Abstract
The goal of this study was to improve the water purification performance of secondary concrete products that can be used in rivers and streams. To this end, mortar and porous concrete were produced by adding both de-nitrifying phosphate accumulating organisms ((D)PAOs) and zeolite, and their mechanical properties and water purification performance were analyzed. The compression strength test results showed that the strength was the highest when the mixing ratios of (D)PAOs and zeolite were set to 10% and 5%, respectively. For better contaminant adsorption, however, the optimal mixing ratio of zeolite was determined to be 10%. When the mixing ratio of (D)PAOs was set to 10%, the concentrations of biochemical oxygen demand (BOD) and chemical oxygen demand (COD) decreased by 57.9% and 89.9%, respectively, after seven days of immersion when compared to the initial concentrations. When compared to plain porous concrete, the total nitrogen (T-N) and total phosphorus (T-P) removal ratios of the develop concrete were 11.0% and 17.8% higher, respectively. When the mixing ratios of (D)PAOs and zeolite were set to 10% for both, the T-N and T-P removal ratios were determined to be 86.3% and 88.1%, respectively, while the BOD and COD concentrations were 2.668 mg/L and 16.915 mg/L, respectively. In simpler terms, the water purification performance was up to 17% higher in the concrete mixed with both 10% (D)PAOs and 10% zeolite than in the concrete mixed with 10% (D)PAOs only. Overall, the optimal mixing ratios of (D)PAOs and zeolite to maximize the water purification effect of secondary concrete products while maintaining their strengths equivalent to or higher than those of their corresponding plain concrete products are considered to be 10% for both.
1. Introduction
Recent industrial development, population growth and densification, and improved living standards have led to an increase in the use of agricultural pesticides and fertilizers, as well as increased livestock, industrial, and domestic wastewater, thereby deteriorating water quality in rivers and streams. Today, rivers and streams have significant environmental and ecological value, but some of them have already lost their value as important water resources due to the effect of water contamination []. A good example of the effect of water pollution is eutrophication, which is caused by nitrogen and phosphorus []. As eutrophication proceeds, organic materials accumulate in the water, causing part of the aquatic ecosystem to be lacking in oxygen. Naturally, aquatic organisms decrease in number, thereby leading to the destruction of the ecosystem.
In Korea, the number of commercial entities discharging wastewater has been increasing since 2004, and the volume of discharged wastewater has been increasing every year. As a country lacking water, Korea needs to gain reliable access to water resources. To this end, building wastewater treatment facilities is essential as the primary measure. Furthermore, additional chemical and physical treatment methods should be developed and applied to improve the water quality of rivers and streams that have already been contaminated [,].
Research on the restoration of aquatic ecosystems, however, has focused almost exclusively on how to reduce contaminants or how to form natural rivers and streams. Few studies have been conducted on the restoration of contaminated rivers through water purification. Some studies are investigating ways of building river structures with porous concrete or using complex effective microorganisms, but their effects have turned out to be insignificant [,,].
Meanwhile, sewage treatment plants use phosphate accumulating organisms (PAOs) to eliminate biochemical oxygen demand (BOD), phosphorous, and nitrogen in anaerobic reactors, oxic reactors, and anoxic reactors. In the same manner, the application of PAOs to secondary concrete products and structures is expected to ensure outstanding water purification effects; little research, however, has been conducted on this approach [,,].
Against this background, the present study analyzed the mechanical properties of mortar mixed with both de-nitrifying phosphate accumulating organisms ((D)PAOs) and zeolite based on the preliminary culture experiment of (D)PAOs in an effort to develop concrete products intended for ecological restoration that can be used for water purification of rivers and streams. Also, porous concrete was mixed with (D)PAOs and zeolite with optimal mixing ratios, and the strength and water purification characteristics of the developed products were analyzed.
2. Materials and Methods
2.1. Materials
2.1.1. PAOs (Phosphate Accumulating Organisms) and DPAOs (De-nitrifying Phosphate Accumulating Organisms)
(D)PAOs use O2 as an electron acceptor for phosphorous uptake in oxic conditions to store phosphorous in their cells, while using NO3− as an electron acceptor in anoxic conditions. In the present study, (D)PAOs were sampled from those used in the biological nutrient removal (BNR) process of a wastewater treatment facility in Daejeon, Korea, as shown in Figure 1 [,].

