Dynamic Stability of Temperature-Dependent Graphene Sheet Embedded in an Elastomeric Medium
Abstract
:1. Introduction
2. Basic Formulation
2.1. Overview of NET
2.2. Strain Displacement Relationships
3. Energy Method
3.1. Kinetic Energy
3.2. Strain Energy
3.3. External Work
4. Motion Equations
5. Solution Procedure
6. Numerical Examples
6.1. Validation of Results
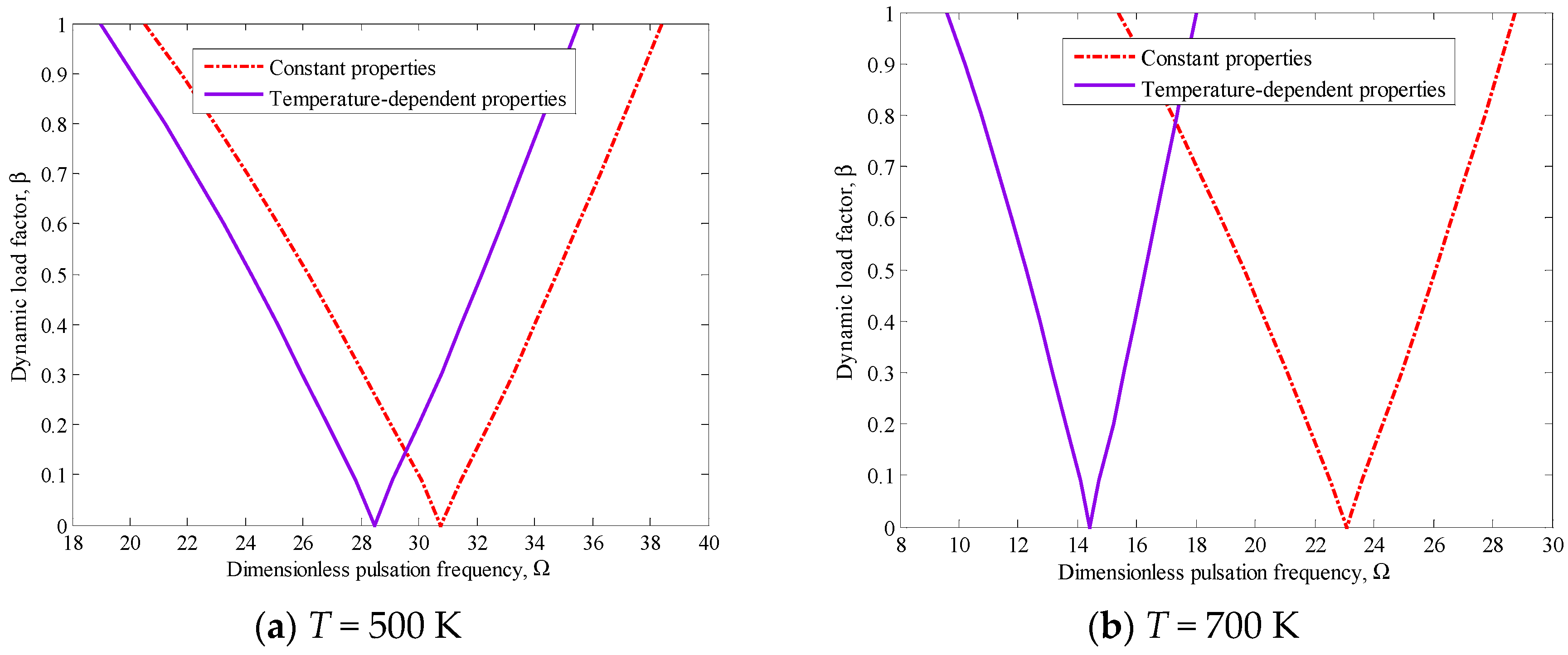
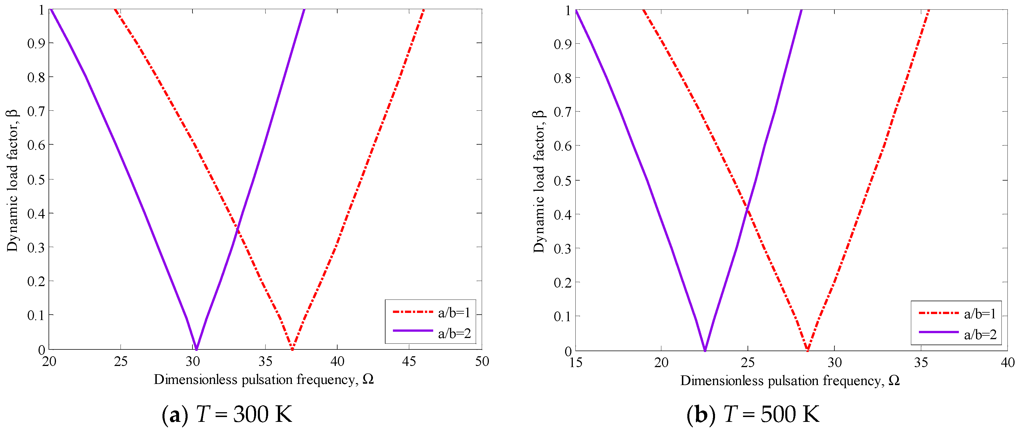
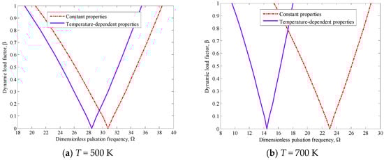
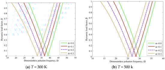
6.2. Parametric Studies and Discussions
7. Conclusions
Author Contributions
Funding
Conflicts of Interest
References
- Eringen, A.C. On differential equations of nonlocal elasticity and solutions of screw dislocation and surface waves. J. Appl. Phys. 1983, 54, 4703–4710. [Google Scholar] [CrossRef]
- Murmu, T.; McCarthy, M.A.; Adhikari, S. In-plane magnetic field affected transverse vibration of embedded single-layer graphene sheets using equivalent nonlocal elasticity approach. Compos. Struct. 2013, 96, 57–63. [Google Scholar] [CrossRef]
- Wang, Y.; Li, F.-M.; Wang, Y.-Z. Nonlinear vibration of double layered viscoelastic nanoplates based on nonlocal theory. Phys. E Low-Dimens. Syst. Nanostruct. 2015, 67, 65–76. [Google Scholar] [CrossRef]
- Karličić, D.; Kozić, P.; Pavlović, R.; Nešić, N. Dynamic stability of single-walled carbon nanotube embedded in a viscoelastic medium under the influence of the axially harmonic load. Compos. Struct. 2017, 162, 227–243. [Google Scholar] [CrossRef]
- Arani, A.G.; Jalaei, M.H. Investigation of the longitudinal magnetic field effect on dynamic response of viscoelastic graphene sheet based on sinusoidal shear deformation theory. Phys. B Condens. Matter 2017, 506, 94–104. [Google Scholar] [CrossRef]
- Kolahchi, R.; Zarei, M.S.; Hajmohammad, M.H.; Naddaf-Oskouei, A. Visco-nonlocal-refined Zigzag theories for dynamic buckling of laminated nanoplates using differential cubature-Bolotin methods. Thin-Walled Struct. 2017, 113, 162–169. [Google Scholar] [CrossRef]
- Jalaei, M.H.; Arani, A.G.; Tourang, H. On the dynamic stability of viscoelastic graphene sheets. Int. J. Eng. Sci. 2018, 132, 16–29. [Google Scholar] [CrossRef]
- Huang, Y.; Fu, J.; Liu, A. Dynamic instability of Euler–Bernoulli nanobeams subject to parametric excitation. Compos. Part B Eng. 2019, 164, 226–234. [Google Scholar] [CrossRef]
- Torabi, K.; Nafar-Dastgerdi, J. An analytical method for free vibration analysis of Timoshenko beam theory applied to cracked nanobeams using a nonlocal elasticity model. Thin Solid Films 2012, 520, 6595–6602. [Google Scholar] [CrossRef]
