Association between Structural Connectivity and Generalized Cognitive Spectrum in Alzheimer’s Disease
Abstract
1. Introduction
2. Materials
2.1. Subjects
2.2. Cognitive Assessment
- Clinical Dementia Rating Scale Sum of Boxes (CDR-SOB) is the index most used in clinical practice for evaluating disease severity including the mild and early symptomatic stages of dementia. The CDR is obtained through semistructured interviews of patients and informants, and cognitive functioning is rated in six functional domains: memory, home and hobbies, personal care, judgment and problem solving, community affairs and orientation. Each domain is rated on a 5-point scale: 0, no impairment; 0.5, questionable impairment; 1, mild impairment; 2, moderate impairment; and 3, severe impairment. The final CDR-SOB score is obtained by summing each of the domain box scores, with scores ranging from 0 to 18 [25].
- The cognitive subscale (ADAS-Cog-11) comprises 11 tasks that include both subject-completed tests and observer-based assessments. The tasks assess cognitive functioning of memory, praxis and language. Specific tasks comprise Naming Objects, Word Recall, Fingers, Commands, Orientation, Word Recognition, Constructional Praxis, Ideational Praxis and Language [26]. The extended version, i.e., the ADAS-Cog-13, includes all ADAS-Cog-11 items as well as a test of delayed word recall and a number cancellation or maze task [27].
- The mini-mental state examination (MMSE) assesses various cognitive domains, including memory, attention and language. Scores for MMSE range from 0 to 30; lower scores indicate greater cognitive dysfunction [28].
- The Montreal cognitive assessment (MoCA) consists of 12 individual tasks (grouped into cognitive domains, including visuospatial and executive functioning, attention, language, abstraction, naming, delayed memory recall and orientation), most of which are binary, and are scored and summed with a 6-item orientation screening and an educational correction to generate a total score representing the global cognitive functioning [29].
- The Functional Activities Questionnaire (FAQ) rates the instrumental activities of daily living (IADLs), such as preparing meals and managing personal finances [30]. The sum scores range in the 0–30 interval and the cut-point of 9 (dependent in 3 or more activities) is recommended to indicate possible cognitive impairment.
- The Rey auditory verbal learning test (RAVLT) consists of five presentations of a 15-word list (List A), each followed by attempted recall. This is followed by a second 15-word interference list (List B), followed by recall of List A. It scores different aspects of episodic memory such as the learning rate (learning and immediate RAVLT) but also delayed recall (forgetting and percent forgetting RAVLT) [31].
- The Everyday Cognition (ECog) scale is an informant-rated questionnaire that includes one global factor and six domain-specific factors. The psychometric properties in the ECog scale focus on everyday function and cognition mild problems reported from both both participant (ECog-PT) and study partner (ECog-SP) [32].
3. Methods
3.1. Image Processing
3.2. Network Metrics
- The node strength is a direct measure of centrality that characterize the relative importance of a node in a network by considering the weights of all the links of a node:
- Eigenvector centrality assesses the influence of a node in a self-referential manner by computing the centrality for a node based on the centrality of its neighbors [44]:where is the largest eigenvalue associated with the eigenvector of the matrix W.
- The local efficiency of a node characterizes how well information is exchanged by its neighbors when it is removed [45]:where is the local subgraph including the immediate neighbors of the node i, denotes the total nodes in the subgraph and denotes the length of the shortest path between the node i and another neighbor node j obtained by minimizing the sum of the weights of the links connecting the two nodes.
- The , () matrix has as features the elements of the upper triangular matrix W of each subject. Thus, this matrix includes the connectivity-related weights.
- The , () matrix has as features the three network metrics (e.g., strength, eigenvector centrality and efficiency) for each ROI. Accordingly, each feature is labeled as: “graph metric—roi”. This matrix describes the central role of each brain region.
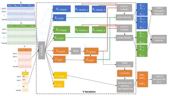
3.3. Machine Learning Framework
- identify a generalized index that effectively summarizes the cognitive spectrum of the population under investigation;
- find significant associations between the identified index and the features derived from the structural connectivity of the subjects; and
- identify the most important features in order to understand the strongest biological associations between the structural connectivity and cognitive spectrum.