Figure 1.
Solution of sampled microscopic organism.
2.1.2. Zeolite
The zeolite used for this study is the nature mineral powder of mordenite type made by “K” company in Korea whose cation exchange capacity (CEC, meq/100 g) is 106, pH is 9.12. The BET surface area was measured by an ASAP 2010 analyzer (Micromeritics, Norcross, GA, U.S.A.) by means of N2 physisorption isotherms at −196 °C. Before N2 adsorption, the zeolite was thermally dried at 200 °C for 6 h under vacuum in order to remove retained gases and adsorbed water. The physical and chemical properties of zeolite are as shown in Table 1.

Table 1.
Physical and chemical properties of zeolite.
2.1.3. Cement
The cement used for this study is ordinary Portland cement (OPC) whose density is 3.14 g/cm3, and Blain fineness is 3492 cm2/g. The physical and chemical properties of OPC are as shown in Table 2.

Table 2.
Physical and chemical properties of ordinary Portland cement (OPC).
2.1.4. ISO Graded Standard Sand
The sand for strength test of mortar was rounded particles and content of silicon dioxide was 98% or more, and the particle size was in accordance with the specification of KS L ISO 679 [Methods of testing cements–Determination of strength].
2.1.5. Fine Aggregate
Fine aggregate used for making porous concrete is the natural aggregate with a particle size of 5 mm or less, and their physical properties are shown in Table 3.

Table 3.
Physical properties of fine aggregate.
2.1.6. Coarse Aggregate
Coarse aggregate used for making porous concrete is the crushed granite with a particle size of 5 to 13 mm, and their physical properties are listed in Table 4.

Table 4.
Physical properties of coarse aggregate.
2.2. Mix Proportion and Preparation of Mortar Test Specimens
2.2.1. Mix Proportion
The mortar mix proportion had a binder-to-sand ratio of 1:3 and water cement ratio (W/B) = 50% in accordance with the KS L ISO 679 [Methods of testing cements–Determination of strength]. The optimal mixing ratio of (D)PAOs cultured in the preliminary characteristics experiments of mortar was determined to be 10% []. Accordingly, the mixing ratio of (D)PAOs was set to 10%, and the mixing ratio of zeolite was adjusted, as shown in Table 5. Also, porous concrete was mixed with (D)PAOs and zeolite according to mixing ratios, as shown in Table 6, to investigate the effect of the addition of (D)PAOs and zeolite on the strength, porosity, and water purification performance of the developed porous concrete.

Table 5.
Mix proportion of the mortar produced with (D)PAOs and zeolite.

Table 6.
Mix proportion of the porous concrete produced with (D)PAOs and zeolite.
2.2.2. Preparation of Test Specimens
To measure mortar compressive strength, test specimens of 40 mm × 40 mm × 160 mm were prepared according to KS L ISO 679, as shown in Figure 2. After curing for 24 h in a constant temperature and moisture room, the mortar underwent removal of form followed by water curing at 20 ± 1°C.

Figure 2.
Test specimen production of the mortar produced with (D)PAOs and zeolite.
Specimens for water purification tests were prepared in the form of a cubic mold with dimensions of 135 × 40 × 160 mm, as shown in Figure 3. Mixing, manufacturing, and curing procedures are illustrated in Figure 4. The fabricated porous concrete specimens were demolded at the age of four days, and the concrete specimens mixed with (D)PAOs were cured in the microorganism tank. Considering that pH, one of the water purification measurement items, could be affected by concrete, an alkaline material, the demolded specimens were subjected to neutralization for a specific time period before being subjected to the water purification tests.

