Saturated Ground Vibration Analysis Based on a Three-Dimensional Coupled Train-Track-Soil Interaction Model
Abstract
1. Introduction
2. Development of the Numerical Model
2.1. Modeling of the High-Speed Train and Slab Track
2.2. Modeling of the Saturated Soils
2.3. Numerical Solution
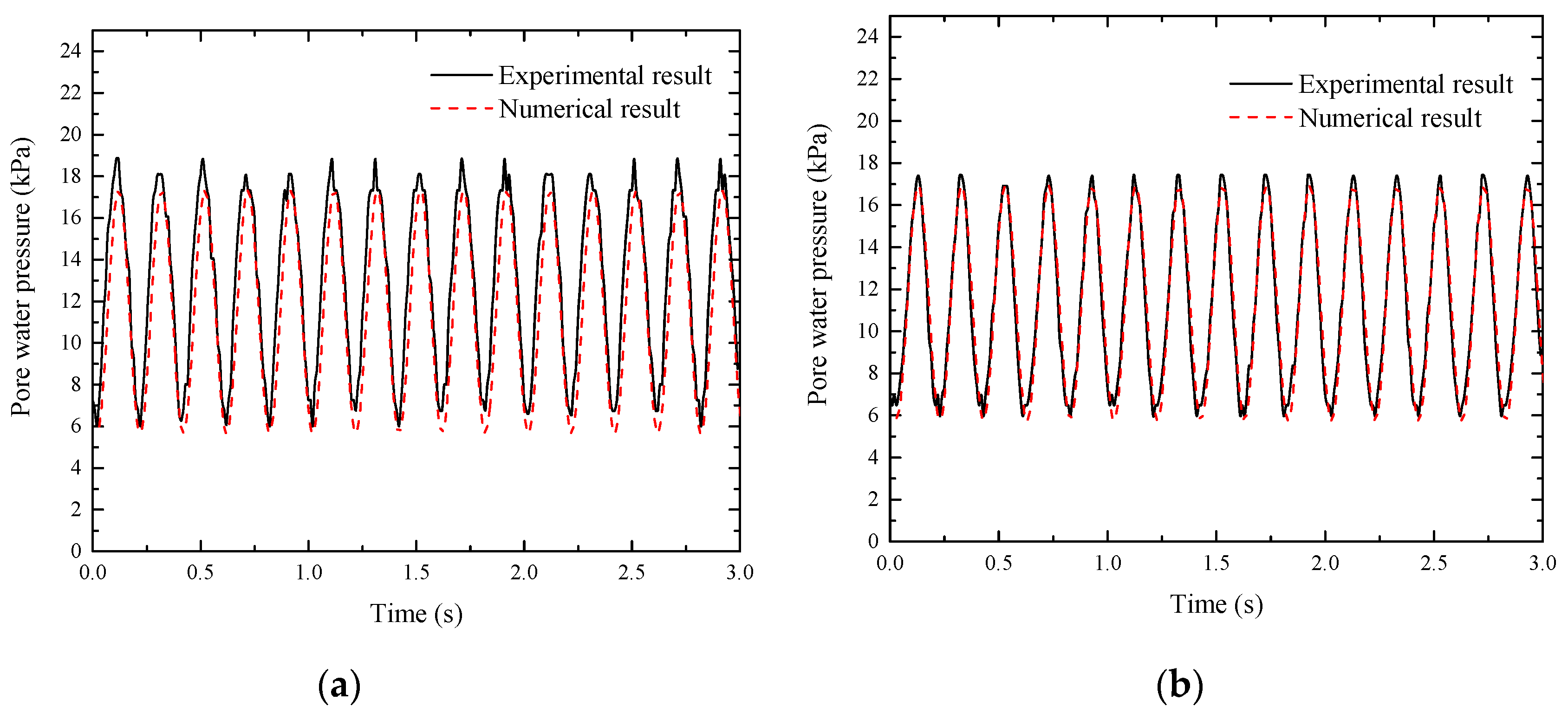
3. Model Validation
4. Results
4.1. Dynamic Responses of the One-Layered Soil
4.1.1. Pore Water Pressure and Effective Stress
4.1.2. Effect of Train Speed
4.1.3. Effect of Soil Modulus
4.2. Dynamic Responses of the Multi-Layered Soils
4.2.1. Time History Curves
4.2.2. Dynamic Responses along with Depth
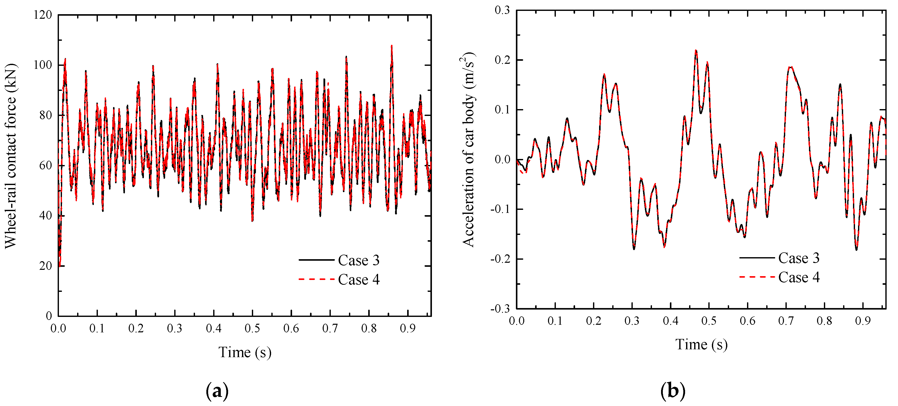
4.3. Influences on the Train-Track Interactions
5. Discussion
5.1. The Tendency of Pore Water Pressure with Depth
5.2. The Total Stresses of Saturated and Dry Soils
5.3. The Displacements of Saturated and Dry Soils
6. Conclusions
- In the one-layered ground, the maximum pore water pressure occurred at the soil surface and decreased along with soil depth. However, the maximum effective stress occurred at a depth of around 2 m. The total stress exhibited no evident difference between saturated and dry soils, but the displacement of saturated soils was smaller than that of dry soils;
- When the soil was quite soft, the pore water would carry the majority dynamic loads instead of the soil particles. In contrast, the soil particles would undertake more dynamic loads when the modulus of soils increased;
- The subgrade exhibited a significant influence on the vibration responses of saturated soils in the multi-layered soils model. The subgrade could reduce the amplitudes of pore water pressure, effective stress, total stress, and displacement of soils. The pile-reinforced ground had lower amplitudes of vibration responses compared with the natural ground;
- The undrained pore water had an insignificant influence on the train-track dynamic interactions including the wheel-rail contact force and acceleration of the car body.
Author Contributions
Funding
Acknowledgments
Conflicts of Interest
References
- Connolly, D.P.; Kouroussis, G.; Laghrouche, O.; Ho, C.L.; Forde, M.C. Benchmarking railway vibrations—Track, vehicle, ground and building effects. Constr. Build. Mater. 2015, 92, 64–81. [Google Scholar] [CrossRef]
- Kouroussis, G.; Connolly, D.P.; Verlinden, O. Railway-induced ground vibrations—A review of vehicle effects. Int. J. Rail Transp. 2014, 2, 69–110. [Google Scholar] [CrossRef]
- Thompson, D.J.; Kouroussis, G.; Ntotsios, E. Modelling, simulation and evaluation of ground vibration caused by rail vehicles. Veh. Syst. Dyn. 2019, 57, 936–983. [Google Scholar] [CrossRef]
