Evaluation of Biochar and Compost Mixes as Substitutes to a Commercial Propagation Mix
Abstract
1. Introduction
2. Materials and Methods
2.1. Germination Substrate Selection and Characterization
2.2. Experimental Design and Setup
2.2.1. Experiment 1
2.2.2. Experiment 2
2.2.3. Experiment 3
2.3. Measurements
2.4. Statistical Analysis
3. Results and Discussion
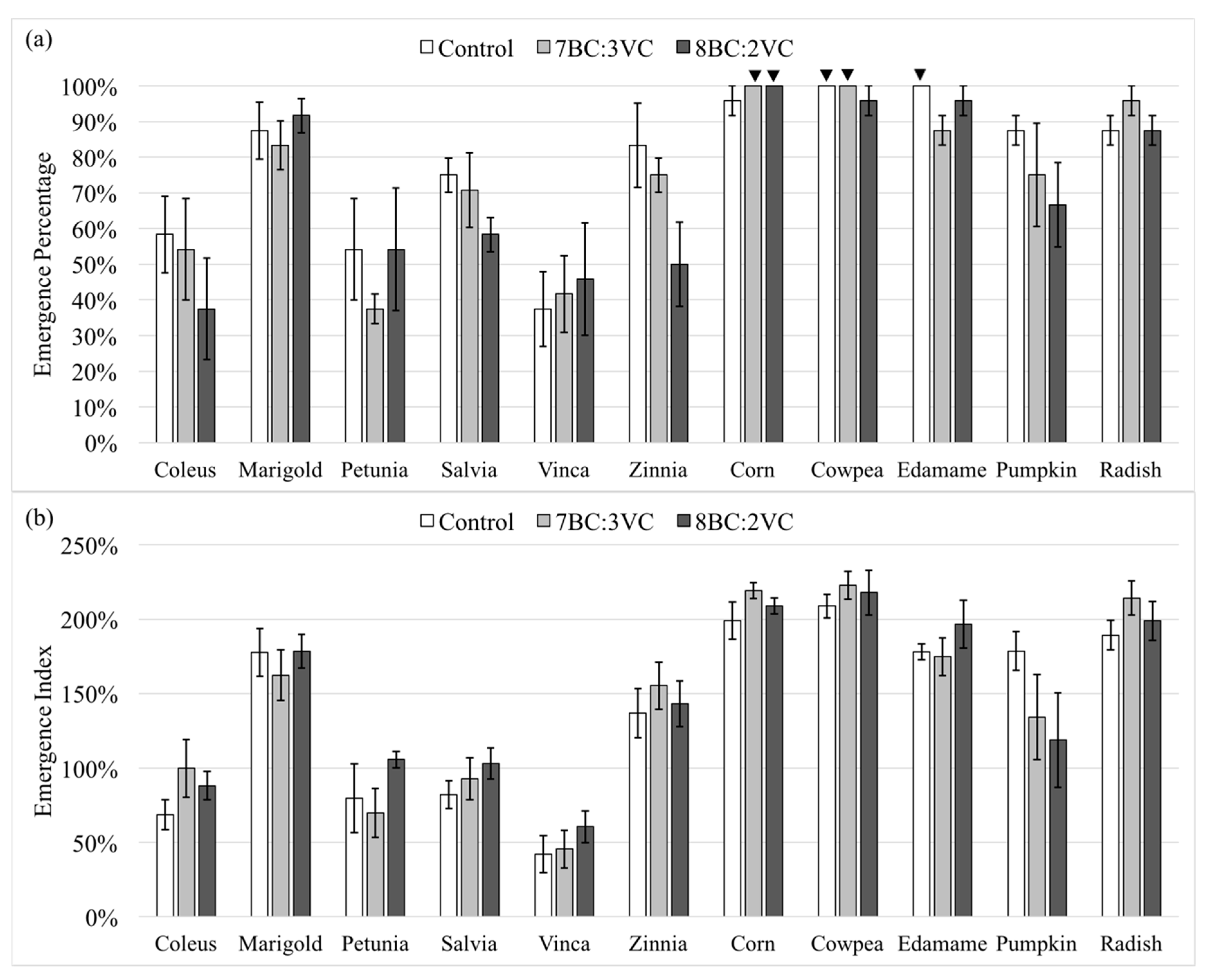
3.1. The Effect of the Biochar and Compost Mix on Seed Germination Stage
3.2. The Effects of the Biochar and Compost Mix on Seedling Growth
4. Conclusions
Author Contributions
Funding
Acknowledgments
Conflicts of Interest
References
- Bewley, J.D.; Bradford, K.; Hilhorst, H. Seeds: Physiology of Development, Germination and Dormancy, 3rd ed.; Springer: New York, NY, USA, 2012; p. 133. [Google Scholar]
- Carlile, B.; Coules, A. Towards sustainability in growing media. Acta Hortic. 2013, 1013, 341–349. [Google Scholar] [CrossRef]
- Leifeld, J.; Menichetti, L. The underappreciated potential of peatlands in global climate change mitigation strategies. Nat. Commun. 2018, 9, 1071. [Google Scholar] [CrossRef] [PubMed]
- Landis, T.D.; Morgan, N. Growing Media Alternatives for Forest and Native Plant Nurseries. In National Proceedings: Forest and Conservation Nursery Associations, Missoula, MT, USA, 23–25 June 2008; Dumroese, R.K., Riley, L.E., Eds.; USDA Forest Service, Rocky Mountain Research Station: Fort Collins, CO, USA, 2009; pp. 26–31. [Google Scholar]
- Jackson, B.E.; Wright, R.D.; Barnes, M.C. Pine tree substrate, nitrogen rate, particle size, and peat amendment affect poinsettia growth and substrate physical properties. HortScience 2008, 43, 2155–2161. [Google Scholar] [CrossRef]
- Lehmann, J. A handful of carbon. Nature 2007, 447, 143–144. [Google Scholar] [CrossRef]
- Liu, R.; Gu, M.; Huang, L.; Yu, F.; Jung, S.K.; Choi, H.S. Effect of pine wood biochar mixed with two types of compost on growth of bell pepper (Capsicum annuum L.). Hortic. Environ. Biotechnol. 2019, 60, 313–319. [Google Scholar] [CrossRef]
- Cho, M.S.; Meng, L.; Song, J.H.; Han, S.H.; Bae, K.; Park, B.B. The effects of biochars on the growth of Zelkova serrata seedlings in a containerized seedling production system. Sci. Technol. 2017, 13, 25–30. [Google Scholar] [CrossRef]
- Uzoma, K.; Inoue, M.; Andry, H.; Fujimaki, H.; Zahoor, A.; Nishihara, E. Effect of cow manure biochar on maize productivity under sandy soil condition. Soil Use Manag. 2011, 27, 205–212. [Google Scholar] [CrossRef]
- Jin, Y.; Liang, X.; He, M.; Liu, Y.; Tian, G.; Shi, J. Manure biochar influence upon soil properties, phosphorus distribution and phosphatase activities: A microcosm incubation study. Chemosphere 2016, 142, 128–135. [Google Scholar] [CrossRef]
- Lei, O.; Zhang, R. Effects of biochars derived from different feedstocks and pyrolysis temperatures on soil physical and hydraulic properties. J. Soils Sediments 2013, 13, 1561–1572. [Google Scholar] [CrossRef]
