Hybrid Grating in Reduced-Diameter Fiber for Temperature-Calibrated High-Sensitivity Refractive Index Sensing
Abstract
1. Introduction
2. Principle and Device Fabrication
3. Sensing Performance Tests and Discussions
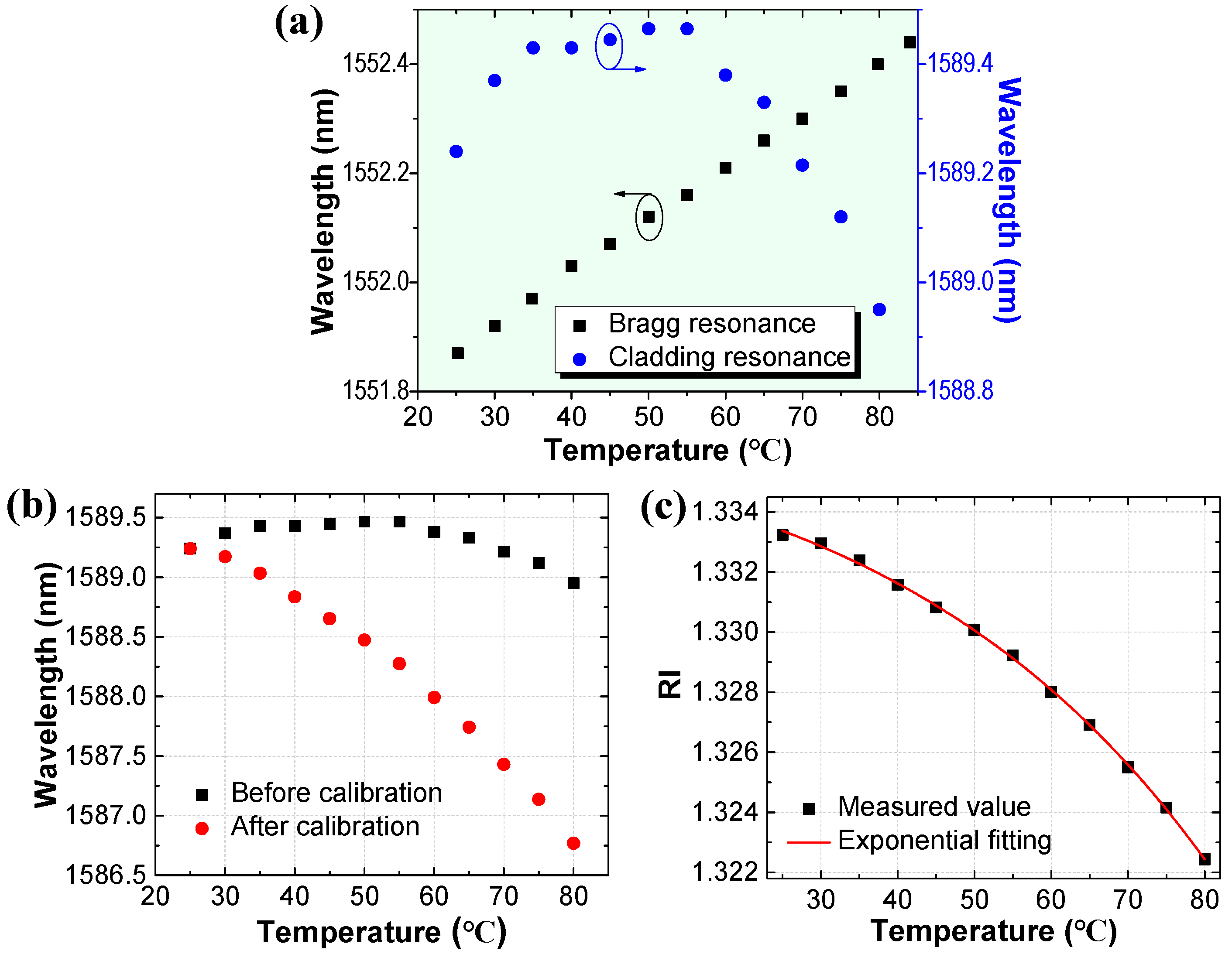
3.1. Temperature Response
3.2. Refractive Index Response
3.3. Temperature Dependence of Refractive Index of Water
4. Conclusions
Author Contributions
Funding
Acknowledgments
Conflicts of Interest
References
- Zhou, W.; Zhou, Y.; Albert, J. A true fiber optic refractometer. Laser Photonics Rev. 2017, 11, 1600157. [Google Scholar] [CrossRef]
- Caucheteur, C.; Guo, T.; Liu, F.; Guan, B.-O.; Albert, J. Ultrasensitive plasmonic sensing in air using optical fibre spectral combs. Nat. Commun. 2016, 7, 13371. [Google Scholar] [CrossRef]
- Jin, W.; Cao, Y.; Yang, F.; Ho, H.L. Ultra-sensitive all-fibre photothermal spectroscopy with large dynamic range. Nat. Commun. 2015, 6, 6767. [Google Scholar] [CrossRef]
- Shao, L.-Y.; Yin, M.-J.; Tam, H.-Y.; Albert, J. Fiber optic pH sensor with self-assembled polymer multilayer nanocoatings. Sensors 2013, 13, 1425–1434. [Google Scholar] [CrossRef]
- Wang, Y.; Shen, C.; Lou, W.; Shentu, F.; Zhong, C.; Dong, X.; Tong, L. Fiber optic relative humidity sensor based on the tilted fiber Bragg grating coated with graphene oxide. Appl. Phys. Lett. 2016, 109, 031107. [Google Scholar] [CrossRef]
- Li, Z.; Liao, C.; Chen, D.; Song, J.; Jin, W.; Peng, G.-D.; Zhu, F.; Wang, Y.; He, J.; Wang, Y. Label-free detection of bovine serum albumin based on an in-fiber Mach-Zehnder interferometric biosensor. Opt. Express 2017, 25, 17105–17113. [Google Scholar] [CrossRef]
- Andrews, N.L.P.; Ross, R.; Munzke, D.; van Hoorn, C.; Brzezinski, A.; Barnes, J.A.; Reich, O.; Loock, H.-P. In-fiber Mach-Zehnder interferometer for gas refractive index measurements based on a hollow-core photonic crystal fiber. Opt. Express 2016, 24, 14086–14099. [Google Scholar] [CrossRef]
- Shen, F.; Wang, C.; Sun, Z.; Zhou, K.; Zhang, L.; Shu, X. Small-period long-period fiber grating with improved refractive index sensitivity and dual-parameter sensing ability. Opt. Lett. 2017, 42, 199–202. [Google Scholar] [CrossRef]
- Guan, C.; Tian, X.; Li, S.; Zhong, X.; Shi, J.; Yuan, L. Long period fiber grating and high sensitivity refractive index sensor based on hollow eccentric optical fiber. Sens. Actuators B Chem. 2013, 188, 768–771. [Google Scholar] [CrossRef]