- Kaewunruen, S.; Martin, V.J.S. Life cycle assessment of railway ground-borne noise and vibration mitigation methods using geosynthetics, metamaterials and ground improvement. Sustainability 2018, 10, 3753. [Google Scholar] [CrossRef]
- Li, T.; Su, Q.; Shao, K.; Liu, J. Numerical Analysis of Vibration Responses in High-Speed Railways considering Mud Pumping Defect. Shock Vib. 2019, 2019, 9707909. [Google Scholar] [CrossRef]
- Kaewunruen, S.; Wang, Y.; Ngamkhanong, C. Derailment-resistant performance of modular composite rail track slabs. Eng. Struct. 2018, 160, 1–11. [Google Scholar] [CrossRef]
- Kaewunruen, S.; Sussman, J.M.; Matsumoto, A. Grand challenges in transportation and transit systems. Front. Built Environ. 2016, 2, 4. [Google Scholar] [CrossRef]
- Sheng, X.; Jones, C.; Thompson, D. A theoretical study on the influence of the track on train-induced ground vibration. J. Sound Vib. 2004, 272, 909–936. [Google Scholar] [CrossRef]
- Hall, L. Simulations and analyses of train-induced ground vibrations in finite element models. Soil Dyn. Earthq. Eng. 2003, 23, 403–413. [Google Scholar] [CrossRef]
- Krylov, V.V.; Dawson, A.; Heelis, M.; Collop, A. Rail movement and ground waves caused by high-speed trains approaching track-soil critical velocities. Proc. Inst. Mech. Eng. F J. Rail Rapid Transit 2000, 214, 107–116. [Google Scholar] [CrossRef]
- Dong, K.; Connolly, D.P.; Laghrouche, O.; Woodward, P.; Costa, P.A. Non-linear soil behaviour on high speed rail lines. Comput. Geotech. 2019, 112, 302–318. [Google Scholar] [CrossRef]
- Shih, J.Y.; Thompson, D.J.; Zervos, A. The influence of soil nonlinear properties on the track/ground vibration induced by trains running on soft ground. Transp. Geotech. 2017, 11, 1–16. [Google Scholar] [CrossRef]
- Costa, P.A.; Calçada, R.; Cardoso, A.S.; Bodare, A. Influence of soil non-linearity on the dynamic response of high-speed railway tracks. Soil Dyn. Earthq. Eng. 2010, 30, 221–235. [Google Scholar] [CrossRef]
- Kouroussis, G.; Verlinden, O.; Conti, C. Influence of some vehicle and track parameters on the environmental vibrations induced by railway traffic. Veh. Syst. Dyn. 2012, 50, 619–639. [Google Scholar] [CrossRef]
- Kouroussis, G.; Conti, C.; Verlinden, O. Investigating the influence of soil properties on railway traffic vibration using a numerical model. Veh. Syst. Dyn. 2013, 51, 421–442. [Google Scholar] [CrossRef]
- Kouroussis, G.; Connolly, D.P.; Olivier, B.; Laghrouche, O.; Costa, P.A. Railway cuttings and embankments: Experimental and numerical studies of ground vibration. Sci. Total Environ. 2016, 557, 110–122. [Google Scholar] [CrossRef]