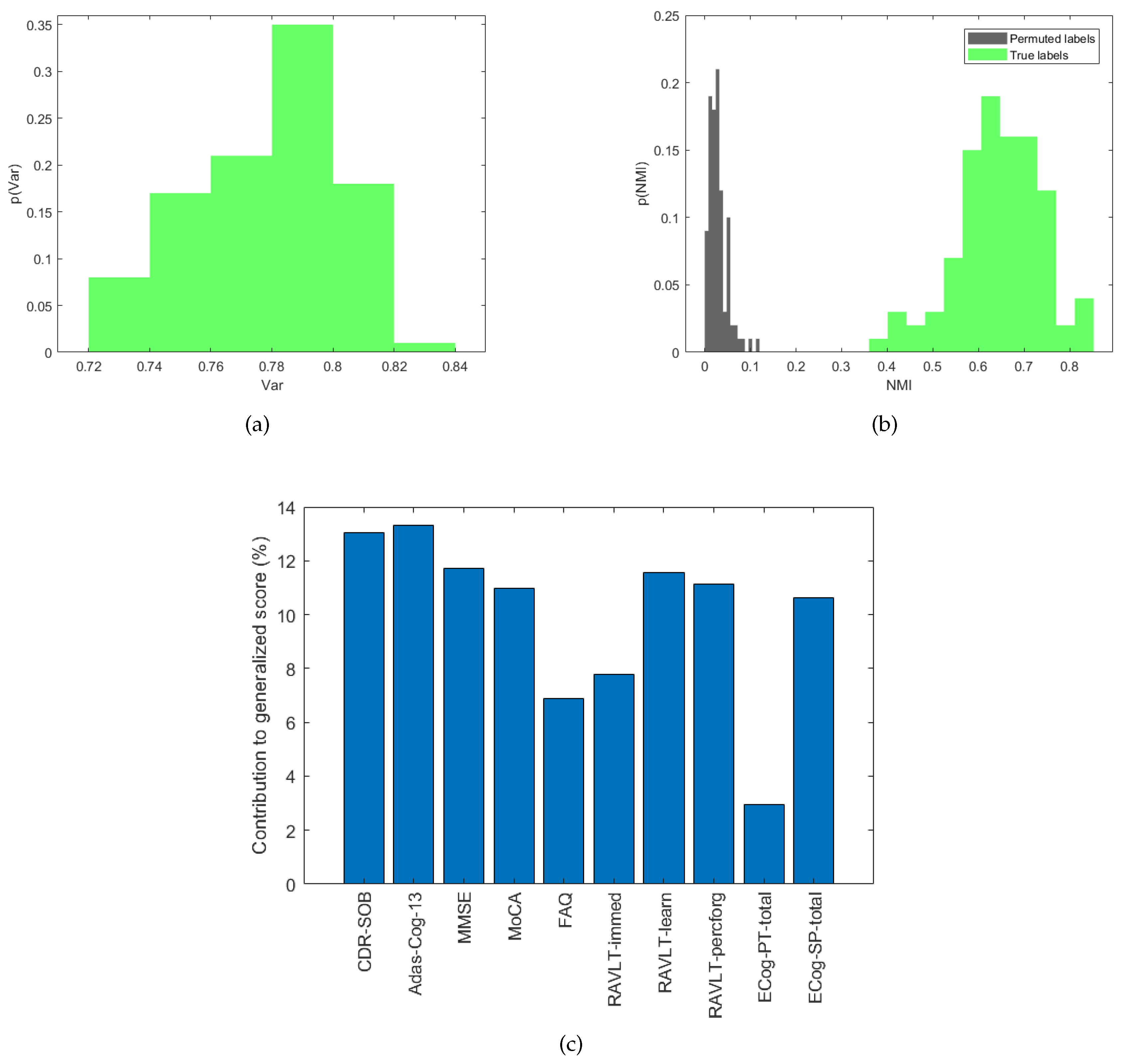
3.3.1. Identification and Validation of the Generalized Cognitive Score
- Gaussian mixture models (GMM) were adopted to model as a mixture of unimodal distributions in which each mode corresponds to a different subpopulation [50]. This clustering algorithm involves the Expectation Maximization (EM) technique for automatically estimating the parameters of the individual distribution components [51].
- The normalized mutual information (NMI) [52] between the set of identified subpopulations and the set of diagnostic labels (e.g., NC, AD and MCI) for the training samples was computed to assess the percentage of overlap between the two partitions.
