Impact of Particle Size Distribution of Colloidal Particles on Contaminant Transport in Porous Media
Abstract
1. Introduction
2. Mathematical Model
2.1. Colloidal Particle Transport in Saturated Porous Media
2.2. Colloidal-Particle-Associated Contaminant Transport in Saturated Porous Media
2.3. Sampling of Colloidal Particles and Sand
2.4. Numerical Modeling
2.5. Bed Efficiency and Contaminant Saturation
3. Results and Discussion
3.1. Model Validation
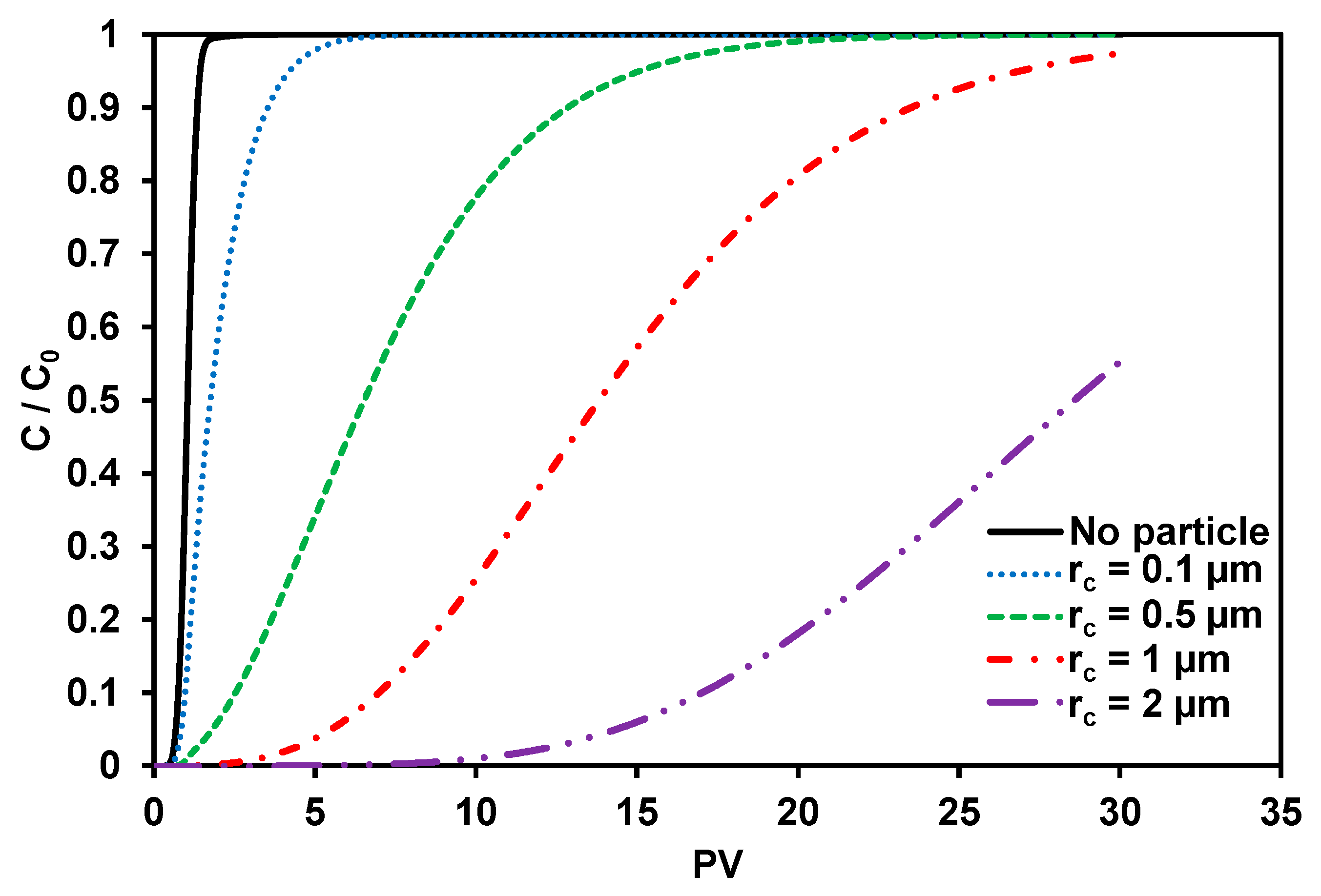
3.2. Impact of Median Colloidal Particle Size (rc)
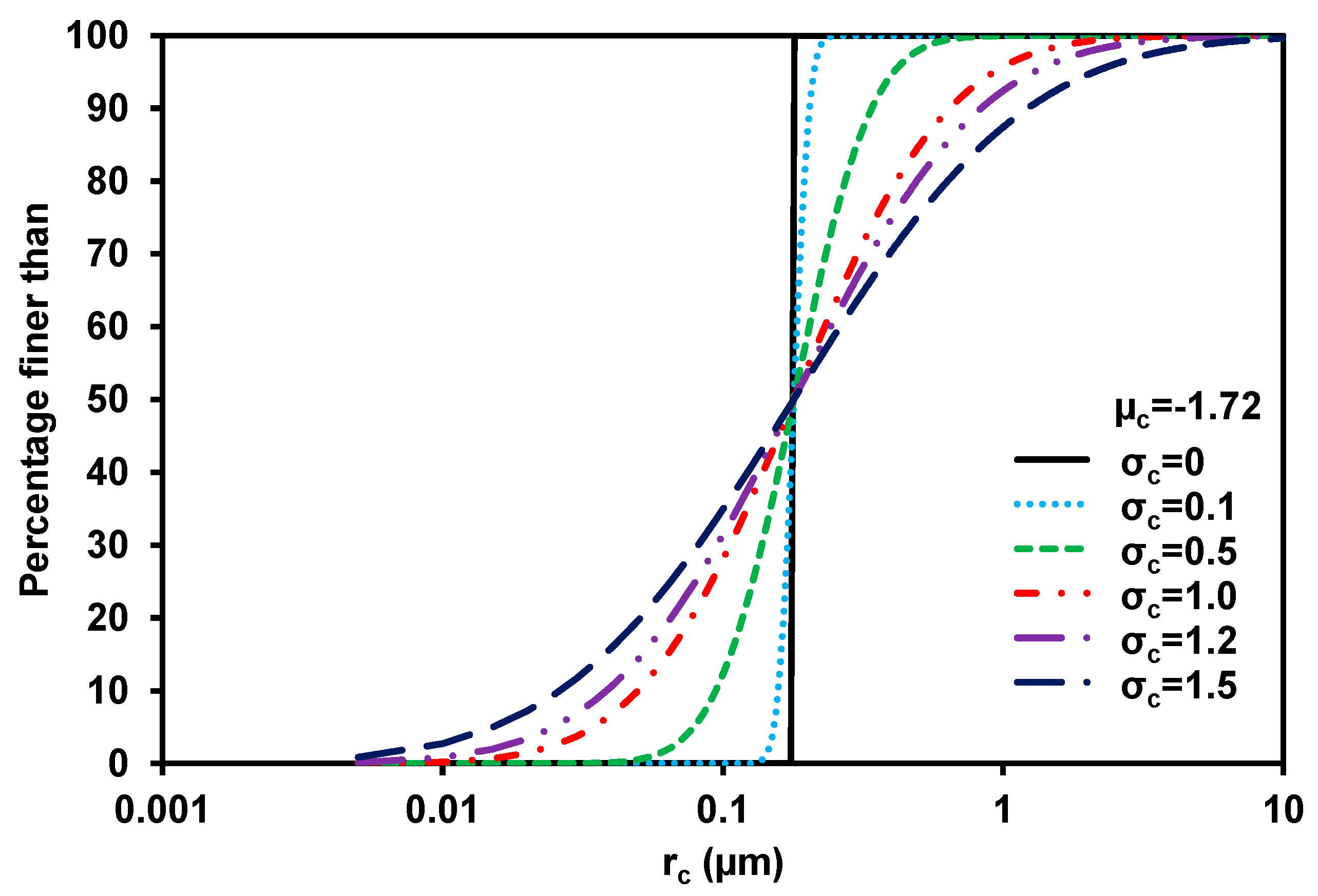
3.3. Impact of the Standard Deviation of the Particle Size Distribution of Colloidal Particles
3.4. Bed Efficiency and Contaminant Saturation
4. Conclusions
- The experimental breakthrough curves of Pb(II) under the presence of retained kaolinite particles were described well by the colloidal-particle-associated contaminant transport model introduced in this paper. This implies that the model can be used for the prediction of transport of heavy metals under the presence of immobile kaolinite particles or other particles that favorably adsorb the heavy metals.