- Kaewunruen, S.; Tang, T. Idealisations of Dynamic Modelling for Railway Ballast in Flood Conditions. Appl. Sci. 2019, 9, 1785. [Google Scholar] [CrossRef]
- Olivier, B.; Connolly, D.P.; Alves Costa, P.; Kouroussis, G. The effect of embankment on high speed rail ground vibrations. Int. J. Rail Transp. 2016, 4, 229–246. [Google Scholar] [CrossRef]
- Zhai, W.; Wei, K.; Song, X.; Shao, M. Experimental investigation into ground vibrations induced by very high speed trains on a non-ballasted track. Soil Dyn. Earthq. Eng. 2015, 72, 24–36. [Google Scholar] [CrossRef]
- Gao, G.Y.; Chen, Q.; He, J.; Liu, F. Investigation of ground vibration due to trains moving on saturated multi-layered ground by 2.5 D finite element method. Soil Dyn. Earthq. Eng. 2012, 40, 87–98. [Google Scholar] [CrossRef]
- Biot, M.A. Theory of propagation of elastic waves in a fluid-saturated porous solid. I. Low frequency range. J. Acoust. Soc. Am. 1956, 28, 179–191. [Google Scholar] [CrossRef]
- Burke, M.; Kingsbury, H.B. Response of poroelastic layers to moving loads. Int. J. Solids Struct. 1984, 20, 499–511. [Google Scholar] [CrossRef]
- Theodorakopoulos, D. Dynamic analysis of a poroelastic half-plane soil medium under moving loads. Soil Dyn. Earthq. Eng. 2003, 23, 521–533. [Google Scholar] [CrossRef]
- Lefeuve-Mesgouez, G.; Mesgouez, A. Ground vibration due to a high-speed moving harmonic rectangular load on a poroviscoelastic half-space. Int. J. Solids Struct. 2008, 45, 3353–3374. [Google Scholar] [CrossRef]
- Jin, B. Dynamic Responses of a Poroelastic Half Space Generatedby High Speed Load. Chin. Q. Mech. 2004, 2, 168–174. [Google Scholar]
- Sun, H.; Cai, Y.; Xu, C. Three-dimensional simulation of track on poroelastic half-space vibrations due to a moving point load. Soil Dyn. Earthq. Eng. 2010, 30, 958–967. [Google Scholar] [CrossRef]
- Cai, Y.; Cao, Z.; Sun, H.; Xu, C. Effects of the dynamic wheel–rail interaction on the ground vibration generated by a moving train. Int. J. Solids Struct. 2010, 47, 2246–2259. [Google Scholar] [CrossRef]
- Liu, B.; Su, Q.; Liu, T.; Li, T. Dynamic response of water saturated subgrade surface layer under high speed train using moving element method. J. Vibroeng. 2017, 19, 3720–3736. [Google Scholar]
- Han, J.; Zhao, G.T.; Sheng, X.Z.; Jin, X.S. Study on the subgrade deformation under high-speed train loading and water–soil interaction. Acta Mech. Sin. 2016, 32, 233–243. [Google Scholar] [CrossRef]