- Jiang, B.; Zhou, K.; Wang, C.; Zhao, Y.; Zhao, J.; Zhang, L. Temperature-calibrated high-precision refractometer using a tilted fiber Bragg grating. Opt. Express 2017, 25, 25910–25918. [Google Scholar] [CrossRef]
- Guo, T.; Liu, F.; Guan, B.-O.; Albert, J. [INVITED] Tilted fiber grating mechanical and biochemical sensors. Opt. Laser Technol. 2016, 78, 19–33. [Google Scholar] [CrossRef]
- Zheng, J.; Dong, X.; Ji, J.; Su, H.; Ping Shum, P. Power-referenced refractometer with tilted fiber Bragg grating cascaded by chirped grating. Opt. Commun. 2014, 312, 106–109. [Google Scholar] [CrossRef]
- Zhou, W.; Mandia, D.J.; Barry, S.T.; Albert, J. Absolute near-infrared refractometry with a calibrated tilted fiber Bragg grating. Opt. Lett. 2015, 40, 1713–1716. [Google Scholar] [CrossRef] [PubMed]
- Wang, T.; Liu, K.; Jiang, J.; Xue, M.; Chang, P.; Liu, T. Temperature-insensitive refractive index sensor based on tilted moiré FBG with high resolution. Opt. Express 2017, 25, 14900–14909. [Google Scholar] [CrossRef] [PubMed]
- Albert, J.; Shao, L.-Y.; Caucheteur, C. Tilted fiber Bragg grating sensors. Laser Photonics Rev. 2013, 7, 83–108. [Google Scholar] [CrossRef]
- Chen, X.; Xu, J.; Zhang, X.; Guo, T.; Guan, B. Wide range refractive index measurement using a multi-angle tilted fiber Bragg grating. IEEE Photonics Technol. Lett. 2017, 29, 719–722. [Google Scholar] [CrossRef]
- Jiang, B.; Bi, Z.; Wang, S.; Xi, T.; Zhou, K.; Zhang, L.; Zhao, J. Cascaded tilted fiber Bragg grating for enhanced refractive index sensing. Chin. Phys. B 2018, 27, 114220. [Google Scholar] [CrossRef]
- Gu, B.; Qi, W.; Zheng, J.; Zhou, Y.; Shum, P.P.; Luan, F. Simple and compact reflective refractometer based on tilted fiber Bragg grating inscribed in thin-core fiber. Opt. Lett. 2014, 39, 22–25. [Google Scholar] [CrossRef]
- Guo, T.; González-Vila, Á.; Loyez, M.; Caucheteur, C. Plasmonic Optical Fiber-Grating Immunosensing: A Review. Sensors 2017, 17, 2732. [Google Scholar] [CrossRef]
- González-Vila, Á.; Ioannou, A.; Loyez, M.; Debliquy, M.; Lahem, D.; Caucheteur, C. Surface plasmon resonance sensing in gaseous media with optical fiber gratings. Opt. Lett. 2018, 43, 2308–2311. [Google Scholar] [CrossRef] [PubMed]
- Shen, C.; Zhong, C.; Liu, D.; Lian, X.; Zheng, J.; Wang, J.; Semenova, Y.; Farrell, G.; Albert, J.; Donegan, J.F. Measurements of milli-Newton surface tension forces with tilted fiber Bragg gratings. Opt. Lett. 2018, 43, 255–258. [Google Scholar] [CrossRef]