3.3.2. Association between Connectivity and Generalized Cognitive Score
3.3.3. Identification of Significant Features
4. Results
4.1. Identification and Clinical Validation of the Generalized Cognitive Score
4.2. Best Model Selection
4.3. Identification of Significant Features
5. Discussion
6. Conclusions
Author Contributions
Funding
Acknowledgments
Conflicts of Interest
References
- Association, A. 2019 Alzheimer’s disease facts and figures. Alzheimers Dement. 2019, 15, 321–387. [Google Scholar] [CrossRef]
- Morris, J.C.; Storandt, M.; Miller, J.P.; McKeel, D.W.; Price, J.L.; Rubin, E.H.; Berg, L. Mild cognitive impairment represents early-stage Alzheimer disease. Arch. Neurol. 2001, 58, 397–405. [Google Scholar] [CrossRef] [PubMed]
- Latta, C.H.; Brothers, H.M.; Wilcock, D.M. Neuroinflammation in Alzheimer’s disease; a source of heterogeneity and target for personalized therapy. Neuroscience 2015, 302, 103–111. [Google Scholar] [CrossRef] [PubMed]
- Dubois, B.; Feldman, H.H.; Jacova, C.; Hampel, H.; Molinuevo, J.L.; Blennow, K.; DeKosky, S.T.; Gauthier, S.; Selkoe, D.; Bateman, R.; et al. Advancing research diagnostic criteria for Alzheimer’s disease: The IWG-2 criteria. Lancet Neurol. 2014, 13, 614–629. [Google Scholar] [CrossRef]
- Teng, E.; Becker, B.W.; Woo, E.; Knopman, D.S.; Cummings, J.L.; Lu, P.H. Utility of the Functional Activities Questionnaire for distinguishing mild cognitive impairment from very mild Alzheimer’s disease. Alzheimer Dis. Assoc. Disord. 2010, 24, 348. [Google Scholar] [CrossRef] [PubMed]
- Kueper, J.K.; Speechley, M.; Montero-Odasso, M. The Alzheimer’s disease assessment scale–cognitive subscale (ADAS-Cog): Modifications and responsiveness in pre-dementia populations. a narrative review. J. Alzheimers Dis. 2018, 63, 423–444. [Google Scholar] [CrossRef]
- Hsu, J.L.; Hsu, W.C.; Chang, C.C.; Lin, K.J.; Hsiao, T.; Fan, Y.C.; Bai, C.H. Everyday cognition scales are related to cognitive function in the early stage of probable Alzheimer’s disease and FDG-PET findings. Sci. Rep. 2017, 7, 1–9. [Google Scholar] [CrossRef]
- Moradi, E.; Hallikainen, I.; Hänninen, T.; Tohka, J.; Alzheimer’s Disease Neuroimaging Initiative. Rey’s Auditory Verbal Learning Test scores can be predicted from whole brain MRI in Alzheimer’s disease. NeuroImage Clin. 2017, 13, 415–427. [Google Scholar] [CrossRef]
- Zhou, J.; Liu, J.; Narayan, V.A.; Ye, J.; Alzheimer’s Disease Neuroimaging Initiative. Modeling disease progression via multi-task learning. NeuroImage 2013, 78, 233–248. [Google Scholar] [CrossRef]
- Stonnington, C.M.; Chu, C.; Klöppel, S.; Jack, C.R., Jr.; Ashburner, J.; Frackowiak, R.S.; Alzheimer’s Disease Neuroimaging Initiative. Predicting clinical scores from magnetic resonance scans in Alzheimer’s disease. NeuroImage 2010, 51, 1405–1413. [Google Scholar] [CrossRef]
- Wang, Y.; Fan, Y.; Bhatt, P.; Davatzikos, C. High-dimensional pattern regression using machine learning: From medical images to continuous clinical variables. NeuroImage 2010, 50, 1519–1535. [Google Scholar] [CrossRef] [PubMed]
- Zhang, D.; Shen, D.; Alzheimer’s Disease Neuroimaging Initiative. Multi-modal multi-task learning for joint prediction of multiple regression and classification variables in Alzheimer’s disease. NeuroImage 2012, 59, 895–907. [Google Scholar] [CrossRef]
