borgomaneri, S. Stopping in (e)motion: Reactive action inhibition when facing valence-independent emotional stimuli. Front. Behav. Neurosci. 2022, 16, 998714. [Google Scholar] [CrossRef] [PubMed]
- Battaglia, S.; Cardellicchio, P.; Di Fazio, C.; Nazzi, C.; Fracasso, A.; Borgomaneri, S. The Influence of Vicarious Fear-Learning in “Infecting” Reactive Action Inhibition. Front. Behav. Neurosci. 2022, 16, 946263. [Google Scholar] [CrossRef] [PubMed]
- Yu, H.; Ba, S.; Guo, Y.; Guo, L.; Xu, G. Effects of motor imagery tasks on brain functional networks based on EEG mu/beta rhythm. Brain Sci. 2022, 12, 194. [Google Scholar] [CrossRef]
- Sen, E.I. Is motor imagery effective for gait rehabilitation after stroke? A Cochrane Review summary with commentary. NeuroRehabilitation 2021, 49, 329–331. [Google Scholar] [CrossRef]
- Asao, A.; Wada, K.; Nomura, T.; Shibuya, K. Time course changes in corticospinal excitability during repetitive peripheral magnetic stimulation combined with motor imagery. Neurosci. Lett. 2022, 771, 136427. [Google Scholar] [CrossRef]
- Asao, A.; Ikeda, H.; Nomura, T.; Shibuya, K. Short-term session of repetitive peripheral magnetic stimulation combined with motor imagery facilitates corticospinal excitability in healthy human participants. NeuroReport 2019, 30, 562–566. [Google Scholar] [CrossRef] [PubMed]
- Asao, A.; Hoshino, Y.; Nomura, T.; Shibuya, K. Effect of repetitive peripheral magnetic stimulation combined with motor imagery on the corticospinal excitability of antagonist muscles. NeuroReport 2021, 32, 894–898. [Google Scholar] [CrossRef]
- Lee, M.; Yoon, J.G.; Lee, S.W. Predicting motor imagery performance from resting-state EEG using dynamic causal modeling. Front. Hum. Neurosci. 2020, 14, 321. [Google Scholar] [CrossRef] [PubMed]
- Debarnot, U.; Di Rienzo, F.; Daligault, S.; Schwartz, S. Motor imagery training during arm immobilization prevents corticomotor idling: An EEG resting-state analysis. Brain. Topogr. 2020, 33, 327–335. [Google Scholar] [CrossRef]
- Oldfield, R.C. The assessment and analysis of handedness: The Edinburgh inventory. Neuropsychologia 1971, 9, 97–113. [Google Scholar] [CrossRef]
- Folstein, M.F.; Folstein, S.E.; McHugh, P.R. “Mini-mental state”. A practical method for grading the cognitive state of patients for the clinician. J. Psychiatr. Res. 1975, 12, 189–198. [Google Scholar] [CrossRef]
- Faul, F.; Erdfelder, E.; Lang, A.G.; Buchner, A. G*Power 3: A flexible statistical power analysis program for the social, behavioral, and biomedical sciences. Behav. Res. Methods 2007, 39, 175–191. [Google Scholar] [CrossRef]
- Jiang, Y.F.; Zhang, D.; Zhang, J.; Hai, H.; Zhao, Y.Y.; Ma, Y.W. A randomized controlled trial of Repetitive peripheral Magnetic Stimulation applied in Early Subacute Stroke: Effects on Severe Upper-limb Impairment. Clin. Rehabil. 2022, 36, 693–702. [Google Scholar] [CrossRef]
- Moriuchi, T.; Nakashima, A.; Nakamura, J.; Anan, K.; Nishi, K.; Matsuo, T.; Hasegawa, T.; Mitsunaga, W.; Iso, N.; Higashi, T. The vividness of motor imagery is correlated with corticospinal excitability during combined motor imagery and action observation. Front. Hum. Neurosci. 2020, 14, 581652. [Google Scholar] [CrossRef]