- Woolf, D.; Amonette, J.E.; Street-Perrott, F.A.; Lehmann, J.; Joseph, S. Sustainable biochar to mitigate global climate change. Nat. Commun. 2010, 1, 56. [Google Scholar] [CrossRef]
- Ippolito, J.A.; Laird, D.A.; Busscher, W.J. Environmental benefits of biochar. J. Environ. Q. 2012, 41, 967–972. [Google Scholar] [CrossRef] [PubMed]
- Guo, Y.; Niu, G.; Starman, T.; Volder, A.; Gu, M. Poinsettia growth and development response to container root substrate with biochar. Horticulturae 2018, 4, 1. [Google Scholar] [CrossRef]
- Guo, Y.; Niu, G.; Starman, T.; Gu, M. Growth and development of Easter lily in response to container substrate with biochar. J. Hortic. Sci. Biotechnol. 2018, 94, 80–86. [Google Scholar] [CrossRef]
- Peng, D.; Gu, M.; Zhao, Y.; Yu, F.; Choi, H.S. Effects of biochar mixes with peat-moss based substrates on growth and development of horticultural crops. Hortic. Science Technol. 2018, 36, 501–512. [Google Scholar]
- Choi, H.S.; Zhao, Y.; Dou, H.; Cai, X.; Gu, M.; Yu, F. Effects of biochar mixtures with pine-bark based substrates on growth and development of horticultural crops. Horti. Environ. Biotechnol. 2018, 59, 345–354. [Google Scholar] [CrossRef]
- Huang, L.; Gu, M. Effects of biochar on container substrate properties and growth of plants—A review. Horticulturae 2019, 5, 14. [Google Scholar] [CrossRef]
- Laird, D.A. The charcoal vision: A win–win–win scenario for simultaneously producing bioenergy, permanently sequestering carbon, while improving soil and water quality. Agron. J. 2008, 100, 178–181. [Google Scholar] [CrossRef]
- Webber, C.L., III; White, P.M., Jr.; Gu, M.; Spaunhorst, D.J.; Lima, I.M.; Petrie, E.C. Sugarcane and pine biochar as amendments for greenhouse growing media for the production of bean (Phaseolus vulgaris L.) seedlings. J. Agric. Sci. 2018, 10, 58–68. [Google Scholar] [CrossRef]
- Hoover, B.K. Herbaceous perennial seed germination and seedling growth in biochar-amended propagation substrates. HortScience 2018, 53, 236–241. [Google Scholar] [CrossRef]
- Prasad, M.; Tzortzakis, N.; McDaniel, N. Chemical characterization of biochar and assessment of the nutrient dynamics by means of preliminary plant growth tests. J. Environ. Manag. 2018, 216, 89–95. [Google Scholar] [CrossRef]
- Margenot, A.J.; Griffin, D.E.; Alves, B.S.; Rippner, D.A.; Li, C.; Parikh, S.J. Substitution of peat moss with softwood biochar for soil-free marigold growth. Ind. Crop. Prod. 2018, 112, 160–169. [Google Scholar] [CrossRef]
- Fan, R.; Luo, J.; Yan, S.; Zhou, Y.; Zhang, Z. Effects of biochar and super absorbent polymer on substrate properties and water spinach growth. Pedosphere 2015, 25, 737–748. [Google Scholar] [CrossRef]