- Cao, P.; Liu, X.; Liu, H.; Yang, J.; Zhao, D.; Huang, M.; Zaiane, O. Generalized fused group lasso regularized multi-task feature learning for predicting cognitive outcomes in Alzheimers disease. Comput. Methods Programs Biomed. 2018, 162, 19–45. [Google Scholar] [CrossRef] [PubMed]
- Amoroso, N.; La Rocca, M.; Bruno, S.; Maggipinto, T.; Monaco, A.; Bellotti, R.; Tangaro, S. Multiplex networks for early diagnosis of Alzheimer’s disease. Front. Aging Neurosci. 2018, 10, 365. [Google Scholar] [CrossRef] [PubMed]
- Rose, S.E.; Chen, F.; Chalk, J.B.; Zelaya, F.O.; Strugnell, W.E.; Benson, M.; Semple, J.; Doddrell, D.M. Loss of connectivity in Alzheimer’s disease: An evaluation of white matter tract integrity with colour coded MR diffusion tensor imaging. J. Neurol. Neurosurg. Psychiatry 2000, 69, 528–530. [Google Scholar] [CrossRef]
- Lo, C.Y.; Wang, P.N.; Chou, K.H.; Wang, J.; He, Y.; Lin, C.P. Diffusion tensor tractography reveals abnormal topological organization in structural cortical networks in Alzheimer’s disease. J. Neurosci. 2010, 30, 16876–16885. [Google Scholar] [CrossRef]
- Amoroso, N.; Monaco, A.; Tangaro, S.; Neuroimaging Initiative. Topological measurements of DWI tractography for Alzheimer’s disease detection. Comput. Math. Methods Med. 2017, 2017, 5271627. [Google Scholar] [CrossRef]
- Bullmore, E.; Sporns, O. Complex brain networks: Graph theoretical analysis of structural and functional systems. Nat. Rev. Neurosci. 2009, 10, 186–198. [Google Scholar] [CrossRef]
- Amico, E.; Goñi, J. Mapping hybrid functional-structural connectivity traits in the human connectome. Netw. Neurosci. 2018, 2, 306–322. [Google Scholar] [CrossRef]
- Tipnis, U.; Amico, E.; Ventresca, M.; Goni, J. Modeling communication processes in the human connectome through cooperative learning. IEEE Trans. Netw. Sci. Eng. 2018. [Google Scholar] [CrossRef]
- Rubinov, M.; Sporns, O. Complex network measures of brain connectivity: Uses and interpretations. NeuroImage 2010, 52, 1059–1069. [Google Scholar] [CrossRef] [PubMed]
- Ebadi, A.; Dalboni da Rocha, J.L.; Nagaraju, D.B.; Tovar-Moll, F.; Bramati, I.; Coutinho, G.; Sitaram, R.; Rashidi, P. Ensemble classification of Alzheimer’s disease and mild cognitive impairment based on complex graph measures from diffusion tensor images. Front. Neurosci. 2017, 11, 56. [Google Scholar] [CrossRef] [PubMed]
- Lella, E.; Amoroso, N.; Lombardi, A.; Maggipinto, T.; Tangaro, S.; Bellotti, R.; Alzheimer’s Disease Neuroimaging Initiative. Communicability disruption in Alzheimer’s disease connectivity networks. J. Complex Netw. 2019, 7, 83–100. [Google Scholar] [CrossRef]
- Lella, E.; Lombardi, A.; Amoroso, N.; Diacono, D.; Maggipinto, T.; Monaco, A.; Bellotti, R.; Tangaro, S. Machine learning and dwi brain communicability networks for alzheimer’s disease detection. Appl. Sci. 2020, 10, 934. [Google Scholar] [CrossRef]
- O’Bryant, S.E.; Waring, S.C.; Cullum, C.M.; Hall, J.; Lacritz, L.; Massman, P.J.; Lupo, P.J.; Reisch, J.S.; Doody, R. Staging dementia using Clinical Dementia Rating Scale Sum of Boxes scores: A Texas Alzheimer’s research consortium study. Arch. Neurol. 2008, 65, 1091–1095. [Google Scholar] [CrossRef]
- Rosen, W.G.; Mohs, R.C.; Davis, K.L. A new rating scale for Alzheimer’s disease. Am. J. Psychiatry 1984, 141, 1356–1364. [Google Scholar]
- Mohs, R.C.; Knopman, D.; Petersen, R.C.; Ferris, S.H.; Ernesto, C.; Grundman, M.; Sano, M.; Bieliauskas, L.; Geldmacher, D.; Clark, C.; et al. Development of cognitive instruments for use in clinical trials of antidementia drugs: Additions to the Alzheimer’s Disease Assessment Scale that broaden its scope. Alzheimer Dis. Assoc. Disord. 1997, 11, S13–S21. [Google Scholar] [CrossRef]