Figure 3.
Test specimen size of the porous concrete.

Figure 4.
Test specimen production of the porous concrete produced with (D)PAOs and zeolite.
2.3. Test Method
Compressive strength tests of mortar and porous concrete were performed according to KS L ISO 679 and ASTM C39/C39M, and measurements were taken at age 7, 14 and 28 days. A universal testing machine (UTM) of 100 tons was used to measure the compressive strength by age.
Artificial wastewater was produced according to mixing ratios, as shown in Table 7 [], to assess the water purification performance of the manufactured porous concrete. The water purification performance was measured, as follows: each porous concrete specimen mixed with (D)PAOs and zeolite was placed in a large water container, and the container was filled with 18 L of artificial wastewater. Subsequently, changes in the water quality were monitored at each age. An 11W underwater electric pump was used to facilitate the circulation of water in the container. The overall procedure of the water purification tests is shown in Figure 5.

Table 7.
Mix proportion of synthetic wastewater.

Figure 5.
Water purification test.
Following water purification tests, concentrations of total nitrogen (T-N) and total phosphorus (T-P), BOD, and chemical oxygen demand (COD) were measured in accordance with the Official Testing Method with Respect to Water Pollution Process issued by the Ministry of Environment.
3. Test Results and Discussion
3.1. Strength of Mortar Produced with (D)PAOs and Zeolite
The mixing ratio of (D)PAOs was determined in the preliminary characteristics experiment by analyzing and comparing fluidity and strength measurements. The results showed that the fluidity was not significantly affected by the addition of (D)PAOs, but the compression strength was 10% higher when (D)PAOs were added.
In the present study, mortar was produced according to mixing ratios as follows: while the mixing ratio of (D)PAOs was set to 10%, the mixing ratio of zeolite was adjusted to be 0%, 5%, and 10%. Subsequently, the compression strength of each mortar produced was measured and compared. The strength test results of these mortar products mixed with (D)PAOs and zeolite are shown in Figure 6. Here, the mixing of 10% (D)PAOs led to an increase in compression strength by 6.2% due to the effect of flocs that were generated during the formation of microorganisms. When 5% or 10% zeolite was added along with 10% (D)PAOs, the strength was lower than that of the (D)PAOs-added mortar. This phenomenon is considered to be due to the delay of an early hydration reaction caused by the addition of zeolite, which has a lower density and smaller content of CaO than cement []. When compared to plain mortar, however, the product mixed with 5% zeolite and 10% (D)PAOs and the product mixed with 10% zeolite and 10% (D)PAOs showed strength increases of 1.02 MPa and 1.88 MPa, respectively []. In other words, these (D)PAOs/zeolite-added mortar products exhibited compression strength equivalent to or higher than that of plain mortar products.

Figure 6.
Compressive strength of mortars produced with (D)PAOs and zeolite.
3.2. Strength of Porous Concrete Produced with (D)PAOs and Zeolite
Porous concrete was produced by adding both (D)PAOs and zeolite, and its porosity and compressive strength were measured, as shown in Figure 7. Here, porosity is an important indicator to determine the water purification performance of porous concrete, which is enhanced by its pores and the microorganisms therein. As can be seen in the results, the porosity decreased with increasing mixing ratios of (D)PAOs and zeolite [,]. This phenomenon is ascribed to the mixing of (D)PAOs resulting in an increase in the amount of flocs, and also to zeolite, whose density is lower than that of cement, replacing cement and thus increasing the volume of the binding materials. When 10% (D)PAOs and 10% zeolite were added, however, the measured porosity was still 0.9% lower than the target porosity, indicating that the effect on water purification performance was not significant.