- Baiad, M.D.; Gagné, M.; Madore, W.-J.; De Montigny, E.; Godbout, N.; Boudoux, C.; Kashyap, R. Surface plasmon resonance sensor interrogation with a double-clad fiber coupler and cladding modes excited by a tilted fiber Bragg grating. Opt. Lett. 2013, 38, 4911–4914. [Google Scholar] [CrossRef] [PubMed]
- Hu, X.; Mégret, P.; Caucheteur, C. Surface plasmon excitation at near-infrared wavelengths in polymer optical fibers. Opt. Lett. 2015, 40, 3998–4001. [Google Scholar] [CrossRef] [PubMed]
- Renoirt, J.-M.; Debliquy, M.; Albert, J.; Ianoul, A.; Caucheteur, C. Surface plasmon resonances in oriented silver nanowire coatings on optical fibers. J. Phys. Chem. C 2014, 118, 11035–11042. [Google Scholar] [CrossRef]
- Jiang, B.; Lu, X.; Gan, X.; Qi, M.; Wang, Y.; Han, L.; Mao, D.; Zhang, W.; Ren, Z.; Zhao, J. Graphene-coated tilted fiber-Bragg grating for enhanced sensing in low-refractive-index region. Opt. Lett. 2015, 40, 3994–3997. [Google Scholar] [CrossRef] [PubMed]
- Renoirt, J.-M.; Zhang, C.; Debliquy, M.; Olivier, M.-G.; Mégret, P.; Caucheteur, C. High-refractive-index transparent coatings enhance the optical fiber cladding modes refractometric sensitivity. Opt. Express 2013, 21, 29073–29082. [Google Scholar] [CrossRef] [PubMed]
- Jiang, B.; Lu, X.; Mao, D.; Wang, Y.; Zhang, W.; Gan, X.; Zhao, J. Carbon nanotube-deposited tilted fiber Bragg grating for refractive index and temperature sensing. IEEE Photonics Technol. Lett. 2016, 28, 994–997. [Google Scholar] [CrossRef]
- Li, Z.; Yu, Z.; Yan, B.; Ruan, X.; Zhang, Y.; Dai, Y. Theoretical analysis of tuning property of the graphene integrated excessively tilted fiber grating for sensitivity enhancement. J. Opt. Soc. Am. B 2019, 36, 108–118. [Google Scholar] [CrossRef]
- Zhou, K.; Zhang, L.; Chen, X.; Bennion, I. Optic sensors of high refractive-index responsivity and low thermal cross sensitivity that use fiber Bragg gratings of >80° tilted structures. Opt. Lett. 2006, 31, 1193–1195. [Google Scholar] [CrossRef] [PubMed]
- Yan, Z.; Wang, H.; Wang, C.; Sun, Z.; Yin, G.; Zhou, K.; Wang, Y.; Zhao, W.; Zhang, L. Theoretical and experimental analysis of excessively tilted fiber gratings. Opt. Express 2016, 24, 12107–12115. [Google Scholar] [CrossRef]
- Chen, X.; Zhou, K.; Zhang, L.; Bennion, I. In-fiber twist sensor based on a fiber Bragg grating with 81° tilted structure. IEEE Photonics Technol. Lett. 2006, 18, 2596–2598. [Google Scholar] [CrossRef]