- Folstein, M.F.; Folstein, S.E.; McHugh, P.R. “Mini-mental state”: A practical method for grading the cognitive state of patients for the clinician. J. Psychiatr. Res. 1975, 12, 189–198. [Google Scholar] [CrossRef]
- Nasreddine, Z.S.; Phillips, N.A.; Bédirian, V.; Charbonneau, S.; Whitehead, V.; Collin, I.; Cummings, J.L.; Chertkow, H. The Montreal Cognitive Assessment, MoCA: A brief screening tool for mild cognitive impairment. J. Am. Geriatr. Soc. 2005, 53, 695–699. [Google Scholar] [CrossRef]
- Pfeffer, R.I.; Kurosaki, T.T.; Harrah, C., Jr.; Chance, J.M.; Filos, S. Measurement of functional activities in older adults in the community. J. Gerontol. 1982, 37, 323–329. [Google Scholar] [CrossRef]
- Schmidt, M. Rey Auditory Verbal Learning Test: A Handbook; Western Psychological Services: Los Angeles, CA, USA, 1996. [Google Scholar]
- Farias, S.T.; Mungas, D.; Reed, B.R.; Cahn-Weiner, D.; Jagust, W.; Baynes, K.; DeCarli, C. The measurement of everyday cognition (ECog): Scale development and psychometric properties. Neuropsychology 2008, 22, 531. [Google Scholar] [CrossRef] [PubMed]
- Tournier, J.D.; Calamante, F.; Connelly, A. MRtrix: Diffusion tractography in crossing fiber regions. Int. J. Imaging Syst. Technol. 2012, 22, 53–66. [Google Scholar] [CrossRef]
- Tournier, J.D.; Smith, R.; Raffelt, D.; Tabbara, R.; Dhollander, T.; Pietsch, M.; Christiaens, D.; Jeurissen, B.; Yeh, C.H.; Connelly, A. MRtrix3: A fast, flexible and open software framework for medical image processing and visualisation. NeuroImage 2019, 202, 116137. [Google Scholar] [CrossRef] [PubMed]
- Jenkinson, M.; Beckmann, C.F.; Behrens, T.E.; Woolrich, M.W.; Smith, S.M. Fsl. Neuroimage 2012, 62, 782–790. [Google Scholar] [CrossRef]
- Lella, E.; Amoroso, N.; Diacono, D.; Lombardi, A.; Maggipinto, T.; Monaco, A.; Bellotti, R.; Tangaro, S. Communicability characterization of structural DWI subcortical networks in Alzheimer’s disease. Entropy 2019, 21, 475. [Google Scholar] [CrossRef]
- Smith, S.M. Fast robust automated brain extraction. Hum. Brain Mapp. 2002, 17, 143–155. [Google Scholar] [CrossRef]
- Zhang, Y.; Brady, M.; Smith, S. Segmentation of brain MR images through a hidden Markov random field model and the expectation-maximization algorithm. IEEE Trans. Med. Imaging 2001, 20, 45–57. [Google Scholar] [CrossRef]
- Jeurissen, B.; Tournier, J.D.; Dhollander, T.; Connelly, A.; Sijbers, J. Multi-tissue constrained spherical deconvolution for improved analysis of multi-shell diffusion MRI data. NeuroImage 2014, 103, 411–426. [Google Scholar] [CrossRef]
- Tournier, J.D.; Calamante, F.; Connelly, A. Improved probabilistic streamlines tractography by 2nd order integration over fibre orientation distributions. In Proceedings of the International Society for Magnetic Resonance in Medicine (Ismrm), Stockholm, Sweden, 1–7 May 2010; Volume 1670. [Google Scholar]
- Smith, R.E.; Tournier, J.D.; Calamante, F.; Connelly, A. SIFT2: Enabling dense quantitative assessment of brain white matter connectivity using streamlines tractography. NeuroImage 2015, 119, 338–351. [Google Scholar] [CrossRef]
- Smith, R.E.; Tournier, J.D.; Calamante, F.; Connelly, A. Anatomically-constrained tractography: Improved diffusion MRI streamlines tractography through effective use of anatomical information. NeuroImage 2012, 62, 1924–1938. [Google Scholar] [CrossRef]
