Morphology-Controllable Hydrothermal Synthesis of Zirconia with the Assistance of a Rosin-Based Surfactant
Abstract
1. Introduction
2. Experimental Section
2.1. Chemicals
2.2. Methods
2.3. Characterization
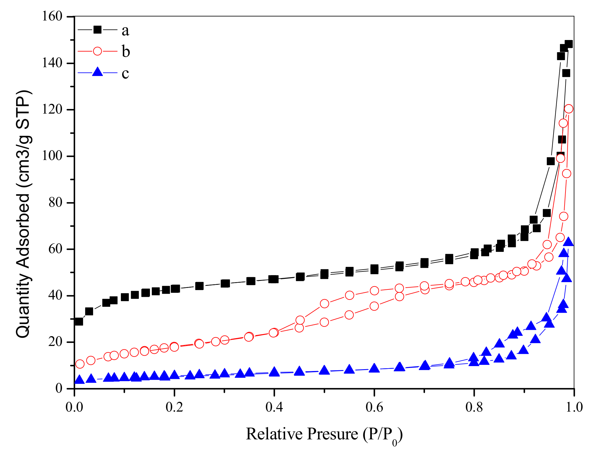
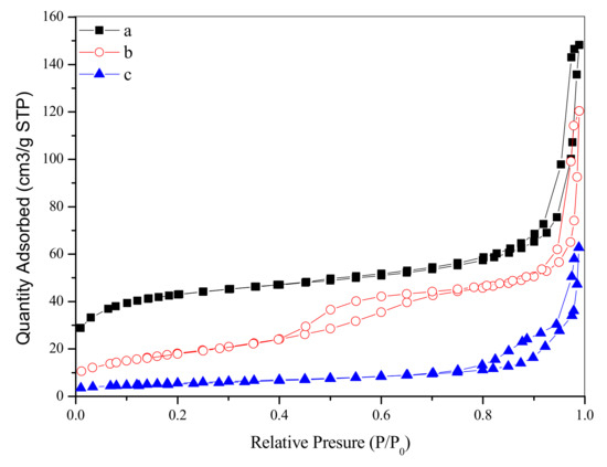
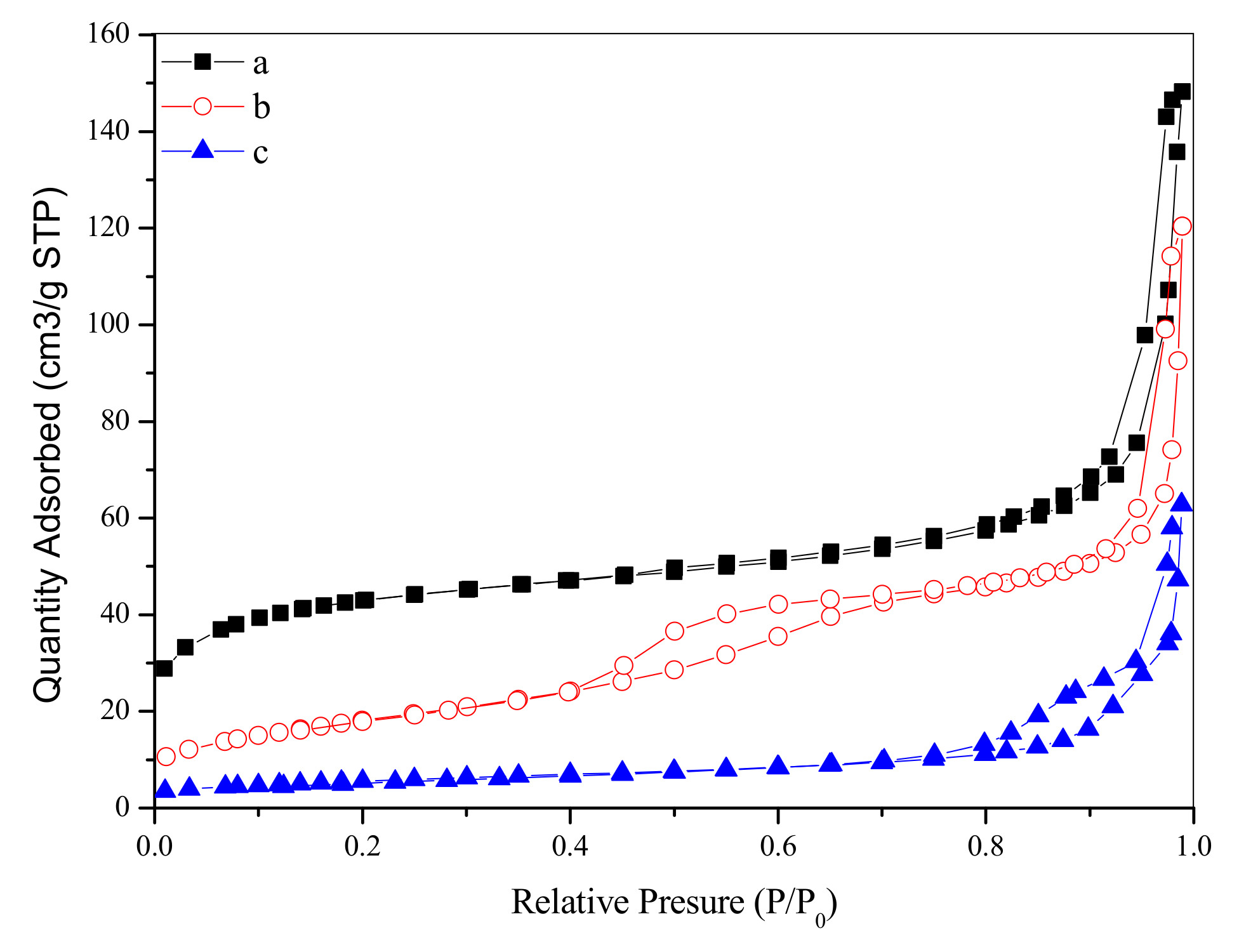
3. Results and Discussion
4. Conclusions
Supplementary Materials
Author Contributions
Funding
Acknowledgments
Conflicts of Interest
References
- Hirvonen, A.; Nowak, R.; Yamamoto, Y.; Sekino, T.; Niihara, K. Fabrication, structure, mechanical and thermal properties of zirconia-based ceramic nanocomposites. J. Eur. Ceram. Soc. 2006, 26, 1497–1505. [Google Scholar] [CrossRef]
- Qin, W.; Nam, C.; Li, H.; Szpunar, J. Tetragonal phase stability in ZrO2 film formed on zirconium alloys and its effects on corrosion resistance. Acta Mater. 2007, 55, 1695–1701. [Google Scholar] [CrossRef]
- Yamaguchi, T. Application of ZrO2 as a catalyst and a catalyst support. Catal. Today 1994, 20, 199–217. [Google Scholar] [CrossRef]
- Morterra, C.; Cerrato, G.; Pinna, F.; Signoretto, M. Crystal phase, spectral features, and catalytic activity of sulfate-doped zirconia systems. J. Catal. 1995, 157, 109–123. [Google Scholar] [CrossRef]
- Blin, J.-L.; Flamant, R.; Su, B.-L. Synthesis of nanostructured mesoporous zirconia using CTMABr–ZrOCl2· 8H2O systems: A kinetic study of synthesis mechanism. Int. J. Inorg. Mater. 2001, 3, 959–972. [Google Scholar] [CrossRef]
- Jung, K.T.; Bell, A.T. The effects of synthesis and pretreatment conditions on the bulk structure and surface properties of zirconia. J. Mol. Catal. A Chem. 2000, 163, 27–42. [Google Scholar] [CrossRef]
- Shu, Z.; Jiao, X.; Chen, D. Synthesis and photocatalytic properties of flower-like zirconia nanostructures. CrystEngComm 2012, 14, 1122–1127. [Google Scholar] [CrossRef]
- Gole, J.L.; Prokes, S.M.; Stout, J.D.; Glembocki, O.J.; Yang, R. Unique properties of selectively formed zirconia nanostructures. Adv. Mater. 2006, 18, 664–667. [Google Scholar] [CrossRef]