- Yan, Z.; Sun, Z.; Zhou, K.; Luo, B.; Li, J.; Wang, H.; Wang, Y.; Zhao, W.; Zhang, L. Numerical and experimental analysis of sensitivity-enhanced RI sensor based on Ex-TFG in thin cladding fiber. J. Lightwave Technol. 2015, 33, 3023–3027. [Google Scholar] [CrossRef]
- Mou, C.; Zhou, K.; Yan, Z.; Fu, H.; Zhang, L. Liquid level sensor based on an excessively tilted fibre grating. Opt. Commun. 2013, 305, 271–275. [Google Scholar] [CrossRef]
- Luo, B.; Wu, S.; Zhang, Z.; Zou, W.; Shi, S.; Zhao, M.; Zhong, N.; Liu, Y.; Zou, X.; Wang, L.; et al. Human heart failure biomarker immunosensor based on excessively tilted fiber gratings. Biomed. Opt. Express 2017, 8, 57–67. [Google Scholar] [CrossRef]
- Jiang, B.; Zhou, K.; Wang, C.; Sun, Q.; Yin, G.; Tai, Z.; Wilson, K.; Zhao, J.; Zhang, L. Label-free glucose biosensor based on enzymatic graphene oxide-functionalized tilted fiber grating. Sens. Actuators B Chem. 2018, 254, 1033–1039. [Google Scholar] [CrossRef]
- Albert, J. Tilted fiber Bragg gratings as multi-sensors. Opt. Photonics News 2011, 22, 28–33. [Google Scholar] [CrossRef]
- Zhou, K.; Zhang, L.; Chen, X.; Bennion, I. Low thermal sensitivity grating devices based on Ex-45° tilting structure capable of forward-propagating cladding modes coupling. J. Lightwave Technol. 2006, 24, 5087–5094. [Google Scholar] [CrossRef]
- Jiang, B.; Yin, G.; Zhou, K.; Wang, C.; Gan, X.; Zhao, J.; Zhang, L. Graphene-induced unique polarization tuning properties of excessively tilted fiber grating. Opt. Lett. 2016, 41, 5450–5453. [Google Scholar] [CrossRef] [PubMed]
- Guo, T.; Liu, F.; Guan, B.-O.; Albert, J. Polarimetric multi-mode tilted fiber grating sensors. Opt. Express 2014, 22, 7330–7336. [Google Scholar] [CrossRef]
- Chung, K.-W.; Yin, S. Analysis of a widely tunable long-period grating by use of an ultrathin cladding layer and higher-order cladding mode coupling. Opt. Lett. 2004, 29, 812–814. [Google Scholar] [CrossRef]
- Yang, J.; Yang, L.; Xu, C.-Q.; Xu, C.; Huang, W.; Li, Y. Long-period grating refractive index sensor with a modified cladding structure for large operational range and high sensitivity. Appl. Opt. 2006, 45, 6142–6147. [Google Scholar] [CrossRef] [PubMed]
- Bashkatov, A.N.; Genina, E.A. Water Refractive Index in Dependence on Temperature and Wavelength: A Simple Approximation; SPIE: Bellingham, WA, USA, 2003; Volume 5068. [Google Scholar]