- Rolls, E.T.; Joliot, M.; Tzourio-Mazoyer, N. Implementation of a new parcellation of the orbitofrontal cortex in the automated anatomical labeling atlas. NeuroImage 2015, 122, 1–5. [Google Scholar] [CrossRef]
- Bonacich, P. Power and centrality: A family of measures. Am. J. Sociol. 1987, 92, 1170–1182. [Google Scholar] [CrossRef]
- Latora, V.; Marchiori, M. Efficient behavior of small-world networks. Phys. Rev. Lett. 2001, 87, 198701. [Google Scholar] [CrossRef] [PubMed]
- Lombardi, A.; Guaragnella, C.; Amoroso, N.; Monaco, A.; Fazio, L.; Taurisano, P.; Pergola, G.; Blasi, G.; Bertolino, A.; Bellotti, R.; et al. Modelling cognitive loads in schizophrenia by means of new functional dynamic indexes. NeuroImage 2019, 195, 150–164. [Google Scholar] [CrossRef] [PubMed]
- Joliffe, I.; Morgan, B. Principal component analysis and exploratory factor analysis. Stat. Methods Med. Res. 1992, 1, 69–95. [Google Scholar] [CrossRef] [PubMed]
- Zhang, Z.; Castelló, A. Principal components analysis in clinical studies. Ann. Transl. Med. 2017, 5, 351. [Google Scholar] [CrossRef] [PubMed]
- Hansen, L.K.; Larsen, J.; Nielsen, F.Å.; Strother, S.C.; Rostrup, E.; Savoy, R.; Lange, N.; Sidtis, J.; Svarer, C.; Paulson, O.B. Generalizable patterns in neuroimaging: How many principal components? NeuroImage 1999, 9, 534–544. [Google Scholar] [CrossRef]
- Reynolds, D.A. Gaussian Mixture Models. In Encyclopedia of Biometrics; Springer Science & Business Media: Berlin, Germany, 2009; Volume 741. [Google Scholar]
- Yang, M.S.; Lai, C.Y.; Lin, C.Y. A robust EM clustering algorithm for Gaussian mixture models. Pattern Recognit. 2012, 45, 3950–3961. [Google Scholar] [CrossRef]
- Kuncheva, L.I.; Hadjitodorov, S.T. Using diversity in cluster ensembles. In Proceedings of the 2004 IEEE International Conference on Systems, Man and Cybernetics (IEEE Cat. No. 04CH37583), The Hague, The Netherlands, 10–13 October 2004; Volume 2, pp. 1214–1219. [Google Scholar]
- Tibshirani, R. Regression shrinkage and selection via the lasso. J. R. Stat. Soc. Ser. B (Methodol.) 1996, 58, 267–288. [Google Scholar] [CrossRef]
- Kalousis, A.; Prados, J.; Hilario, M. Stability of feature selection algorithms: A study on high-dimensional spaces. Knowl. Inf. Syst. 2007, 12, 95–116. [Google Scholar] [CrossRef]
- Li, X.; Wang, X.; Xiao, G. A comparative study of rank aggregation methods for partial and top ranked lists in genomic applications. Briefings Bioinform. 2019, 20, 178–189. [Google Scholar] [CrossRef] [PubMed]
- Lombardi, A.; Amoroso, N.; Diacono, D.; Monaco, A.; Tangaro, S.; Bellotti, R. Extensive Evaluation of Morphological Statistical Harmonization for Brain Age Prediction. Brain Sci. 2020, 10, 364. [Google Scholar] [CrossRef] [PubMed]
- Zhu, X.; Suk, H.I.; Shen, D. A novel matrix-similarity based loss function for joint regression and classification in AD diagnosis. NeuroImage 2014, 100, 91–105. [Google Scholar] [CrossRef] [PubMed]
- Yu, G.; Liu, Y.; Shen, D. Graph-guided joint prediction of class label and clinical scores for the Alzheimer’s disease. Brain Struct. Funct. 2016, 221, 3787–3801. [Google Scholar] [CrossRef]
- Zhu, X.; Suk, H.I.; Wang, L.; Lee, S.W.; Shen, D.; Alzheimer’s Disease Neuroimaging Initiative. A novel relational regularization feature selection method for joint regression and classification in AD diagnosis. Med. Image Anal. 2017, 38, 205–214. [Google Scholar] [CrossRef]