- Liu, S.; Wang, H.; Wei, Y.; Zhang, R.; Royer, S. Morphology oriented ZrO2 supported vanadium oxide for NH3-SCR process: Importance of structural and textural properties. ACS Appl. Mater. Interfaces 2019. [Google Scholar] [CrossRef]
- Liang, J.; Deng, Z.; Jiang, X.; Li, F.; Li, Y. Photoluminescence of tetragonal ZrO2 nanoparticles synthesized by microwave irradiation. Inorg. Chem. 2002, 41, 3602–3604. [Google Scholar] [CrossRef]
- Kim, J.; Lin, Y. Sol-gel synthesis and characterization of yttria stabilized zirconia membranes. J. Membr. Sci. 1998, 139, 75–83. [Google Scholar] [CrossRef]
- Zhang, S.C.; Messing, G.L.; Borden, M. Synthesis of solid, spherical zirconia particles by spray pyrolysis. J. Am. Ceram. Soc. 1990, 73, 61–67. [Google Scholar] [CrossRef]
- Azad, A.-M. Fabrication of yttria-stabilized zirconia nanofibers by electrospinning. Mater. Lett. 2006, 60, 67–72. [Google Scholar] [CrossRef]
- Venkataraj, S.; Kappertz, O.; Weis, H.; Drese, R.; Jayavel, R.; Wuttig, M. Structural and optical properties of thin zirconium oxide films prepared by reactive direct current magnetron sputtering. J. Appl. Phys. 2002, 92, 3599–3607. [Google Scholar] [CrossRef]
- Nishizawa, H.; Yamasaki, N.; Matsuoka, K.; Mitsushio, H. Crystallization and transformation of zirconia under hydrothermal conditions. J. Am. Ceram. Soc. 1982, 65, 343–346. [Google Scholar] [CrossRef]
- Kumari, L.; Li, W.; Xu, J.; Leblanc, R.; Wang, D.; Li, Y.; Guo, H.; Zhang, J. Controlled hydrothermal synthesis of zirconium oxide nanostructures and their optical properties. Cryst. Growth Des. 2009, 9, 3874–3880. [Google Scholar] [CrossRef]
- Noh, H.-J.; Seo, D.-S.; Kim, H.; Lee, J.-K. Synthesis and crystallization of anisotropic shaped ZrO2 nanocrystalline powders by hydrothermal process. Mater. Lett. 2003, 57, 2425–2431. [Google Scholar] [CrossRef]
- Shu, Z.; Jiao, X.; Chen, D. Hydrothermal synthesis and selective photocatalytic properties of tetragonal star-like ZrO2 nanostructures. CrystEngComm 2013, 15, 4288–4294. [Google Scholar] [CrossRef]