- Adhikari, S.; Murmu, T.; McCarthy, M.A. Frequency domain analysis of nonlocal rods embedded in an elastic medium. Phys. E Low-Dimens. Syst. Nanostruct. 2014, 59, 33–40. [Google Scholar] [CrossRef]
- Zhang, D.P.; Lei, Y.; Shen, Z.B. Vibration analysis of horn-shaped single-walled carbon nanotubes embedded in viscoelastic medium under a longitudinal magnetic field. Int. J. Mech. Sci. 2016, 118, 219–230. [Google Scholar] [CrossRef]
- Wu, C.-P.; Lin, C.-H.; Wang, Y.-M. Nonlinear finite element analysis of a multiwalled carbon nanotube resting on a Pasternak foundation. Mech. Adv. Mater. Struct. 2018, 1–13. [Google Scholar] [CrossRef]
- Wang, Q.; Varadan, V.K. Application of nonlocal elastic shell theory in wave propagation analysis of carbon nanotubes. Smart Mater Struct. 2007, 16, 178. [Google Scholar] [CrossRef]
- Shen, H.-S.; Zhang, C.-L. Torsional buckling and postbuckling of double-walled carbon nanotubes by nonlocal shear deformable shell model. Compos. Struct. 2010, 92, 1073–1084. [Google Scholar] [CrossRef]
- Ansari, R.; Torabi, J. Numerical study on the free vibration of carbon nanocones resting on elastic foundation using nonlocal shell model. Appl. Phys. A 2016, 122, 1073. [Google Scholar] [CrossRef]
- Pradhan, S.C.; Murmu, T. Small scale effect on the buckling of single-layered graphene sheets under biaxial compression via nonlocal continuum mechanics. Comput. Mater. Sci. 2009, 47, 268–274. [Google Scholar] [CrossRef]
- Shi, J.-X.; Ni, Q.-Q.; Lei, X.-W.; Natsuki, T. Study on wave propagation characteristics of double-layer graphene sheets via nonlocal Mindlin–Reissner plate theory. Int. J. Mech. Sci. 2014, 84, 25–30. [Google Scholar] [CrossRef]
- Arani, A.G.; Jalaei, M.H. Nonlocal dynamic response of embedded single-layered graphene sheet via analytical approach. J. Eng. Math. 2016, 98, 129–144. [Google Scholar] [CrossRef]
- Sarrami-Foroushani, S.; Azhari, M. Nonlocal buckling and vibration analysis of thick rectangular nanoplates using finite strip method based on refined plate theory. Acta Mech. 2016, 227, 721–742. [Google Scholar] [CrossRef]
- Arani, A.G.; Jalaei, M.H. Transient behavior of an orthotropic graphene sheet resting on orthotropic visco-Pasternak foundation. Int. J. Eng. Sci. 2016, 103, 97–113. [Google Scholar] [CrossRef]
- Zhou, Z.; Rong, D.; Yang, C.; Xu, X. Rigorous vibration analysis of double-layered orthotropic nanoplate system. Int. J. Mech. Sci. 2017, 123, 84–93. [Google Scholar] [CrossRef]