- Gascó, G.; Cely, P.; Paz-Ferreiro, J.; Plaza, C.; Méndez, A. Relation between biochar properties and effects on seed germination and plant development. Biol. Agric. Hortic. 2016, 32, 237–247. [Google Scholar] [CrossRef]
- Huang, L.; Niu, G.; Feagley, S.E.; Gu, M. Evaluation of a hardwood biochar and two composts mixes as replacements for a peat-based commercial substrate. Ind. Crop. Prod. 2019, 129, 549–560. [Google Scholar] [CrossRef]
- Huang, L. Effects of Biochar and Composts on Substrates Properties and Container-Grown Basil (Ocimum basilicum) and Tomato (Solanum lycopersicum). Master’s Thesis, Texas A&M University, College Station, TX, USA, 2018. [Google Scholar]
- Lim, S.L.; Lee, L.H.; Wu, T.Y. Sustainability of using composting and vermicomposting technologies for organic solid waste biotransformation: Recent overview, greenhouse gases emissions and economic analysis. J. Clean. Prod. 2016, 111, 262–278. [Google Scholar] [CrossRef]
- Chan, P.L.; Griffiths, D. The vermicomposting of pre-treated pig manure. Biol. Wastes 1988, 24, 57–69. [Google Scholar] [CrossRef]
- Manna, M.; Jha, S.; Ghosh, P.; Ganguly, T.; Singh, K.; Takkar, P. Capacity of various food materials to support growth and reproduction of epigeic earthworms on vermicompost. J. Sustain. For. 2005, 20, 1–15. [Google Scholar] [CrossRef]
- Atiyeh, R.; Subler, S.; Edwards, C.; Bachman, G.; Metzger, J.; Shuster, W. Effects of vermicomposts and composts on plant growth in horticultural container media and soil. Pedobiologia 2000, 44, 579–590. [Google Scholar] [CrossRef]
- Sinha, R.K.; Agarwal, S.; Chauhan, K.; Valani, D. The wonders of earthworms & its vermicompost in farm production: Charles darwin’s friends of farmers, with potential to replace destructive chemical fertilizers. Agric. Sci. 2010, 1, 76. [Google Scholar]
- Urra, J.; Alkorta, I.; Lanzén, A.; Mijangos, I.; Garbisu, C. The application of fresh and composted horse and chicken manure affects soil quality, microbial composition and antibiotic resistance. Appl. Soil Ecol. 2019, 135, 73–84. [Google Scholar] [CrossRef]
- Chen, J.; Shi, L.; Liu, H.; Yang, J.; Guo, R.; Chen, D.; Jiang, X.; Liu, Y. Screening of fermentation starters for organic fertilizer composted from chicken manure. Asian Agric. Res. 2017, 9, 92–98. [Google Scholar]
- Parkinson, J.; Allen, S. A wet oxidation procedure suitable for the determination of nitrogen and mineral nutrients in biological material. Commun. Soil Sci. Plant. Anal. 1975, 6, 1–11. [Google Scholar] [CrossRef]
- Havlin, J.L.; Soltanpour, P. A nitric acid plant tissue digest method for use with inductively coupled plasma spectrometry. Commun. Soil Sci. Plant. Anal. 1980, 11, 969–980. [Google Scholar] [CrossRef]
- LeBude, A.; Bilderback, T. The Pour-Through Extraction Procedure: A Nutrient Management Tool for Nursery Crops; AG-717-W: 2009; North Carolina Cooperative Extension: Raleigh, NC, USA, 2009. [Google Scholar]