- As the median size of the colloidal particles and the standard deviation increased, the transport of contaminants was retarded. The impact of a standard deviation on the retardation of transport became more significant as the median size of the colloidal particles increased. This is attributed to the variation in the amount of retained colloidal particles by the median size and the standard deviation of particle size distribution. Therefore, the particle size distribution of particles should be taken into account in the prediction of contaminant transport.
- A quantitative description of simulated breakthrough curves from the calculated β and θ provides the remaining available adsorption sites of the bed and the prediction of the breakthrough point at a given condition.
- Further investigation is needed for the impact of particle size distribution on contaminant transport when particle and contaminant transport simultaneously. In addition, the unsaturated flow can also be considered in the modeling work to predict the contaminant transport from the surface to groundwater.
Author Contributions
Acknowledgments
Conflicts of Interest
References
- McCarthy, J.F.; Zachara, J.M. Subsurface transport of contaminants. Environ. Sci. Technol. 1989, 23, 496–502. [Google Scholar] [CrossRef]
- Corapcioglu, M.Y.; Jiang, S. Colloid-facilitated groundwater contaminant transport. Water Resour. Res. 1993, 29, 2215–2226. [Google Scholar] [CrossRef]
- Sen, T.; Khilar, K.C. Review on subsurface colloids and colloid-associated contaminant transport in saturated porous media. Adv. Colloid Interface Sci. 2006, 119, 71–96. [Google Scholar]
- Kretzschmar, R.; Borkovec, M.; Grolimund, D.; Elimelech, M. Mobile Subsurface Colloids and Their Role in Contaminant Transport. In Advances in Agronomy; Elsevier Inc.: Amsterdam, The Netherlands, 1999; pp. 121–193. [Google Scholar]
- Torok, J.; Buckley, L.; Woods, B. The separation of radionuclide migration by solution and particle transport in soil. J. Contam. Hydrol. 1990, 6, 185–203. [Google Scholar] [CrossRef]
- Penrose, W.R.; Polzer, W.L.; Essington, E.H.; Nelson, D.M.; Orlandini, K.A. Mobility of plutonium and americium through a shallow aquifer in a semiarid region. Environ. Sci. Technol. 1990, 24, 228–234. [Google Scholar] [CrossRef]
- Grolimund, D.; Borkovec, M.; Barmettler, K.; Sticher, H. Colloid-Facilitated Transport of Strongly Sorbing Contaminants in Natural Porous Media: A Laboratory Column Study. Environ. Sci. Technol. 1996, 30, 3118–3123. [Google Scholar] [CrossRef]
- Denaix, L.; Semlali, R.M.; Douay, F. Dissolved and colloidal transport of Cd, Pb, and Zn in a silt loam soil affected by atmospheric industrial deposition. Environ. Pollut. 2001, 114, 29–38. [Google Scholar] [CrossRef]
- Won, J.; Burns, S.E. Role of Immobile Kaolinite Colloids in the Transport of Heavy Metals. Environ. Sci. Technol. 2018, 52, 2735–2741. [Google Scholar] [CrossRef] [PubMed]
- Sen, T.K.; Mahajan, S.P.; Khilar, K.C. Colloid-Associated contaminant transport in porous media: 1. Experimental studies. AIChE J. 2002, 48, 2366–2374. [Google Scholar] [CrossRef]
- Bradford, S.A.; Torkzaban, S.; Shapiro, A. A Theoretical Analysis of Colloid Attachment and Straining in Chemically Heterogeneous Porous Media. Langmuir 2013, 29, 6944–6952. [Google Scholar] [CrossRef] [PubMed]
- Bradford, S.A.; Simunek, J.; Bettahar, M.; van Genuchten, M.T.; Yates, S.R. Modeling Colloid Attachment, Straining, and Exclusion in Saturated Porous Media. Environ. Sci. Technol. 2003, 37, 2242–2250. [Google Scholar] [CrossRef] [PubMed]