- Bian, X.; Hu, J.; Thompson, D.; Powrie, W. Pore pressure generation in a poro-elastic soil under moving train loads. Soil Dyn. Earthq. Eng. 2019, 125, 105711. [Google Scholar] [CrossRef]
- Remennikov, A.M.; Kaewunruen, S. A review of loading conditions for railway track structures due to train and track vertical interaction. Struct. Control Health Monit. Off. J. Int. Assoc. Struct. Control Monit. Eur. Assoc. Control Struct. 2008, 15, 207–234. [Google Scholar] [CrossRef]
- Feng, S.J.; Zhang, X.L.; Wang, L.; Zheng, Q.T.; Du, F.L.; Wang, Z.L. In situ experimental study on high speed train induced ground vibrations with the ballast-less track. Soil Dyn. Earthq. Eng. 2017, 102, 195–214. [Google Scholar] [CrossRef]
- Zheng, G.; Jiang, Y.; Han, J.; Liu, Y.F. Performance of cement-fly ash-gravel pile-supported high-speed railway embankments over soft marine clay. Mar. Georesources Geotechnol. 2011, 29, 145–161. [Google Scholar] [CrossRef]
- Lai, J.; Liu, H.; Qiu, J.; Chen, J. Settlement analysis of saturated tailings dam treated by CFG pile composite foundation. Adv. Mater. Sci. Eng. 2016, 2016, 7383762. [Google Scholar] [CrossRef]
- Afriyie, G.; Braimah, A.; Rayhani, M.T. Effect of explosive cratering on embankment dams. Int. J. Geotech. Eng. 2018, 12, 200–208. [Google Scholar] [CrossRef]
- Esmaeili, M.; Tavakoli, B. Finite element method simulation of explosive compaction in saturated loose sandy soils. Soil Dyn. Earthq. Eng. 2019, 116, 446–459. [Google Scholar] [CrossRef]
- Li, T.; Kaewunruen, S.; Su, Q.; Goto, K. Effects of static and dynamic material properties on vibration responses of slab tracks in high speed railways. In Proceedings of the ACOUSTICS 2019, Milton Keynes, UK, 13–14 May 2019; pp. 246–254. [Google Scholar]
- Wang, M.; Cai, C.; Zhu, S.; Zhai, W. Experimental study on dynamic performance of typical nonballasted track systems using a full-scale test rig. Proc. Inst. Mech. Eng. F J. Rail Rapid Transit 2017, 231, 470–481. [Google Scholar] [CrossRef]
- Hallquist, J.O. LS-DYNA keyword user’s manual. Livermore Softw. Technol. Corp. 2007, 970, 299–800. [Google Scholar]
- Sun, L.; Chen, L.; Zelelew, H.H. Stress and deflection parametric study of high-speed railway CRTS-II ballastless track slab on elevated bridge foundations. J. Transp. Eng. 2013, 139, 1224–1234. [Google Scholar] [CrossRef]
- Zhu, S.; Cai, C. Stress intensity factors evaluation for through-transverse crack in slab track system under vehicle dynamic load. Eng. Fail. Anal. 2014, 46, 219–237. [Google Scholar] [CrossRef]
- Xin, T.; Wang, P.; Ding, Y. Effect of Long-Wavelength Track Irregularities on Vehicle Dynamic Responses. Shock Vib. 2019, 2019, 4178065. [Google Scholar] [CrossRef]