- Fonteno, W.; Hardin, C.; Brewster, J. Procedures for Determining Physical Properties of Horticultural Substrates Using the NCSU Porometer; Horticultural Substrates Laboratory, North Carolina State University: Raleigh, NC, USA, 1995. [Google Scholar]
- Nieto, A.; Gascó, G.; Paz-Ferreiro, J.; Fernández, J.; Plaza, C.; Méndez, A. The effect of pruning waste and biochar addition on brown peat based growing media properties. Sci. Hortic. 2016, 199, 142–148. [Google Scholar] [CrossRef]
- Manz, B.; Müller, K.; Kucera, B.; Volke, F.; Leubner-Metzger, G. Water uptake and distribution in germinating tobacco seeds investigated in vivo by nuclear magnetic resonance imaging. Plant. Physiol. 2005, 138, 1538–1551. [Google Scholar] [CrossRef] [PubMed]
- Sáez, J.; Belda, R.; Bernal, M.; Fornes, F. Biochar improves agro-environmental aspects of pig slurry compost as a substrate for crops with energy and remediation uses. Ind. Crop. Prod. 2016, 94, 97–106. [Google Scholar] [CrossRef]
- Laird, D.; Fleming, P.; Wang, B.; Horton, R.; Karlen, D. Biochar impact on nutrient leaching from a midwestern agricultural soil. Geoderma 2010, 158, 436–442. [Google Scholar] [CrossRef]
- Li, R.; Shi, F.; Fukuda, K. Interactive effects of salt and alkali stresses on seed germination, germination recovery, and seedling growth of a halophyte Spartina alterniflora (Poaceae). S. Afr. J. Bot. 2010, 76, 380–387. [Google Scholar] [CrossRef]
- Webber, C.L., III; White, P.M., Jr.; Spaunhorst, D.J.; Lima, I.M.; Petrie, E.C. Sugarcane biochar as an amendment for greenhouse growing media for the production of cucurbit seedlings. J. Agric. Sci. 2018, 10, 104. [Google Scholar] [CrossRef]






| N | P | K | Ca | Mg | S | Fe | B | Cu | Mn | Na | Zn |
|---|---|---|---|---|---|---|---|---|---|---|---|
| (%) | (mg kg−1) | ||||||||||
| 0.23 | 456 | 6362 | 27,507 | 1299 | 231 | 2039 | 15 | 9 | 905 | 107 | 13 |
© 2019 by the authors. Licensee MDPI, Basel, Switzerland. This article is an open access article distributed under the terms and conditions of the Creative Commons Attribution (CC BY) license (http://creativecommons.org/licenses/by/4.0/).
Share and Cite
Huang, L.; Yu, P.; Gu, M. Evaluation of Biochar and Compost Mixes as Substitutes to a Commercial Propagation Mix. Appl. Sci. 2019, 9, 4394. https://doi.org/10.3390/app9204394
Huang L, Yu P, Gu M. Evaluation of Biochar and Compost Mixes as Substitutes to a Commercial Propagation Mix. Applied Sciences. 2019; 9(20):4394. https://doi.org/10.3390/app9204394
Chicago/Turabian StyleHuang, Lan, Ping Yu, and Mengmeng Gu. 2019. "Evaluation of Biochar and Compost Mixes as Substitutes to a Commercial Propagation Mix" Applied Sciences 9, no. 20: 4394. https://doi.org/10.3390/app9204394
APA StyleHuang, L., Yu, P., & Gu, M. (2019). Evaluation of Biochar and Compost Mixes as Substitutes to a Commercial Propagation Mix. Applied Sciences, 9(20), 4394. https://doi.org/10.3390/app9204394

