Enhanced Radiative Recombination Rate by Local Potential Fluctuation in InGaN/AlGaN Near-Ultraviolet Light-Emitting Diodes
Abstract
1. Introduction
2. Samples and Experiments
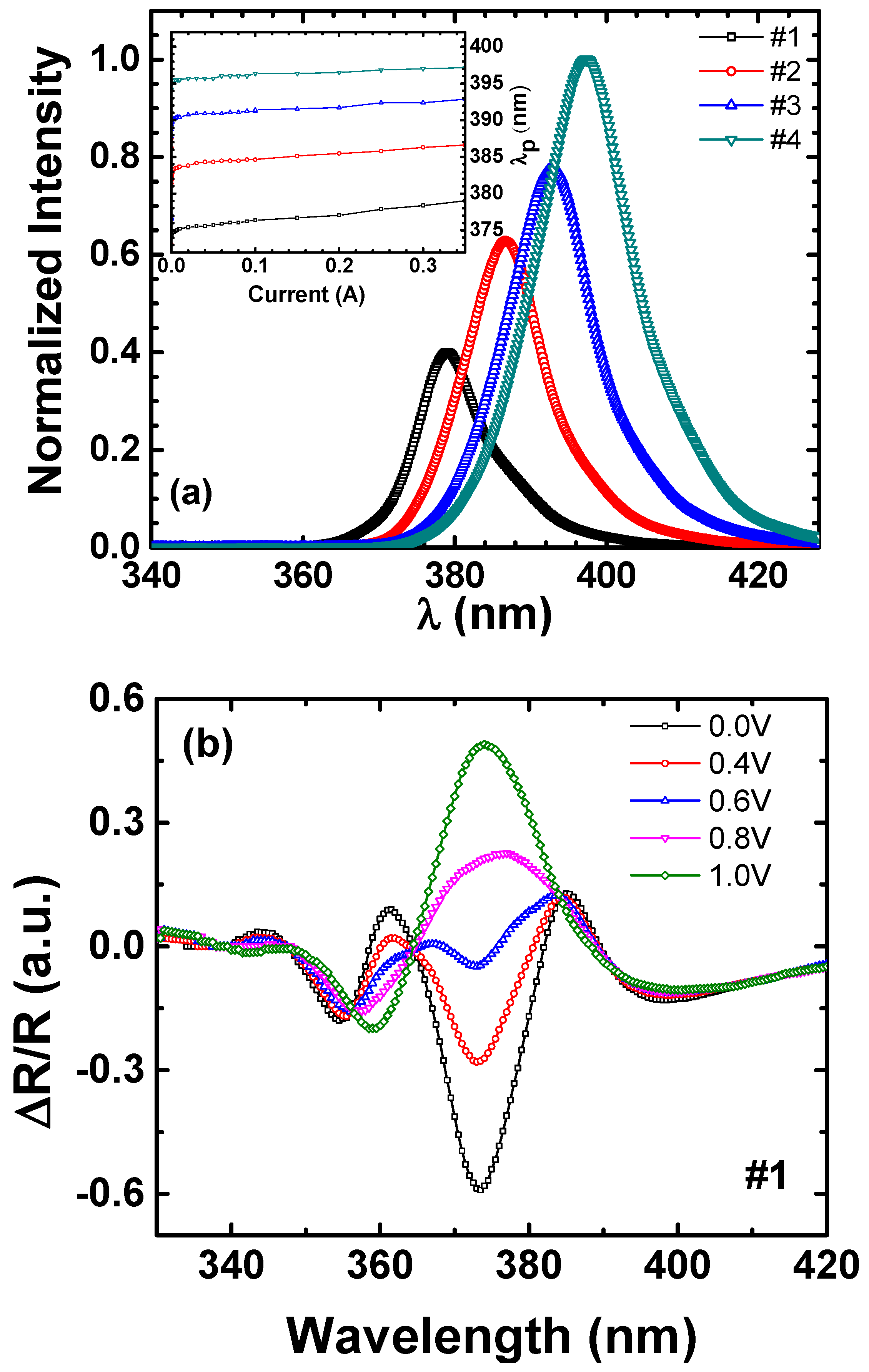
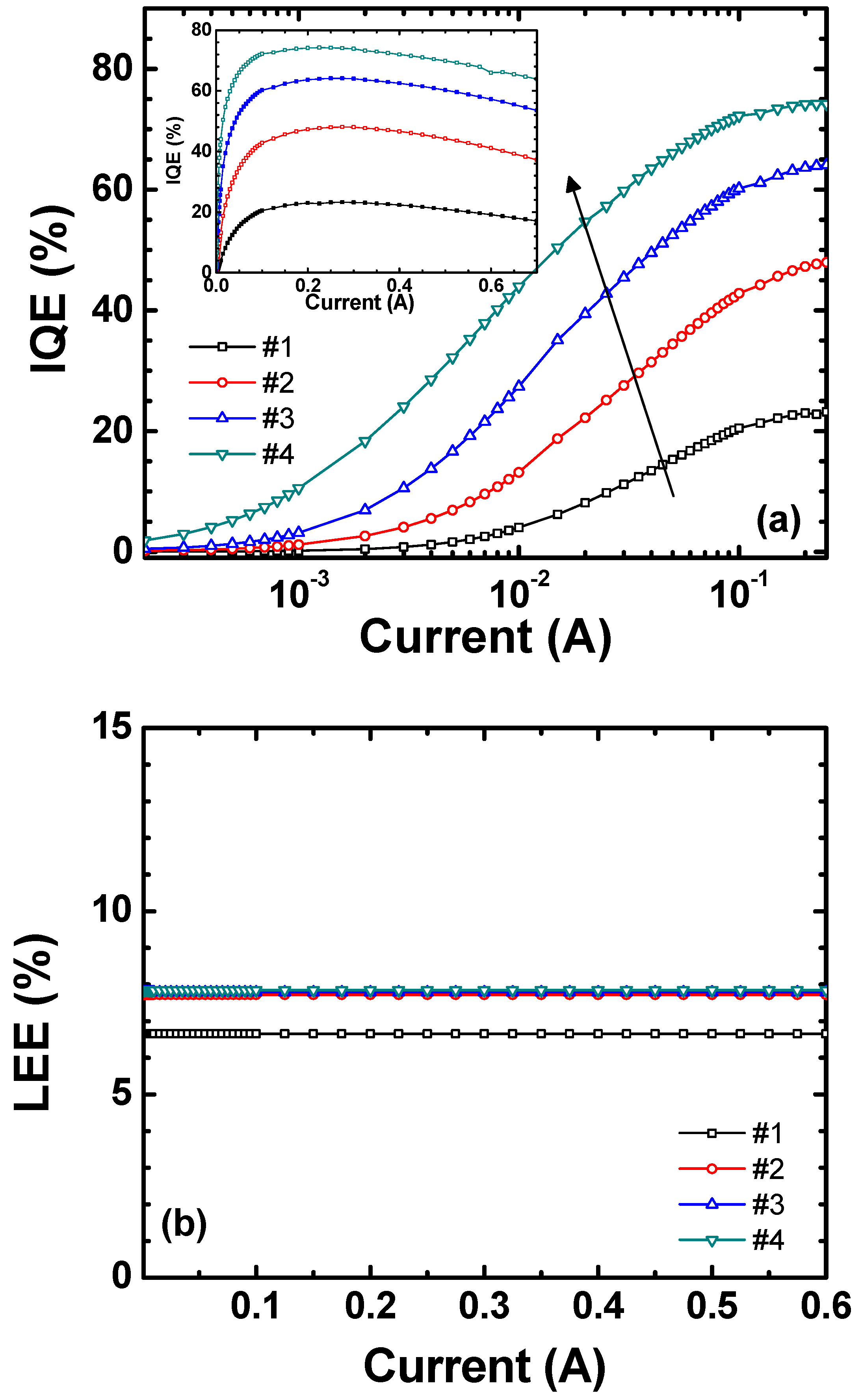
3. Results and Discussion
4. Conclusions
Author Contributions
Funding
Acknowledgments
Conflicts of Interest
References
- Sandhu, A. The future of ultraviolet LEDs. Nat. Photonics 2007, 1, 38. [Google Scholar] [CrossRef]
- Kuo, Y.-K.; Shih, Y.-H.; Tsai, M.-C.; Chang, J.-Y. Improvement in Electron Overflow of Near-Ultraviolet InGaN LEDs by Specific Design on Last Barrier. IEEE Photonics Technol. Lett. 2011, 23, 1630–1632. [Google Scholar] [CrossRef]
- Li, P.; Li, H.; Wang, L.; Yi, X.; Wang, G. High Quantum Efficiency and Low Drop of 400-nm InGaN Near-Ultraviolet Light-Emitting Diodes through Suppressed Leakage Current. IEEE J. Quantum Electron. 2015, 51, 3300605. [Google Scholar] [CrossRef]
- Muramoto, Y.; Kimura, M.; Nouda, S. Development and future of ultraviolet light-emitting diodes: UV-LED will replace the UV lamp. Semicond. Sci. Technol. 2014, 29, 084004. [Google Scholar] [CrossRef]
- Kipshidze, G.; Kuryatkov, V.; Borisov, B.; Holtz, M.; Nikishin, S.; Temkin, H. AlGaInN-based ultraviolet light-emitting diodes grown on Si (111). Appl. Phys. Lett. 2002, 80, 3682–3684. [Google Scholar] [CrossRef]
- Khan, A.; Balakrishnan, K.; Katona, T. Ultraviolet light-emitting diodes based on group three nitrides. Nat. Photonics 2008, 2, 77–84. [Google Scholar] [CrossRef]
- Kneissl, M.; Kolbe, T.; Chua, C.; Kueller, V.; Lobo, N.; Stellmach, J.; Knauer, A.; Rodriguez, H.; Einfeldt, S.; Yang, Z.; et al. Advances in group III-nitride-based deep UV light-emitting diode technology. Semicond. Sci. Technol. 2011, 26, 014036. [Google Scholar] [CrossRef]
- Sintov, Y.; Malka, D.; Zalevsky, Z. Prospects for diode pumped alkali atom based hollow core photonic crystal fiber lasers. Opt. Lett. 2014, 39, 4655–4658. [Google Scholar] [CrossRef] [PubMed]