Figure 7.
Compressive strength of porous concretes produced with (D)PAOs and zeolite.
When the mixing ratio of (D)PAOs was set to 10%, the compressive strength of porous concrete increased by 1.40 MPa, but the increase was slightly reduced with zeolite added to improve product formability and contaminant absorption capacity. As similarly shown in compressive strength tests of mortar, this was due to the decreasing proportion of CaO in the binding materials and the reduced hydration reaction rate in the early stages [,]. When compared to plain products, porous concrete mixed with 10% (D)PAOs and 10% zeolite showed a strength increase of about 0.5 MPa. This observation confirmed that porous concrete had an advantage in strength as well.
These findings lead to the conclusion that the mixing ratio of zeolite can be set up to 10% to improve the water purification performance of secondary concrete products while maintaining sufficient void ratio and strength.
3.3. Water Purification Properties of the Porous Concrete Produced with (D)PAOs and Zeolite
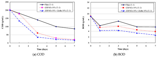
The water-quality measurement results of typical porous concrete and the (D)PAOs/zeolite-added porous concrete are shown in Figure 8. The initial BOD and COD concentrations of the artificial wastewater used in the present study were 9.16 mg/L and 201.04 mg/L, respectively. The results showed that the BOD and COD concentrations tended to decrease over immersion time. In the (D)PAOs-added porous concrete, the BOD concentration after seven days of immersion was found to be 3.856 mg/L, lower than that of the typical porous concrete. This phenomenon is ascribed to the existence of (D)PAOs, which decomposed and stabilized contaminants in the artificial wastewater, thereby effectively reducing the degree of contamination by organic materials. In the meantime, after seven days of immersion, the COD concentration was 20.387 mg/L, and the corresponding ratio of BOD/COD was 0.2. This ratio clearly indicated the occurrence of the biological process that eliminated organic materials capable of biodegradation [].


Figure 8.
The result of the water purification test.
The T-N removal rate significantly varied between the typical porous concrete and the (D)PAOs-added porous concrete even after one day of immersion, clearly demonstrating the de-nitrification effect of (D)PAOs. The T-P removal rate was slightly higher in the (D)PAOs-added porous concrete at an early stage of immersion, but the difference significantly increased after 5-day of immersion. The reason for this is that flocs tend to increase in size and number, as shown in Figure 9, which is similarly observed when microorganisms are used to purify wastewater [,,,]. Also, PAOs such as Acetobacter (obligate aerobes), take in phosphorus in wastewater. Moreover, the concentrations of T-N, T-P, BOD, and COD tend to decrease because de-nitrification takes place and the BOD is consumed by microorganisms, such as Pseudomonas, Alcaligenes, and Hyphomicrobium [,,]. The microorganisms observed using digital optical microscope (Olympus-BX51TRF) in the test process of water purification in this study are shown in Figure 10; these microorganisms induce phosphorus accumulation and denitrification [].

Figure 9.
Increased flocs during test.