- Schiebener, P.; Straub, J.; Sengers, J.M.H.L.; Gallagher, J.S. Refractive index of water and steam as function of wavelength, temperature and density. J. Phys. Chem. Ref. Data 1990, 19, 677–717. [Google Scholar] [CrossRef]
- Lide, D.R. (Ed.) Index of Refractive of Water in CRC Handbook of Chemistry and Physics, Internet Version; CRC Press: Boca Raton, FL, USA, 2005. [Google Scholar]





| Sensing Structure | Sensitivity | RI Region |
|---|---|---|
| LPG with a small period [8] | 312.5 nm/RIU | 1.315–1.395 |
| LPG in hollow eccentric fiber [9] | 1005 nm/RIU | 1.422–1.441 |
| 10° TFBG [13] | ~556 nm/RIU | 1.315–1.360 |
| Tilted moiré FBG [14] | -574.2 nm/RIU | 1.390–1.445 |
| Multi-angle TFBG [16] | 500 nm/RIU | 1.15–1.45 |
| Multi-mode TFBG [39] | ~570 nm/RIU | 1.41–1.44 |
| Gold-coated TFBG [22] | 510.5 nm/RIU | 1.335–1.432 |
| Gold-coated TFBG in polymer fiber [23] | ~550 nm/RIU | 1.408–1.428 |
| Silver nanowires-coated TFBG [24] | ~651 nm/RIU | 1.330–1.347 |
| ZnO-coated TFBG [26] | 210 nm/RIU | ~1.39 |
| >80° Ex-TFG [29,33] | 340 nm/RIU | ~1.33 |
| Hybrid grating in RDF (This work) | ~1224 nm/RIU | ~1.38 |
© 2019 by the authors. Licensee MDPI, Basel, Switzerland. This article is an open access article distributed under the terms and conditions of the Creative Commons Attribution (CC BY) license (http://creativecommons.org/licenses/by/4.0/).
Share and Cite
Jiang, B.; Hao, Z.; Feng, D.; Zhou, K.; Zhang, L.; Zhao, J. Hybrid Grating in Reduced-Diameter Fiber for Temperature-Calibrated High-Sensitivity Refractive Index Sensing. Appl. Sci. 2019, 9, 1923. https://doi.org/10.3390/app9091923
Jiang B, Hao Z, Feng D, Zhou K, Zhang L, Zhao J. Hybrid Grating in Reduced-Diameter Fiber for Temperature-Calibrated High-Sensitivity Refractive Index Sensing. Applied Sciences. 2019; 9(9):1923. https://doi.org/10.3390/app9091923
Chicago/Turabian StyleJiang, Biqiang, Zhen Hao, Dingyi Feng, Kaiming Zhou, Lin Zhang, and Jianlin Zhao. 2019. "Hybrid Grating in Reduced-Diameter Fiber for Temperature-Calibrated High-Sensitivity Refractive Index Sensing" Applied Sciences 9, no. 9: 1923. https://doi.org/10.3390/app9091923
APA StyleJiang, B., Hao, Z., Feng, D., Zhou, K., Zhang, L., & Zhao, J. (2019). Hybrid Grating in Reduced-Diameter Fiber for Temperature-Calibrated High-Sensitivity Refractive Index Sensing. Applied Sciences, 9(9), 1923. https://doi.org/10.3390/app9091923