- Pascual-Marqui, R.D. Discrete, 3D distributed, linear imaging methods of electric neuronal activity. Part 1: Exact, zero error localization. arXiv 2007, arXiv:0710.3341. [Google Scholar]
- Mizuguchi, N.; Suezawa, M.; Kanosue, K. Vividness and accuracy: Two independent aspects of motor imagery. Neurosci. Res. 2019, 147, 17–25. [Google Scholar] [CrossRef]
- Fulford, J.; Milton, F.; Salas, D.; Smith, A.; Simler, A.; Winlove, C.; Zeman, A. The neural correlates of visual imagery vividness–An fMRI study and literature review. Cortex 2018, 105, 26–40. [Google Scholar] [CrossRef] [PubMed]
- Iso, N.; Moriuchi, T.; Fujiwara, K.; Matsuo, M.; Mitsunaga, W.; Hasegawa, T.; Iso, F.; Cho, K.; Suzuki, M.; Higashi, T. Hemodynamic signal changes during motor imagery task performance are associated with the degree of motor task learning. Front. Hum. Neurosci. 2021, 15, 603069. [Google Scholar] [CrossRef] [PubMed]
- Totah, N.K.; Kim, Y.B.; Homayoun, H.; Moghaddam, B. Anterior cingulate neurons represent errors and preparatory attention within the same behavioral sequence. J. Neurosci. 2009, 29, 6418–6426. [Google Scholar] [CrossRef] [PubMed]
- Brockett, A.T.; Roesch, M.R. Anterior cingulate cortex and adaptive control of brain and behavior. Int. Rev. Neurobiol. 2021, 158, 283–309. [Google Scholar] [CrossRef]
- Orr, J.M.; Weissman, D.H. Anterior cingulate cortex makes 2 contributions to minimizing distraction. Cereb. Cortex 2009, 19, 703–711. [Google Scholar] [CrossRef]
- Crottaz-Herbette, S.; Menon, V. Where and when the anterior cingulate cortex modulates attentional response: Combined fMRI and ERP evidence. J. Cogn. Neurosci. 2006, 18, 766–780. [Google Scholar] [CrossRef]
- Rothé, M.; Quilodran, R.; Sallet, J.; Procyk, E. Coordination of high gamma activity in anterior cingulate and lateral prefrontal cortical areas during adaptation. J. Neurosci. 2011, 31, 11110–11117. [Google Scholar] [CrossRef]
- Bryden, D.W.; Johnson, E.E.; Tobia, S.C.; Kashtelyan, V.; Roesch, M.R. Attention for learning signals in anterior cingulate cortex. J. Neurosci. 2011, 31, 18266–18274. [Google Scholar] [CrossRef]
- Kolling, N.; Wittmann, M.K.; Behrens, T.E.; Boorman, E.D.; Mars, R.B.; Rushworth, M.F. Value, search, persistence and model updating in anterior cingulate cortex. Nat. Neurosci. 2016, 19, 1280–1285. [Google Scholar] [CrossRef]
- Kilteni, K.; Andersson, B.J.; Houborg, C.; Ehrsson, H.H. Motor imagery involves predicting the sensory consequences of the imagined movement. Nat. Commun. 2018, 9, 1617. [Google Scholar] [CrossRef] [PubMed]
- Rannaud Monany, D.; Barbiero, M.; Lebon, F.; Babič, J.; Blohm, G.; Nozaki, D.; White, O. Motor imagery helps updating internal models during microgravity exposure. J. Neurophysiol. 2022, 127, 434–443. [Google Scholar] [CrossRef] [PubMed]
- Cuenca-Martínez, F.; Suso-Martí, L.; León-Hernández, J.V.; La Touche, R. The role of movement representation techniques in the motor learning process: A neurophysiological hypothesis and a narrative review. Brain Sci. 2020, 10, 27. [Google Scholar] [CrossRef] [PubMed]