- Wang, P.; Chen, S.-X.; Zhao, Z.-D.; Wang, Z.; Fan, G. Synthesis of ordered porous SiO2 with pores on the border between the micropore and mesopore regions using rosin-based quaternary ammonium salt. RSC Adv. 2015, 5, 11223–11228. [Google Scholar] [CrossRef]
- Patterson, A. The Scherrer formula for X-ray particle size determination. Phys. Rev. 1939, 56, 978. [Google Scholar] [CrossRef]
- Thommes, M.; Kaneko, K.; Neimark, A.V.; Olivier, J.P.; Rodriguez-Reinoso, F.; Rouquerol, J.; Sing, K.S. Physisorption of gases, with special reference to the evaluation of surface area and pore size distribution (IUPAC Technical Report). Pure Appl. Chem. 2015, 87, 1051–1069. [Google Scholar] [CrossRef]






| Sample | Surface Area (m2/g) | Pore Volume (cm3/g) | Average Pore Size (nm) |
|---|---|---|---|
| a | 146.78 | 0.23 | 6.24 |
| b | 66.72 | 0.19 | 8.89 |
| c | 20.03 | 0.10 | 18.53 |
© 2019 by the authors. Licensee MDPI, Basel, Switzerland. This article is an open access article distributed under the terms and conditions of the Creative Commons Attribution (CC BY) license (http://creativecommons.org/licenses/by/4.0/).
Share and Cite
Guo, C.; Wang, P.; Liao, S.; Si, H.; Chen, S.; Fan, G.; Wang, Z. Morphology-Controllable Hydrothermal Synthesis of Zirconia with the Assistance of a Rosin-Based Surfactant. Appl. Sci. 2019, 9, 4145. https://doi.org/10.3390/app9194145
Guo C, Wang P, Liao S, Si H, Chen S, Fan G, Wang Z. Morphology-Controllable Hydrothermal Synthesis of Zirconia with the Assistance of a Rosin-Based Surfactant. Applied Sciences. 2019; 9(19):4145. https://doi.org/10.3390/app9194145
Chicago/Turabian StyleGuo, Chen, Peng Wang, Shengliang Liao, Hongyan Si, Shangxing Chen, Guorong Fan, and Zongde Wang. 2019. "Morphology-Controllable Hydrothermal Synthesis of Zirconia with the Assistance of a Rosin-Based Surfactant" Applied Sciences 9, no. 19: 4145. https://doi.org/10.3390/app9194145
APA StyleGuo, C., Wang, P., Liao, S., Si, H., Chen, S., Fan, G., & Wang, Z. (2019). Morphology-Controllable Hydrothermal Synthesis of Zirconia with the Assistance of a Rosin-Based Surfactant. Applied Sciences, 9(19), 4145. https://doi.org/10.3390/app9194145