- Kouroussis, G.; Verlinden, O.; Conti, C. Free field vibrations caused by high-speed lines: Measurement and time domain simulation. Soil Dyn. Earthq. Eng. 2011, 31, 692–707. [Google Scholar] [CrossRef]
- Huang, J.; Su, Q.; Wang, W.; Phong, P.D.; Liu, K. Field investigation and full-scale model testing of mud pumping and its effect on the dynamic properties of the slab track-subgrade interface. Proc. Inst. Mech. Eng. F J. Rail Rapid Transit 2019, 233, 802–816. [Google Scholar] [CrossRef]
- Phong, P.D. Study on the Mud Pumping Mechanism and Reinforcement Effect for Graded Gravel in High-Speed Railway Ballastless Track Surface Layer of Subgrade Bed. Ph.D. Thesis, Southwest Jiaotong University, Chengdu, China, 2015. [Google Scholar]
- Di, H.; Zhou, S.; He, C.; Zhang, X.; Luo, Z. Three-dimensional multilayer cylindrical tunnel model for calculating train-induced dynamic stress in saturated soils. Comput. Geotech. 2016, 80, 333–345. [Google Scholar] [CrossRef]
- Kaewunruen, S.; Remennikov, A.M. On the residual energy toughness of prestressed concrete sleepers In railway track structures subjected to repeated impact loads. Electron. J. Struct. Eng. 2013, 13, 41–46. [Google Scholar]
- Kaewunruen, S.; Remennikov, A.M. Current state of practice in railway track vibration isolation: An Australian overview. Aust. J. Civ. Eng. 2016, 14, 63–71. [Google Scholar] [CrossRef]
- Kaewunruen, S.; Chiengson, C. Railway track inspection and maintenance priorities due to dynamic coupling effects of dipped rails and differential track settlements. Eng. Fail. Anal. 2018, 93, 157–171. [Google Scholar] [CrossRef]
















| Properties | Values |
|---|---|
| CRH380 EMU Train [42] | |
| Mass of the car body (kg) | 40,000 |
| Mass of the bogie (kg) | 3200 |
| Mass of the wheelset (kg) | 2400 |
| Inertia of pitch motion of the car body(kg·m2) | 5.47 × 105 |
| Inertia of pitch motion of the bogie(kg·m2) | 6800 |
| Primary suspension stiffness (N/m) | 1.04 × 106 |
| Primary suspension damping (N·s/m) | 5 × 103 |
| Secondary suspension stiffness (N/m) | 4 × 105 |
| Secondary suspension damping (N·s/m) | 6 × 103 |
| CRTS II slab track [19,37,38] | |
| Mass density of the rail (kg/m3) | 7830 |
| Modulus of elasticity of the rail (Pa) | 2.059 × 1011 |
| Poisson’s ratio of the rail | 0.3 |
| Stiffness of the rail pads (N/m) | 5.0 × 107 (dynamic stiffness) |
| Damping of the rail pads (N·s/m) | 7.5 × 104 |
| Mass density of the concrete slab (kg/m3) | 2500 |
| Modulus of elasticity of the concrete slab (Pa) | 3.6 × 1010 (reference static value, strain-rate dependent) |