Figure 10.
Microorganisms observed in the water purification test.
In the (D)PAOs-added porous concrete, the T-N removal rate was about 60% at 3 days old, but when both (D)PAOs and zeolite were added, the removal rate was about 65% at 3 days old, i.e., an increase of 5 percentage points. The rate slightly increased at the 5-day age, and the 7-day rate was about 86%, which was 17 percentage points higher than that of the (D)PAOs-added porous concrete. The T-P removal rate was higher in the (D)PAOs- and zeolite-added porous concrete, and there was an approximately 10% improvement over the entire course of the test.
The COD removal rate was also higher in the (D)PAOs- and zeolite-added porous concrete in the early stages, and the COD concentration decreased to about 16.915 mg/L at 7 days old. The degree of BOD removal was lower than that for COD, but the BOD concentration was about 2.791 mg/L lower in the (D)PAOs- and zeolite-added porous concrete than in typical porous concrete. When compared to the (D)PAOs-added porous concrete, the BOD concentration was about 1.188 mg/L lower. Overall, the (D)PAOs- and zeolite-added porous concrete exhibited better water purification performance than did the (D)PAOs-added porous concrete because the mixing of zeolite enhances the porous concrete’s ability to absorb contaminants, such as phosphorus and nitrogen, and ion exchange, accumulation, and decomposition of contaminants are promoted by the added zeolite and microorganisms [,,,].
Meanwhile, to maximize the water purification effect of the microorganisms mixed into porous concrete, it is important to keep the concrete in a moist condition for a specific period of time so that the activity of the microorganisms can be enhanced. If the product is placed in rivers or streams, however, the moisture condition needs not be considered, because the material stays underwater.
4. Conclusions
In the present study, the mechanical properties and water purification performance of porous concrete mixed with (D)PAOs and zeolite were measured and analyzed in an effort to improve the water purification performance of rivers and streams.
- (1)
- Preliminary characteristics experiments were conducted to evaluate the effect of the addition of (D)PAOs on the fluidity and strength of mortar. As a result, the mixing ratio of (D)PAOs was set to 10%. When zeolite was added to (D)PAOs-added mortar, the strength decreased but was still 1.0–1.9 MPa higher than that of plain mortar.
- (2)
- (D)PAOs/zeolite-added porous concrete showed similar trends to those observed in the mortar tests. To improve the water purification performance of porous concrete, the optimal mixing ratio of zeolite was determined to be 10%.
- (3)
- The T-N and T-P removal rates were 11.0% and 17.8% higher, respectively, in the (D)PAOs-added porous concrete than in the typical porous concrete. The COD and BOD concentrations were 65.74 mg/L and 1.60 mg/L lower, respectively, in the (D)PAOs-added porous concrete. When 10% (D)PAOs and 10% zeolite were added together, the water purification performance was improved even further.
- (4)
- In conclusion, when 10% (D)PAOs and 10% zeolite were added together, the porous concrete exhibited the best physical properties with respect to strength and water purification performance. The porous concrete products developed are expected to be applied for various applications, such as revetment blocks, anchor-fixing blocks, and retaining=wall blocks.
Author Contributions
Data curation, Y.-I.J., J.-W.L. and B.-J.L.; Investigation, Y.-I.J. and J.-W.L.; Methodology, Y.-I.J.; Writing—original draft, Y.-I.J. and J.-W.L.; Writing—review and editing, Y.-I.J. and B.-J.L.
Funding
This research was financially supported by research fund of Chungnam National University.
Conflicts of Interest
The authors declare no conflict of interest.
References
- Park, S.B.; Tia, M. An experimental study on the water-purification properties of porous concrete. Cem. Concr. Res. 2004, 34, 177–184. [Google Scholar] [CrossRef]