- Malka, D.; Cohen, E.; Zalevsky, Z. Design of 4 × 1 power beam combined based on multicore photonic crystal fiber. Appl. Sci. 2017, 7, 695. [Google Scholar] [CrossRef]
- Meneghini, M.; Pavesi, M.; Trivellin, N.; Gaska, R.; Zanoni, E.; Meneghesso, G. Reliability of deep-UV light-emitting diodes. IEEE Trans. Device Mater. Reliab. 2008, 8, 248–254. [Google Scholar] [CrossRef]
- Maeda, N.; Hirayama, H. Realization of high-efficiency deep-UV LEDs using transparent p-AlGaN contact layer. Phys. Status Solidi C 2013, 10, 1521–1524. [Google Scholar] [CrossRef]
- Fu, Y.-K.; Jiang, R.-H.; Lu, Y.-H.; Chen, B.-C.; Xuan, R.; Fang, Y.-H.; Lin, C.-F.; Su, Y.-K.; Chen, J.-F. The effect of trimethylgallium flows in the AlInGaN barrier on optoelectronic characteristics of near ultraviolet light-emitting diodes grown by atmospheric pressure metalorganic vapor phase epitaxy. Appl. Phys. Lett. 2011, 98, 121115. [Google Scholar] [CrossRef]
- Nakamura, S. The Roles of Structural Imperfections in InGaN-Based Blue Light-Emitting Diodes and Laser Diodes. Science 1998, 281, 956–961. [Google Scholar] [CrossRef]
- Reshchikov, M.A.; Morkoc, H. Luminescence properties of defects in GaN. J. Appl. Phys. 2005, 97, 061301. [Google Scholar] [CrossRef]
- Hirsch, L.; Barriere, A.S. Electrical characterization of InGaN/GaN light emitting diodes grown by molecular beam epitaxy. J. Appl. Phys. 2003, 94, 5014–5520. [Google Scholar] [CrossRef]
- Chichibu, S.F.; Uedono, A.; Onuma, T.; Haskell, B.A.; Chakraborty, A.; Koyama, T.; Fini, P.T.; Keller, S.; Denbaars, S.P.; Speck, J.S.; et al. Origin of defect-insensitive emission probability in In-containing (Al,In,Ga)N alloy semiconductors. Nat. Mater. 2006, 5, 810–816. [Google Scholar] [CrossRef] [PubMed]
- Davidson, J.; Dawson, P.; Wang, T.; Sugahara, T.; Orton, J.; Sakai, S. Photoluminescence studies of InGaN/GaN multi-quantum wells. Semicond. Sci. Technol. 2000, 15, 497–505. [Google Scholar] [CrossRef]