- Liu, M.; Zhang, J.; Adeli, E.; Shen, D. Joint classification and regression via deep multi-task multi-channel learning for Alzheimer’s disease diagnosis. IEEE Trans. Biomed. Eng. 2018, 66, 1195–1206. [Google Scholar] [CrossRef]
- Huang, L.; Jin, Y.; Gao, Y.; Thung, K.H.; Shen, D.; Alzheimer’s Disease Neuroimaging Initiative. Longitudinal clinical score prediction in Alzheimer’s disease with soft-split sparse regression based random forest. Neurobiol. Aging 2016, 46, 180–191. [Google Scholar] [CrossRef]
- Liu, J.; Ji, S.; Ye, J. Multi-task feature learning via efficient l2, 1-norm minimization. arXiv 2012, arXiv:1205.2631. [Google Scholar]
- Wang, H.; Nie, F.; Huang, H.; Risacher, S.; Ding, C.; Saykin, A.J.; Shen, L. Sparse multi-task regression and feature selection to identify brain imaging predictors for memory performance. In Proceedings of the IEEE 2011 International Conference on Computer Vision, Barcelona, Spain, 6–13 November 2011; pp. 557–562. [Google Scholar]
- Gui, J.; Sun, Z.; Ji, S.; Tao, D.; Tan, T. Feature selection based on structured sparsity: A comprehensive study. IEEE Trans. Neural Netw. Learn. Syst. 2016, 28, 1490–1507. [Google Scholar] [CrossRef]
- Hawkins, D.M. The problem of overfitting. J. Chem. Inf. Comput. Sci. 2004, 44, 1–12. [Google Scholar] [CrossRef]
- Jones, B.F.; Barnes, J.; Uylings, H.B.; Fox, N.C.; Frost, C.; Witter, M.P.; Scheltens, P. Differential regional atrophy of the cingulate gyrus in Alzheimer disease: A volumetric MRI study. Cereb. Cortex 2006, 16, 1701–1708. [Google Scholar] [CrossRef] [PubMed]
- Wang, L.; Goldstein, F.C.; Veledar, E.; Levey, A.I.; Lah, J.J.; Meltzer, C.C.; Holder, C.A.; Mao, H. Alterations in cortical thickness and white matter integrity in mild cognitive impairment measured by whole-brain cortical thickness mapping and diffusion tensor imaging. Am. J. Neuroradiol. 2009, 30, 893–899. [Google Scholar] [CrossRef] [PubMed]
- Bosch, B.; Arenaza-Urquijo, E.M.; Rami, L.; Sala-Llonch, R.; Junqué, C.; Solé-Padullés, C.; Peña-Gómez, C.; Bargalló, N.; Molinuevo, J.L.; Bartrés-Faz, D. Multiple DTI index analysis in normal aging, amnestic MCI and AD. Relationship with neuropsychological performance. Neurobiol. Aging 2012, 33, 61–74. [Google Scholar] [CrossRef] [PubMed]
- Fu, Z.; Iraji, A.; Caprihan, A.; Adair, J.C.; Sui, J.; Rosenberg, G.A.; Calhoun, V.D. In search of multimodal brain alterations in Alzheimer’s and Binswanger’s disease. NeuroImage Clin. 2020, 26, 101937. [Google Scholar] [CrossRef] [PubMed]
- Daianu, M.; Jahanshad, N.; Nir, T.M.; Jack, C.R., Jr.; Weiner, M.W.; Bernstein, M.A.; Thompson, P.M.; Alzheimer’s Disease Neuroimaging Initiative. Rich club analysis in the Alzheimer’s disease connectome reveals a relatively undisturbed structural core network. Hum. Brain Mapp. 2015, 36, 3087–3103. [Google Scholar] [CrossRef] [PubMed]
- Van den Heuvel, M.P.; Sporns, O. Network hubs in the human brain. Trends Cogn. Sci. 2013, 17, 683–696. [Google Scholar] [CrossRef]
- Allen, G.I.; Amoroso, N.; Anghel, C.; Balagurusamy, V.; Bare, C.J.; Beaton, D.; Bellotti, R.; Bennett, D.A.; Boehme, K.L.; Boutros, P.C.; et al. Crowdsourced estimation of cognitive decline and resilience in Alzheimer’s disease. Alzheimers Dement. 2016, 12, 645–653. [Google Scholar] [CrossRef]