- Jalaei, M.H.; Ghorbanpour-Arani, A. Size-dependent static and dynamic responses of embedded double-layered graphene sheets under longitudinal magnetic field with arbitrary boundary conditions. Compos. Part B Eng. 2018, 142, 117–130. [Google Scholar] [CrossRef]
- Malekzadeh, P.; Setoodeh, A.R.; Beni, A.A. Small scale effect on the thermal buckling of orthotropic arbitrary straight-sided quadrilateral nanoplates embedded in an elastic medium. Compos. Struct. 2011, 93, 2083–2089. [Google Scholar] [CrossRef]
- Ansari, R.; Gholami, R.; Sahmani, S. On the dynamic stability of embedded single-walled carbon nanotubes including thermal environment effects. Sci. Iran. 2012, 19, 919–925. [Google Scholar] [CrossRef]
- Karličić, D.; Cajić, M.; Kozić, P.; Pavlović, I. Temperature effects on the vibration and stability behavior of multi-layered graphene sheets embedded in an elastic medium. Compos. Struct. 2015, 131, 672–681. [Google Scholar] [CrossRef]
- Sobhy, M. Hygrothermal deformation of orthotropic nanoplates based on the state-space concept. Compos. Part B Eng. 2015, 79, 224–235. [Google Scholar] [CrossRef]
- Ebrahimi, F.; Hosseini, S.H.S. Thermal effects on nonlinear vibration behavior of viscoelastic nanosize plates. J. Therm. Stress. 2016, 39, 606–625. [Google Scholar] [CrossRef]
- Ansari, R.; Gholami, R. Dynamic stability analysis of multi-walled carbon nanotubes with arbitrary boundary conditions based on the nonlocal elasticity theory. Mech. Adv. Mater. Struct. 2017, 24, 1180–1188. [Google Scholar] [CrossRef]
- Wu, H.; Yang, J.; Kitipornchai, S. Parametric instability of thermo-mechanically loaded functionally graded graphene reinforced nanocomposite plates. Int. J. Mech. Sci. 2018, 135, 431–440. [Google Scholar] [CrossRef]
- Jouneghani, F.Z.; Dimitri, R.; Tornabene, F. Structural response of porous FG nanobeams under hygro-thermo-mechanical loadings. Compos. Part B Eng. 2018, 152, 71–78. [Google Scholar] [CrossRef]
- Wang, Y.-Z.; Li, F.-M.; Kishimoto, K. Thermal effects on vibration properties of double-layered nanoplates at small scales. Compos. Part B Eng. 2011, 42, 1311–1317. [Google Scholar] [CrossRef]
- Zenkour, A.M. Nonlocal transient thermal analysis of a single-layered graphene sheet embedded in viscoelastic medium. Phys. E Low-Dimens. Syst. Nanostruct. 2016, 79, 87–97. [Google Scholar] [CrossRef]
- Zhang, D.P.; Lei, Y.J.; Shen, Z.B. Thermo-electro-mechanical vibration analysis of piezoelectric nanoplates resting on viscoelastic foundation with various boundary conditions. Int. J. Mech. Sci. 2017, 131–132, 1001–1015. [Google Scholar] [CrossRef]