- Wu, Y.-R.; Shivaraman, R.; Wang, K.-C.; Speck, J.S. Analyzing the physical properties of InGaN multiple quantum well light emitting diodes from nano scale structure. Appl. Phys. Lett. 2012, 101, 083505. [Google Scholar] [CrossRef]
- Yang, T.-J.; Shivaraman, R.; Speck, J.S.; Wu, Y.-R. The influence of random indium alloy fluctuations in indium gallium nitride quantum wells on the device behavior. J. Appl. Phys. 2014, 116, 113104. [Google Scholar] [CrossRef]
- Watson-Parris, D.; Godfrey, M.J.; Dawson, P.; Oliver, R.A.; Galtrey, M.J.; Kappers, M.J.; Humphreys, C.J. Carrier localization mechanisms in InxGa1−xN/GaN quantum wells. Phys. Rev. B 2011, 83, 115321. [Google Scholar] [CrossRef]
- Schulz, S.; Caro, M.A.; Coughlan, C.; O’Reilly, E.P. Atomistic analysis of the impact of alloy and well-width fluctuations on the electronic and optical properties of InGaN/GaN quantum wells. Phys. Rev. B 2015, 91, 035439. [Google Scholar] [CrossRef]
- Bellaiche, L.; Mattila, T.; Wang, L.-W.; Wei, S.-H.; Zunger, A. Resonant hole localization and anomalous optical bowing in InGaN alloys. Appl. Phys. Lett. 1999, 74, 1842–1844. [Google Scholar] [CrossRef]
- Cheng, Y.-C.; Lin, E.-C.; Wu, C.-M.; Yang, C.C.; Yang, J.-R.; Rosenauer, A.; Ma, K.-J.; Shi, S.-C.; Chen, L.C.; Pan, C.-C.; et al. Nanostructures and carrier localization behaviors of green-luminescence InGaN/GaN quantum-well structures of various silicon-doping conditions. Appl. Phys. Lett. 2004, 84, 2506–2508. [Google Scholar] [CrossRef]
- Jeong, H.; Jeong, H.J.; Oh, H.M.; Hong, C.-H.; Suh, E.K.; Lerondel, G.; Jeong, M.S. Carrier localization in In-rich InGaN/GaN multiple quantum wells for green light-emitting diodes. Sci. Rep. 2015, 5, 9373. [Google Scholar] [CrossRef] [PubMed]
- Hader, J.; Moloney, J.V.; Koch, S.W. Density-activated defect recombination as a possible explanation for the efficiency droop in GaN-based diodes. Appl. Phys. Lett. 2010, 96, 221106. [Google Scholar] [CrossRef]
- Hangleiter, A.; Hitzel, F.; Netzel, C.; Fuhrmann, D.; Rossow, U.; Ade, G.; Hinze, P. Suppression of nonradiative recombination by V-shaped pits in GaInN/GaN quantum wells produces a large inncrease in the light emission efficiency. Phys. Rev. Lett. 2005, 95, 1274702. [Google Scholar] [CrossRef] [PubMed]
- Kudrawiec, R.; Siekacz, M.; Krysko, M.; Cywinski, G.; Misiewicz, J.; Skierbiszewski, C. Contactless electroreflectance of InGaN layers with indium content ≤36%: The surface band bending, band gap bowing, and Stokes shift issues. J. Appl. Phys. 2009, 106, 113517. [Google Scholar] [CrossRef]
- Ponce, F.A.; Srinivasan, S.; Bell, A.; Geng, L.; Liu, R.; Stevens, M.; Cai, J.; Omiya, H.; Marui, H.; Tanaka, S. Microstructure and electronic properties of InGaN alloys. Phys. Status Solidi B 2003, 240, 273–284. [Google Scholar] [CrossRef]
- Pereira, S.; Correia, M.R.; Perira, E.; Trager-Cowan, C.; Sweeney, F.; O’Donnell, K.P.; Alves, E.; Franco, N. Sequeira Structural and optical properties of InGaN/GaN layers close to the critical layer thickness. Appl. Phys. Lett. 2002, 81, 1207. [Google Scholar] [CrossRef]
- Islam, A.B.M.H.; Shim, J.-I.; Shin, D.-S. Optoelectronic performance variations in InGaN/GaN multiple-quantum-well light-emitting diodes: Effects of potential fluctuation. Materials 2018, 11, 743. [Google Scholar] [CrossRef] [PubMed]
- Tu, P.-M.; Chang, C.-Y.; Huang, S.-C.; Chiu, C.-H.; Chang, J.-R.; Chang, W.-T.; Wuu, D.-S.; Zan, H.-W.; Lin, C.-C.; Kuo, H.-C.; et al. Investigation of efficiency droop for InGaN-based UV light-emitting diodes with InAlGaN barrier. Appl. Phys. Lett. 2011, 98, 211107. [Google Scholar] [CrossRef]
- Lee, G.W.; Shim, J.-I.; Shin, D.-S. On the ideality factor of the radiative recombination current in semiconductor light-emitting diodes. Appl. Phys. Lett. 2016, 109, 031104. [Google Scholar] [CrossRef]
- Schubert, E.F. Light-Emitting Diodes; Cambridge University Press: Cambridge, UK, 2006; Chapter 4. [Google Scholar]
- Seong, T.-Y.; Han, J.; Amano, H.; Morkoc, H. III-Nitride Based Light Emitting Diodes and Applications; Springer: Heidelberg, Germany, 2013; p. 153. [Google Scholar]
- Bochkareva, N.I.; Voronenkov, V.V.; Gorbunov, R.I.; Zubrilov, A.S.; Lelikov, Y.S.; Latyshev, P.E.; Rebane, Y.T.; Tsyuk, A.I.; Shreter, Y.G. Defect-related tunneling mechanism of efficiency droop in III-nitride light-emitting diodes. Appl. Phys. Lett. 2010, 96, 133502. [Google Scholar] [CrossRef]
- Han, D.-H.; Oh, C.-H.; Zheng, D.-G.; Kim, H.; Shim, J.-I.; Kim, K.-S.; Shin, D.-S. Analysis of nonradiative recombination mechanisms and their impacts on the device performance of InGaN/GaN light-emitting diodes. Jpn. J. Appl. Phys. 2015, 54, 02BA01. [Google Scholar] [CrossRef]
- Islam, A.B.M.H.; Shim, J.-I.; Shin, D.-S. Interactive study of electroreflectance and photocurrent spectra in InGaN/GaN-based blue LEDs. IEEE J. Quantum Electron. 2017, 53, 3300206. [Google Scholar] [CrossRef]
- Park, S.-I.; Lee, J.-I.; Jang, D.-H.; Kim, H.-S.; Shin, D.-S.; Ryu, H.-Y.; Shim, J.-I. Measurement of internal electric field in GaN-based light-emitting diodes. IEEE J. Quantum Electron. 2012, 48, 500–506. [Google Scholar] [CrossRef]
- Yun, J.; Shim, J.-I.; Hirayama, H. Analysis of efficiency droop in 280-nm AlGaN multiple-quantum-well light-emitting diodes based on carrier rate equation. Appl. Phys. Express 2015, 8, 022104. [Google Scholar] [CrossRef]
- Reshchikov, M.A.; Yi, G.-C.; Wessels, B.W. Behavior of 2.8- and 3.2-eV photoluminescence bands in Mg-doped GaN at different temperatures and excitation densities. Phys. Rev. B 1999, 59, 13176–13183. [Google Scholar] [CrossRef]
- Van de Walle, C.G.; Neugebauer, J. First-principles calculations for defects and impurities: Applications to III-nitrides. J. Appl. Phys. 2004, 95, 3851–3879. [Google Scholar] [CrossRef]