- Elimelech, M.; O’Melia, C.R. Kinetics of deposition of colloidal particles in porous media. Environ. Sci. Technol. 1990, 24, 1528–1536. [Google Scholar] [CrossRef]
- Xu, S.; Gao, B.; Saiers, J.E. Straining of colloidal particles in saturated porous media. Water Resour. Res. 2006, 42. [Google Scholar] [CrossRef]
- Lenhart, J.J.; Saiers, J.E. Transport of Silica Colloids through Unsaturated Porous Media: Experimental Results and Model Comparisons. Environ. Sci. Technol. 2002, 36, 769–777. [Google Scholar] [CrossRef] [PubMed]
- Mitchell, J.K.; Soga, K. Fundamentals of Soil Behavior, 3rd ed.; John Wiley and Sons, Inc.: Hoboken, NJ, USA, 2005. [Google Scholar]
- Won, J.; Burns, S.E. Stochastic Modeling of Kaolinite Transport through a Sand Filter. Can. Geotech. J. 2018. cgj-2018-0394. [Google Scholar] [CrossRef]
- Won, J.; Burns, S.E. Influence of Ionic Strength on Clay Particle Deposition and Hydraulic Conductivity of a Sand Medium. J. Geotech. Geoenvironmental Eng. 2017, 143, 04017081. [Google Scholar] [CrossRef]
- Xu, S.; Saiers, J.E. Colloid straining within water-saturated porous media: Effects of colloid size nonuniformity. Water Resour. Res. 2009, 45. [Google Scholar] [CrossRef]
- Bradford, S.A.; Simunek, J.; Bettahar, M.; van Genuchten, M.T.; Yates, S.R. Significance of straining in colloid deposition: Evidence and implications. Water Resour. Res. 2006, 42. [Google Scholar] [CrossRef]
- Derjaguin, B.V.; Landau, L.D. Theory of the stability of strongly charged lyophobic sols and the adhesion of strongly charged particles in solutions of electrolytes. Acta Physicochim. USSR 1941, 14, 633–662. [Google Scholar] [CrossRef]
- Verwey, E.J.W.; Overbeek, J.T.G. Theory of the Stability of Lyophobic Colloids; Elsevier: Amsterdam, The Netherlands, 1948. [Google Scholar]
- Bergendahl, J.; Grasso, D. Mechanistic Basis for Particle Detachment from Granular Media. Environ. Sci. Technol. 2003, 37, 2317–2322. [Google Scholar] [CrossRef] [PubMed]
- Bergendahl, J.; Grasso, D. Prediction of colloid detachment in a model porous media: Thermodynamics. AIChE J. 1999, 45, 475–484. [Google Scholar] [CrossRef]
- Treumann, S.; Torkzaban, S.; Bradford, S.A.; Visalakshan, R.M.; Page, D. An explanation for differences in the process of colloid adsorption in batch and column studies. J. Contam. Hydrol. 2014, 164, 219–229. [Google Scholar] [CrossRef] [PubMed]
- Sun, Y.; Gao, B.; Bradford, S.A.; Wu, L.; Chen, H.; Shi, X.; Wu, J. Transport, retention, and size perturbation of graphene oxide in saturated porous media: Effects of input concentration and grain size. Water Res. 2015, 68, 24–33. [Google Scholar] [CrossRef] [PubMed]
- Raychoudhury, T.; Tufenkji, N.; Ghoshal, S. Straining of polyelectrolyte-stabilized nanoscale zero valent iron particles during transport through granular porous media. Water Res. 2014, 50, 80–89. [Google Scholar] [CrossRef] [PubMed]
- Rajagopalan, R.; Tien, C. Trajectory analysis of deep-bed filtration with the sphere-in-cell porous media model. AIChE J. 1976, 22, 523–533. [Google Scholar] [CrossRef]
- Tufenkji, N.; Elimelech, M. Correlation Equation for Predicting Single-Collector Efficiency in Physicochemical Filtration in Saturated Porous Media. Environ. Sci. Technol. 2004, 38, 529–536. [Google Scholar] [CrossRef] [PubMed]
- Šimůnek, J.; He, C.; Pang, L.; Bradford, S.A. Colloid-Facilitated Solute Transport in Variably Saturated Porous Media. Vadose Zo. J. 2006, 5, 1035. [Google Scholar] [CrossRef]
- van Genuchten, M.T.; Wagenet, R.J. Two-Site/Two-Region Models for Pesticide Transport and Degradation: Theoretical Development and Analytical Solutions. Soil Sci. Soc. Am. J. 1989, 53, 1303. [Google Scholar] [CrossRef]