- Malikan, M.; Nguyen, V.B.; Tornabene, F. Damped forced vibration analysis of single-walled carbon nanotubes resting on viscoelastic foundation in thermal environment using nonlocal strain gradient theory. Eng. Sci. Technol. Int. J. 2018, 21, 778–786. [Google Scholar] [CrossRef]
- Ebrahimi, F.; Shafiei, N. Influence of initial shear stress on the vibration behavior of single-layered grapheme sheets embedded in an elastic medium based on Reddy’s higher-order shear deformation plate theory. Mech. Adv. Mater. Struct. 2016. [Google Scholar] [CrossRef]
- Jalaei, M.H.; Arani, A.G. Analytical solution for static and dynamic analysis of magnetically affected viscoelastic orthotropic double-layered graphene sheets resting on viscoelastic foundation. Phys. B Condens. Matter 2018, 530, 222–235. [Google Scholar] [CrossRef]
- Shen, H.-S.; Zhang, C.-L. Nonlocal beam model for nonlinear analysis of carbon nanotubes on elastomeric substrates. Comput. Mater. Sci. 2011, 50, 1022–1029. [Google Scholar] [CrossRef]
- Bolotin, V.V. The Dynamic Stability of Elastic Systems; Holden-Day: San Francisco, CA, USA, 1964. [Google Scholar]
- Shen, L.; Shen, H.-S.; Zhang, C.-L. Temperature-dependent elastic properties of single layer graphene sheets. Mater. Des. 2010, 31, 4445–4449. [Google Scholar] [CrossRef]
- Sobhy, M. Thermomechanical bending and free vibration of single-layered graphene sheets embedded in an elastic medium. Phys. E Low-Dimens. Syst. Nanostruct. 2014, 56, 400–409. [Google Scholar] [CrossRef]
- Ebrahimi, F.; Barati, M.R. Damping vibration analysis of graphene sheets on viscoelastic medium incorporating hygro-thermal effects employing nonlocal strain gradient theory. Compos. Struct. 2018, 185, 241–253. [Google Scholar] [CrossRef]
- Ansari, R.; Sahmani, S. Prediction of biaxial buckling behavior of single-layered graphene sheets based on nonlocal plate models and molecular dynamics simulations. Appl. Math. Model. 2013, 37, 7338–7351. [Google Scholar] [CrossRef]
- Golmakani, M.E.; Rezatalab, J. Nonuniform biaxial buckling of orthotropic nanoplates embedded in an elastic medium based on nonlocal Mindlin plate theory. Compos. Struct. 2015, 119, 238–250. [Google Scholar] [CrossRef]







| (K) | E1 (TPa) | E2 (TPa) | G12 (TPa) | |||
|---|---|---|---|---|---|---|
| Zigzag sheet I: a = 4.855 nm, b = 4.888 nm, h = 0.154 nm | ||||||
| 300 | 1.987 | 1.974 | 0.857 | 0.205 | 2.1 | 1.9 |
| 500 | 1.974 | 1.968 | 0.870 | 0.205 | 2.3 | 2.0 |
| 700 | 1.961 | 1.948 | 0.870 | 0.205 | 2.4 | 2.1 |
| Zigzag sheet II: a = 9.496 nm, b = 4.877 nm, h = 0.145 nm | ||||||
| 300 | 2.145 | 2.097 | 0.938 | 0.223 | 1.7 | 1.5 |
| 500 | 2.103 | 2.055 | 0.959 | 0.223 | 2.0 | 1.7 |
| 700 | 2.069 | 2.014 | 0.959 | 0.223 | 2.1 | 2.0 |
| μ (nm2) | KW | KP | Sobhy [40] | Ebrahimi and Barati [41] | Present | Error (%) |
|---|---|---|---|---|---|---|
| 0 | 0 | 0 | 1.93861 | 1.93861 | 1.93851 | 0.0051 |
| 100 | 0 | 2.18396 | 2.18396 | 2.18386 | 0.0045 | |
| 100 | 20 | 2.96017 | - | 2.96010 | 0.0023 | |
| 1 | 0 | 0 | 1.17816 | 1.17816 | 1.17809 | 0.0059 |
| 100 | 0 | 1.54903 | 1.54903 | 1.54898 | 0.0032 | |
| 100 | 20 | 2.52831 | - | 2.52827 | 0.0015 | |
| 2 | 0 | 0 | 0.92261 | 0.92261 | 0.92257 | 0.0043 |
| 100 | 0 | 1.36479 | 1.36479 | 1.36475 | 0.0029 | |
| 100 | 20 | 2.41979 | - | 2.41976 | 0.0012 | |
| 3 | 0 | 0 | 0.78347 | 0.78347 | 0.78343 | 0.0051 |
| 100 | 0 | 1.27485 | 1.27485 | 1.27482 | 0.0023 | |
| 100 | 20 | 2.37020 | - | 2.37018 | 0.0008 |
| a (nm) | MD Results [42] | DQM [43] | FSM [19] | Present |
|---|---|---|---|---|
| 4.99 | 1.0837 | 1.0749 | - | 1.0711 |
| 8.08 | 0.6536 | 0.6523 | 0.6592 | 0.6514 |
| 10.77 | 0.4331 | 0.4356 | 0.4387 | 0.4353 |
| 14.65 | 0.2609 | 0.2645 | 0.2656 | 0.2643 |
| 18.51 | 0.1714 | 0.1751 | 0.1757 | 0.1751 |
| 26.22 | 0.0889 | 0.0917 | 0.0918 | 0.0917 |
| 33.85 | 0.0554 | 0.0561 | 0.0562 | 0.0561 |
| 37.81 | 0.0449 | 0.0453 | 0.0453 | 0.0452 |
| 45.66 | 0.0315 | 0.0313 | 0.0313 | 0.0313 |
© 2019 by the authors. Licensee MDPI, Basel, Switzerland. This article is an open access article distributed under the terms and conditions of the Creative Commons Attribution (CC BY) license (http://creativecommons.org/licenses/by/4.0/).
Share and Cite
Jalaei, M.H.; Dimitri, R.; Tornabene, F. Dynamic Stability of Temperature-Dependent Graphene Sheet Embedded in an Elastomeric Medium. Appl. Sci. 2019, 9, 887. https://doi.org/10.3390/app9050887
Jalaei MH, Dimitri R, Tornabene F. Dynamic Stability of Temperature-Dependent Graphene Sheet Embedded in an Elastomeric Medium. Applied Sciences. 2019; 9(5):887. https://doi.org/10.3390/app9050887
Chicago/Turabian StyleJalaei, Mohammad Hossein, Rossana Dimitri, and Francesco Tornabene. 2019. "Dynamic Stability of Temperature-Dependent Graphene Sheet Embedded in an Elastomeric Medium" Applied Sciences 9, no. 5: 887. https://doi.org/10.3390/app9050887
APA StyleJalaei, M. H., Dimitri, R., & Tornabene, F. (2019). Dynamic Stability of Temperature-Dependent Graphene Sheet Embedded in an Elastomeric Medium. Applied Sciences, 9(5), 887. https://doi.org/10.3390/app9050887