| Poisson’s ratio of the concrete slab | 0.2 |
| Mass density of the CA mortar (kg/m3) | 1900 |
| Modulus of elasticity of the CA mortar (Pa) | 7 × 109(reference static value, strain-rate dependent) |
| Poisson’s ratio of the CA mortar | 0.2 |
| Mass density of the concrete base (kg/m3) | 2400 |
| Modulus of elasticity of the concrete base (Pa) | 2.55 × 1010(reference static value, strain-rate dependent) |
| Poisson’s ratio of the concrete base | 0.2 |
| Density (kg/m3) | Gravitational Acceleration (m/s2) | Bulk Modulus (GPa) |
|---|---|---|
| 1000 | 9.8 | 2.2 |
| Components | Depth (m) | Density (kg/m3) | Elastic Modulus (MPa) | Poisson’s Ratio | |
|---|---|---|---|---|---|
| Subgrade | Surface layer | 0.4 | 2300 | 200 | 0.25 |
| Bottom layer | 2.3 | 1950 | 150 | 0.35 | |
| Subgrade body | 2 | 2100 | 110 | 0.3 | |
| Ground | First layer | 2.4 | 1900 | 42 | 0.3 |
| Second layer | 13.1 | 2010 | 83 | 0.36 | |
| Piles | 15.5 | 2200 | 7000 | 0.2 | |
| PM-1 | PM-2 | |||||
|---|---|---|---|---|---|---|
| Experimental Value (kPa) | Numerical Value (kPa) | Difference (%) | Experimental Value (kPa) | Numerical Value (kPa) | Difference (%) | |
| Maximum | 18.84 | 17.35 | 7.91 | 17.40 | 16.94 | 2.64 |
| Minimum | 6.00 | 5.64 | 6.00 | 5.96 | 5.72 | 4.03 |
| Subgrade (Three Layers) | Ground (Two Layers) | |
|---|---|---|
| Case 1 | -- | Saturated |
| Case 2 | Dry | Saturated |
| Case 3 | Saturated | Saturated |
| Case 4 | Dry | Dry |
© 2019 by the authors. Licensee MDPI, Basel, Switzerland. This article is an open access article distributed under the terms and conditions of the Creative Commons Attribution (CC BY) license (http://creativecommons.org/licenses/by/4.0/).
Share and Cite
Li, T.; Su, Q.; Kaewunruen, S. Saturated Ground Vibration Analysis Based on a Three-Dimensional Coupled Train-Track-Soil Interaction Model. Appl. Sci. 2019, 9, 4991. https://doi.org/10.3390/app9234991
Li T, Su Q, Kaewunruen S. Saturated Ground Vibration Analysis Based on a Three-Dimensional Coupled Train-Track-Soil Interaction Model. Applied Sciences. 2019; 9(23):4991. https://doi.org/10.3390/app9234991
Chicago/Turabian StyleLi, Ting, Qian Su, and Sakdirat Kaewunruen. 2019. "Saturated Ground Vibration Analysis Based on a Three-Dimensional Coupled Train-Track-Soil Interaction Model" Applied Sciences 9, no. 23: 4991. https://doi.org/10.3390/app9234991
APA StyleLi, T., Su, Q., & Kaewunruen, S. (2019). Saturated Ground Vibration Analysis Based on a Three-Dimensional Coupled Train-Track-Soil Interaction Model. Applied Sciences, 9(23), 4991. https://doi.org/10.3390/app9234991

