Study into the Improvement of Dynamic Stress Characteristics and Prototype Test of an Impeller Blade of an Axial-Flow Pump Based on Bidirectional Fluid–Structure Interaction
Abstract
Featured Application
Abstract
1. Introduction
2. Theory of Computing Methods
2.1. Computing Method of Flow Fields
2.2. Computing Method of Structure Fields
2.3. Theory of Stress Measurement
2.4. Patterns of Data Transmission
3. Flow Field Calculation
3.1. Calculation of Models and Operating Points
3.2. Grid Partition and Sensitivity Analysis
3.3. Equation Discretization and Boundary Conditions
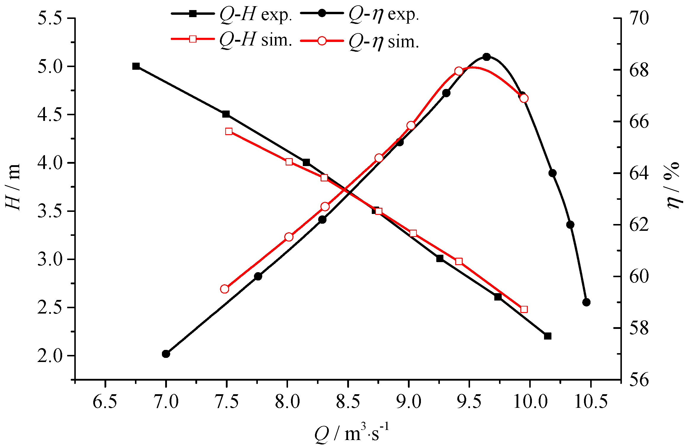
3.4. Comparison of Flow Fields
4. Calculation of Structure Stress Fields
4.1. Structure Models and Boundary Conditions
4.2. Computing Results and Analysis
5. Stress State Improvement and Analysis
5.1. Improvement of Structural Models
5.2. Analysis of Calculation Results
6. Design of Experimental Scheme and Result Analysis
6.1. Key Technological Solutions in the Stress Test of Impeller Blades
6.2. Experimental Comparison
6.3. Result and Error Analysis
7. Conclusions
Author Contributions
Funding
Conflicts of Interest
Nomenclature
| A | Cross-sectional area of metal wire | m2 |
| C | Matrix of structural damping | kg·s |
| fi | Mass force | N |
| H | Head | m |
| K0 | Sensitivity coefficient of a wire | − |
| K | Matrix of structural rigidity | kg·s2 |
| L | