MZM Optimization of PAM-4 Transmission in Data Center Interconnect
Abstract
:1. Introduction
2. Mathematical Presentation
3. Analog Optimization Method
4. Lab Measurements
4.1. Lab Measurement Setup
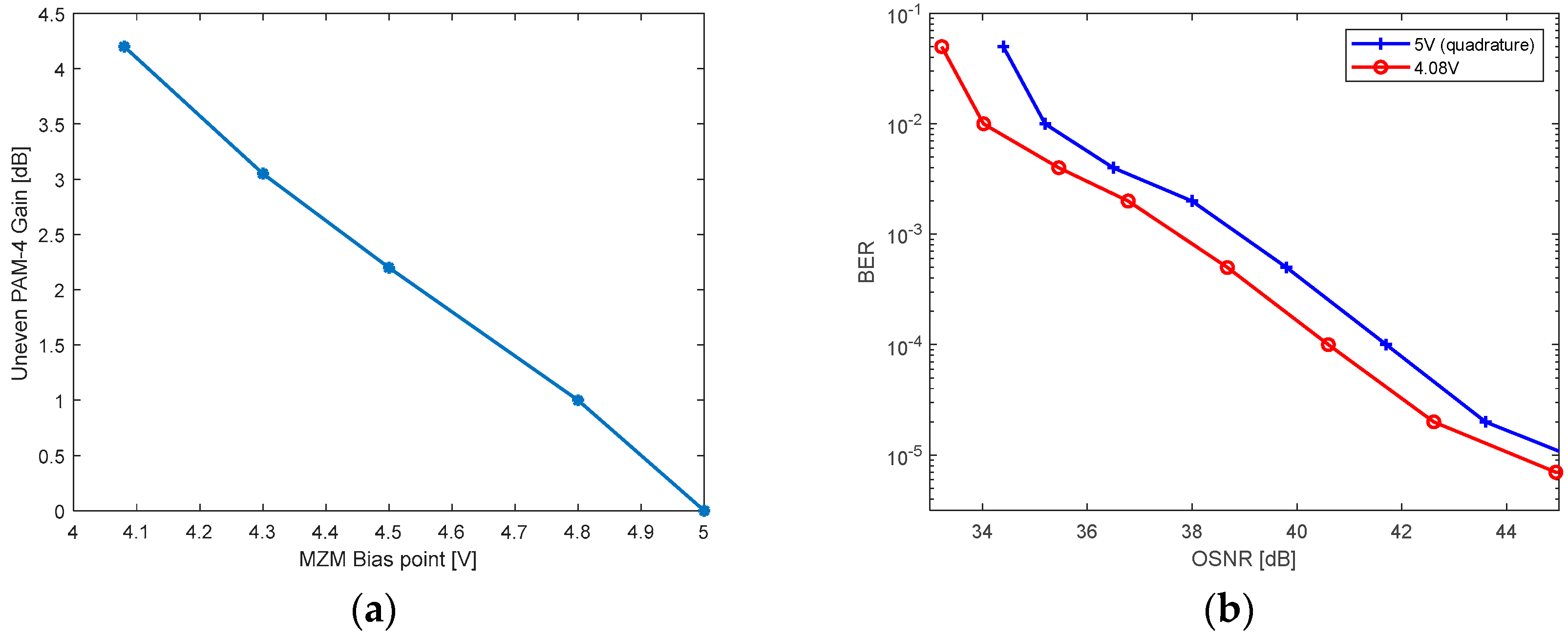
4.2. Experimental Results
5. Conclusions
6. Patents
Author Contributions
Funding
Conflicts of Interest
Appendix A
Appendix A.1. Analytical Derivation of PAM-4 Signal with Optimum Transmission Levels
Appendix A.2. Analytical Comparison of PAM-4 Levels Optimization with Equal Field Spacing Assuming Signal-Dependent Noise
References
- Walklin, S.; Conradi, K. Multilevel Signaling for Increasing the Reach of 10 Gb/s Lightwave Systems. J. Lightwave Technol. 1999, 17, 2235–2248. [Google Scholar] [CrossRef]
- Dochhan, A.; Griesser, H.; Eiselt, N.; Eiselt, M.H.; Elbers, J. Solutions for 80 km DWDM systems. J. Lightwave Technol. 2016, 34, 491–499. [Google Scholar] [CrossRef]
- Sadot, D.; Dorman, G.; Gorshtein, A.; Sonkin, E.; Vidal, O. Single channel 112Gbit/sec PAM-4 at 56Gbaud with digital signal processing for data centers applications. Opt. Express 2015, 23, 991–997. [Google Scholar] [CrossRef] [PubMed]
- Eiselt, N.; Wei, J.L.; Griesser, H.; Dochhan, A.; Eiselt, M.; Elbers, J.-P.; Vegas Olmos, J.J.; Monroy, I.T. First Real-Time 400G PAM-4 Demonstration for Inter-Data Center Transmission over 100 km of SSMF at 1550 nm. In Proceedings of the 2016 Optical Fiber Communications Conference and Exhibition (OFC), Anaheim, CA, USA, 20–24 March 2016. [Google Scholar]
- Nagarajan, R.; Filer, M.; Fu, Y.; Kato, M.; Rope, T.; Stewart, J. Silicon Photonics-Based 100 Gbit/s, PAM4, DWDM Data Center Interconnects. J. Opt. Commun. Netw. 2018, 10, B25–B36. [Google Scholar] [CrossRef]
- Katz, G.; Sonkin, E. Level Optimization of PAM-4 Transmission with Signal-Dependent Noise. IEEE Photon. J. 2018. [Google Scholar] [CrossRef]
- Sonkin, E.; Sadot, D.; Katz, G.; Vidal, O. Analog Optical Pre-Distortion of PAM-4 and High Order Modulated Signals. U.S. Patent Application 15/242,502, August 2015. allowance November 2018. [Google Scholar]
- Agrawal, G.P. Fiber-Optic Communication Systems, 2nd ed.; Wiley: Hoboken, NJ, USA, 1997. [Google Scholar]
- Proakis, J.G.; Salehi, M. Digital Communications, 5th ed.; McGraw-Hill Higher Education: New York, NY, USA, 2008. [Google Scholar]





© 2019 by the authors. Licensee MDPI, Basel, Switzerland. This article is an open access article distributed under the terms and conditions of the Creative Commons Attribution (CC BY) license (http://creativecommons.org/licenses/by/4.0/).
Share and Cite
Sonkin, E.; Sadot, D.; Katz, G. MZM Optimization of PAM-4 Transmission in Data Center Interconnect. Appl. Sci. 2019, 9, 637. https://doi.org/10.3390/app9040637
Sonkin E, Sadot D, Katz G. MZM Optimization of PAM-4 Transmission in Data Center Interconnect. Applied Sciences. 2019; 9(4):637. https://doi.org/10.3390/app9040637
Chicago/Turabian StyleSonkin, Eduard, Dan Sadot, and Gilad Katz. 2019. "MZM Optimization of PAM-4 Transmission in Data Center Interconnect" Applied Sciences 9, no. 4: 637. https://doi.org/10.3390/app9040637
APA StyleSonkin, E., Sadot, D., & Katz, G. (2019). MZM Optimization of PAM-4 Transmission in Data Center Interconnect. Applied Sciences, 9(4), 637. https://doi.org/10.3390/app9040637