- Matsunaga, N.; Masuda, S.; Tokunaga, T. Capacity of Water Quality Purification by Eco Bio-Block (EBB) in a Closed Water System. Eng. Sci. Rep. Kyushu Univ. 2006, 28, 247–253. [Google Scholar]
- Jang, Y.I.; Park, W.S.; Kim, S.W.; Lee, J.W. Study on culture of (D)PAOs for water purification and properties of mortar mixed (D)PAOs. Int. J. Civ. Eng. Technol. 2018, 9, 114–121. [Google Scholar]
- Kim, W.J.; Choi, K.J.; Park, J.S. An Experimental Study on Water-Purification Properties in Cement Bricks Using Effective Micro-Organisms and Zeolite. J. Korea Concr. Inst. 2011, 23, 331–338. [Google Scholar] [CrossRef]
- Choi, M.J.; Sung, N.K.; Park, S.J.; Lee, J.A.; Yun, H.S.; Hong, I.K. Water Purification Properties of Porous Zeolite Concrete. J. Korean Ind. Eng. Chem. 2011, 22, 332–335. [Google Scholar]
- Syed, A.R.; Hasnain, K.; Thomas, A.B.; Fazal, A. Use of Effective Micro-organisms(EM) technology and self-compacting concrete (SCC) technology improved the response of cementitious systems. Constr. Build. Mater. 2017, 152, 642–650. [Google Scholar]
- Park, S.B.; Lee, B.J.; Lee, J.; Jang, Y.I. A study on the seawater purification characteristics of water-permeable concrete using recycled aggregate. Resour. Conserv. Recycl. 2010, 54, 658–665. [Google Scholar] [CrossRef]
- Wang, Z.Z.; Li, J.; Wang, C.W.; Wang, Y.L. Phosphorus removal in a membrane-assisted BNR process with focus on evolutions of PAOs and DPAOs. Water Sci. Technol. 2013, 68, 1258–1263. [Google Scholar] [CrossRef] [PubMed]
- Yu, H.; Li, M. Denitrifying and phosphorus accumulating mechanisms of denitrifying phosphorus accumulating organisms (DPAOs) for wastewater treatment—A review. Acta Microbiol. Sin. 2015, 55, 264–272. [Google Scholar]
- Huang, P.; Goel, R. Response of a sludge-minimizing lab-scale BNR reactor when the operation is changed to real primary effluent from synthetic wastewater. Water Res. 2015, 81, 301–310. [Google Scholar] [CrossRef] [PubMed]
- Liu, H.; Chen, P.; Chen, Z. Role of influent split ratio in a two-line BNR process performing denitrifying phosphorus removal. Chem. Eng. J. 2015, 267, 266–273. [Google Scholar] [CrossRef]
- Zou, H.; Lu, X.; Abualhail, S. Characterization of Denitrifying Phosphorus Removal Microorganisms in a Novel Two-Sludge Process by Combining Chemical with Microbial Analysis. J. Chem. 2014, 2014, 360503. [Google Scholar] [CrossRef]
- Wang, X.L.; Song, T.H.; Yu, X.D. The biomass fraction of phosphate-accumulating organisms grown in anoxic environment in an enhanced biological phosphorus removal (EBPR) system. Desalin. Water Treat. 2015, 56, 1877–1887. [Google Scholar] [CrossRef]
- Jens, M.; Carlos, D.M.; Filipe, G.T.; Daigger, S.I. Characterization of the denitrifying fraction of phosphate accumulating organisms in biological phosphate removal. Water Sci. Technol. 1999, 39, 31–42. [Google Scholar]
- Welles, L.; Lopez-Vazquez, C.M.; Hooijmans, C.M.; Loosdrecht, M.C.; Brdjanovic, D. Impact of salinity on the aerobic metabolism of phosphate-accumulating organisms. Appl. Microbiol. Biotechnol. 2015, 99, 3659–3672. [Google Scholar] [CrossRef] [PubMed]
- Proctor, L.M. Nitrogen-fixing, photosynthetic, anaerobic bacteria associated with pelagic copepods. Aquat. Microb. Ecol. 1997, 12, 105–113. [Google Scholar] [CrossRef]
- Negishi, N.; Sugasawa, M.; Miyazaki, Y.; Hirami, Y.; Koura, S. Effect of dissolved silica on photocatalytic water purification with a TiO2 ceramic catalyst. Water Res. 2019, 150, 40–46. [Google Scholar] [CrossRef] [PubMed]
- Kim, G.M.; Jang, J.G.; Khalid, H.R.; Lee, H.K. Water purification characteristics of pervious concrete fabricated with CSA cement and bottom ash aggregates. Constr. Build. Mater. 2017, 136, 1–8. [Google Scholar] [CrossRef]
- Dayong, X.; Jianping, X.; Xiuqun, Q. Experimental research on the purification of simulated acidic mine drainage by porous biomass concrete. Ind. Water Treat. 2013, 33, 36–39. [Google Scholar]
© 2019 by the authors. Licensee MDPI, Basel, Switzerland. This article is an open access article distributed under the terms and conditions of the Creative Commons Attribution (CC BY) license (http://creativecommons.org/licenses/by/4.0/).