| - | #1 | #2 | #3 | #4 |
|---|---|---|---|---|
| In composition (%) | 4.5 | 5.5 | 6.5 | 7.5 |
| VF (V) | 3.68 | 3.53 | 3.51 | 3.47 |
| RS (Ω) | 2.0 | 1.9 | 1.8 | 1.7 |
| nmin | 2.7 | 1.9 | 1.8 | 1.6 |
| A (×107 s−1) | 3.24 | 1.72 | 1.00 | 0.62 |
| Eg (eV) | ~3.26 | ~3.22 | ~3.18 | ~3.15 |
| ΔEC (eV) | ~0.50 | ~0.54 | ~0.58 | ~0.62 |
| Fpz (MV/cm) | −0.8 | −0.9 | −1.0 | −1.1 |
| λ350 (nm) | 379.0 | 386.6 | 392.9 | 397.2 |
| λ1 (nm) | 374.6 | 382.8 | 389.8 | 395.0 |
| Redshift (nm) | 4.4 | 3.8 | 3.1 | 2.2 |
| S10 (a.u.) | 2.1 | 1.7 | 1.5 | 1.3 |
| S450 (a.u.) | 0.68 | 0.76 | 0.84 | 0.86 |
| LEE (%) | 6.65 | 7.71 | 7.78 | 7.84 |
| IQEmax (%) | 23.2 | 48.0 | 64.1 | 74.2 |
© 2019 by the authors. Licensee MDPI, Basel, Switzerland. This article is an open access article distributed under the terms and conditions of the Creative Commons Attribution (CC BY) license (http://creativecommons.org/licenses/by/4.0/).
Share and Cite
Islam, A.B.M.H.; Shim, D.-S.; Shim, J.-I. Enhanced Radiative Recombination Rate by Local Potential Fluctuation in InGaN/AlGaN Near-Ultraviolet Light-Emitting Diodes. Appl. Sci. 2019, 9, 871. https://doi.org/10.3390/app9050871
Islam ABMH, Shim D-S, Shim J-I. Enhanced Radiative Recombination Rate by Local Potential Fluctuation in InGaN/AlGaN Near-Ultraviolet Light-Emitting Diodes. Applied Sciences. 2019; 9(5):871. https://doi.org/10.3390/app9050871
Chicago/Turabian StyleIslam, Abu Bashar Mohammad Hamidul, Dong-Soo Shim, and Jong-In Shim. 2019. "Enhanced Radiative Recombination Rate by Local Potential Fluctuation in InGaN/AlGaN Near-Ultraviolet Light-Emitting Diodes" Applied Sciences 9, no. 5: 871. https://doi.org/10.3390/app9050871
APA StyleIslam, A. B. M. H., Shim, D.-S., & Shim, J.-I. (2019). Enhanced Radiative Recombination Rate by Local Potential Fluctuation in InGaN/AlGaN Near-Ultraviolet Light-Emitting Diodes. Applied Sciences, 9(5), 871. https://doi.org/10.3390/app9050871