- Munzert, J.; Lorey, B.; Zentgraf, K. Cognitive motor processes: The role of motor imagery in the study of motor representations. Brain Res. Rev. 2009, 60, 306–326. [Google Scholar] [CrossRef]
- Zhang, T.; Liu, T.; Li, F.; Li, M.; Liu, D.; Zhang, R.; He, H.; Li, P.; Gong, J.; Luo, C.; et al. Structural and functional correlates of motor imagery BCI performance: Insights from the patterns of fronto-parietal attention network. Neuroimage 2016, 134, 475–485. [Google Scholar] [CrossRef]
- Guillot, A.; Collet, C.; Nguyen, V.A.; Malouin, F.; Richards, C.; Doyon, J. Brain activity during visual versus kinesthetic imagery: An fMRI study. Hum. Brain Mapp. 2009, 30, 2157–2172. [Google Scholar] [CrossRef]
- Nakano, H.; Kodama, T.; Ukai, K.; Kawahara, S.; Horikawa, S.; Murata, S. Reliability and Validity of the Japanese Version of the Kinesthetic and Visual Imagery Questionnaire (KVIQ). Brain Sci. 2018, 8, 79. [Google Scholar] [CrossRef]
- Nakano, H.; Tachibana, M.; Fujita, N.; Sawai, S.; Fujikawa, S.; Yamamoto, R.; Murata, S. Reliability and validity of the Japanese movement imagery questionnaire-revised second version. BMC Res. Notes. 2022, 15, 334. [Google Scholar] [CrossRef]
- Stecklow, M.V.; Infantosi, A.F.; Cagy, M. EEG changes during sequences of visual and kinesthetic motor imagery. Arq. Neuropsiquiatr. 2010, 68, 556–561. [Google Scholar] [CrossRef][Green Version]




| Group | Brain Region | BA | MNI Coordinates | p-Value |
|---|---|---|---|---|
| (x, y, z) | ||||
| MI + rPMS | Anterior cingulate cortex | 24 | (−5, 10, 30) | p < 0.05 |
| 32 | (−15, 15, 35) | |||
| 33 | (−5, 10, 25) |
Publisher’s Note: MDPI stays neutral with regard to jurisdictional claims in published maps and institutional affiliations. |
© 2022 by the authors. Licensee MDPI, Basel, Switzerland. This article is an open access article distributed under the terms and conditions of the Creative Commons Attribution (CC BY) license (https://creativecommons.org/licenses/by/4.0/).
Share and Cite
Sawai, S.; Fujikawa, S.; Ushio, R.; Tamura, K.; Ohsumi, C.; Yamamoto, R.; Murata, S.; Nakano, H. Repetitive Peripheral Magnetic Stimulation Combined with Motor Imagery Changes Resting-State EEG Activity: A Randomized Controlled Trial. Brain Sci. 2022, 12, 1548. https://doi.org/10.3390/brainsci12111548
Sawai S, Fujikawa S, Ushio R, Tamura K, Ohsumi C, Yamamoto R, Murata S, Nakano H. Repetitive Peripheral Magnetic Stimulation Combined with Motor Imagery Changes Resting-State EEG Activity: A Randomized Controlled Trial. Brain Sciences. 2022; 12(11):1548. https://doi.org/10.3390/brainsci12111548
Chicago/Turabian StyleSawai, Shun, Shoya Fujikawa, Ryu Ushio, Kosuke Tamura, Chihiro Ohsumi, Ryosuke Yamamoto, Shin Murata, and Hideki Nakano. 2022. "Repetitive Peripheral Magnetic Stimulation Combined with Motor Imagery Changes Resting-State EEG Activity: A Randomized Controlled Trial" Brain Sciences 12, no. 11: 1548. https://doi.org/10.3390/brainsci12111548
APA StyleSawai, S., Fujikawa, S., Ushio, R., Tamura, K., Ohsumi, C., Yamamoto, R., Murata, S., & Nakano, H. (2022). Repetitive Peripheral Magnetic Stimulation Combined with Motor Imagery Changes Resting-State EEG Activity: A Randomized Controlled Trial. Brain Sciences, 12(11), 1548. https://doi.org/10.3390/brainsci12111548