- McKay, M.D.; Beckman, R.J.; Conover, W.J. Comparison of Three Methods for Selecting Values of Input Variables in the Analysis of Output from a Computer Code. Technometrics 1979, 21, 239–245. [Google Scholar]
- Celia, M.A.; Bouloutas, E.T.; Zarba, R.L. A general mass-conservative numerical solution for the unsaturated flow equation. Water Resour. Res. 1990, 26, 1483–1496. [Google Scholar] [CrossRef]
- Huang, K.; Mohanty, B.P.; Leij, F.J.; van Genuchten, M.T. Solution of the nonlinear transport equation using modified Picard iteration. Adv. Water Resour. 1998, 21, 237–249. [Google Scholar] [CrossRef]
- Delgado, J.M.P.Q. Longitudinal and Transverse Dispersion in Porous Media. Chem. Eng. Res. Des. 2007, 85, 1245–1252. [Google Scholar] [CrossRef]
- Pang, L.; Šimůnek, J. Evaluation of bacteria-facilitated cadmium transport in gravel columns using the HYDRUS colloid-facilitated solute transport model. Water Resour. Res. 2006, 42. [Google Scholar] [CrossRef]
- Schijven, J.F.; Hassanizadeh, S.M.; de Bruin, R.H.A.M. Two-site kinetic modeling of bacteriophages transport through columns of saturated dune sand. J. Contam. Hydrol. 2002, 57, 259–279. [Google Scholar] [CrossRef]
- Palomino, A.M.; Burns, S.E.; Santamarina, J.C. Mixtures of fine-grained minerals kaolinite and carbonate grains. Clays Clay Miner. 2008, 56, 599–611. [Google Scholar] [CrossRef]








| Parameters | Value | Note and Related Reference |
|---|---|---|
| n | 0.365 | Updated every time step. Decreased over time as colloidal particles retained |
| N | 1 or 100 | N = 100 when σc > 0 |
| Dc (10−3 cm2 s−1) | 6.1–6.4 | Calculated using equations proposed in [35], mean value was used if N > 1 |
| D (10−3 cm2 s−1) | 2.9 | Experimentally obtained using non-reactive tracer (bromide) |
| q (cm s−1) | 0.0123 | - |
| ρb (g cm−3) | 1.68 | The specific gravity of sand was assumed 2.65 |
| ds50 (cm) | 0.072 | Typical median size of coarse sand |
| µc | 0.1–2 | Typical median size of clay colloidal particles (rc50 = eµ) |
| σc | −2.3 to 0.69 | Equivalent to the coefficient of uniformity ranged from 0 to 10 |
| f (-) | 0.01 | Assumed value ([36]) |
| K1, K2 (10−3 L mg−1) | 2.202, 6.102 | Obtained by batch experiment ([9]) |
| qmax(1), qmax(2) (mg g−1) | 1.081 × 10−3, 2.854 | Obtained by batch experiment ([9]) |
| ω1 | 1.859 × 10−3 | Obtained by batch experiment ([9]) |
© 2019 by the authors. Licensee MDPI, Basel, Switzerland. This article is an open access article distributed under the terms and conditions of the Creative Commons Attribution (CC BY) license (http://creativecommons.org/licenses/by/4.0/).
Share and Cite
Won, J.; Lee, D.; Pham, K.; Lee, H.; Choi, H. Impact of Particle Size Distribution of Colloidal Particles on Contaminant Transport in Porous Media. Appl. Sci. 2019, 9, 932. https://doi.org/10.3390/app9050932
Won J, Lee D, Pham K, Lee H, Choi H. Impact of Particle Size Distribution of Colloidal Particles on Contaminant Transport in Porous Media. Applied Sciences. 2019; 9(5):932. https://doi.org/10.3390/app9050932
Chicago/Turabian StyleWon, Jongmuk, Dongseop Lee, Khanh Pham, Hyobum Lee, and Hangseok Choi. 2019. "Impact of Particle Size Distribution of Colloidal Particles on Contaminant Transport in Porous Media" Applied Sciences 9, no. 5: 932. https://doi.org/10.3390/app9050932
APA StyleWon, J., Lee, D., Pham, K., Lee, H., & Choi, H. (2019). Impact of Particle Size Distribution of Colloidal Particles on Contaminant Transport in Porous Media. Applied Sciences, 9(5), 932. https://doi.org/10.3390/app9050932