- Binnewijzend, M.A.; Adriaanse, S.M.; Van der Flier, W.M.; Teunissen, C.E.; de Munck, J.C.; Stam, C.J.; Scheltens, P.; van Berckel, B.N.; Barkhof, F.; Wink, A.M. Brain network alterations in Alzheimer’s disease measured by eigenvector centrality in fMRI are related to cognition and CSF biomarkers. Hum. Brain Mapp. 2014, 35, 2383–2393. [Google Scholar] [CrossRef]





| NC (48) | AD (39) | MCI (104) | |
|---|---|---|---|
| Age | |||
| Gender | 24 M/24 F | 26 M/13 F | 64 M/40 F |
| CDR-SOB | |||
| Adas-Cog 13 | |||
| MMSE | |||
| MoCA | |||
| FAQ | |||
| RAVLT-immed | |||
| RAVLT-learn | |||
| RAVLT-percforg | |||
| ECog-PT-total | |||
| ECog-SP-total |
| Clinical Index | ||
|---|---|---|
| Generalized score | ||
| CDR-SOB | ||
| Adas-Cog 13 | ||
| MMSE | ||
| MoCA | ||
| FAQ | ||
| RAVLT-immed | ||
| RAVLT-learn | ||
| RAVLT-percforg | ||
| ECog-PT-total | ||
| ECog-SP-total |
| ROIs | Abbreviation (MNI Coordinates) | Graph Metric | Association |
|---|---|---|---|
| Right anterior cingulate gyrus | ACG.R (8.46, 37.01, 15.84) | E | negative |
| Left inferior occipital gyrus | IOG.L (−36.36, −78.29, −7.84) | E | negative |
| Right pallidum | PAL.R (21.2, 0.18, 0.23) | E | negative |
| Left thalamus | THAL.L (−10.85, −17.56, 7.98) | E | negative |
| Left superior temporal gyrus | TPOsup.L (−39.88, 15.14, −20.18) | S | negative |
| Right superior temporal gyrus | TPOsup.R (48.25, 14.75, −16.86) | S | negative |
| Left middle frontal gyrus | MFG.L (−33.43, 32.73, 35.46) | E | positive |
| Right middle frontal gyrus | MFG.R (37.59, 33.06, 34.04) | E and eig | positive |
| Left anterior cingulate gyrus | ACG.L (−4.04, 35.4, 13.95) | eig | positive |
| Right postcentral gyrus | PoCG.R (41.43, −25.49, 52.55) | E | positive |
| Left inferior parietal gyrus | IPL.L (−42.8, −45.82, 46.74) | S | positive |
| Left cerebellum 6 | CRBL6.L (−23.24, −59.10, −22.13) | E | positive |
Publisher’s Note: MDPI stays neutral with regard to jurisdictional claims in published maps and institutional affiliations. |
© 2020 by the authors. Licensee MDPI, Basel, Switzerland. This article is an open access article distributed under the terms and conditions of the Creative Commons Attribution (CC BY) license (http://creativecommons.org/licenses/by/4.0/).
Share and Cite
Lombardi, A.; Amoroso, N.; Diacono, D.; Monaco, A.; Logroscino, G.; De Blasi, R.; Bellotti, R.; Tangaro, S. Association between Structural Connectivity and Generalized Cognitive Spectrum in Alzheimer’s Disease. Brain Sci. 2020, 10, 879. https://doi.org/10.3390/brainsci10110879
Lombardi A, Amoroso N, Diacono D, Monaco A, Logroscino G, De Blasi R, Bellotti R, Tangaro S. Association between Structural Connectivity and Generalized Cognitive Spectrum in Alzheimer’s Disease. Brain Sciences. 2020; 10(11):879. https://doi.org/10.3390/brainsci10110879
Chicago/Turabian StyleLombardi, Angela, Nicola Amoroso, Domenico Diacono, Alfonso Monaco, Giancarlo Logroscino, Roberto De Blasi, Roberto Bellotti, and Sabina Tangaro. 2020. "Association between Structural Connectivity and Generalized Cognitive Spectrum in Alzheimer’s Disease" Brain Sciences 10, no. 11: 879. https://doi.org/10.3390/brainsci10110879
APA StyleLombardi, A., Amoroso, N., Diacono, D., Monaco, A., Logroscino, G., De Blasi, R., Bellotti, R., & Tangaro, S. (2020). Association between Structural Connectivity and Generalized Cognitive Spectrum in Alzheimer’s Disease. Brain Sciences, 10(11), 879. https://doi.org/10.3390/brainsci10110879

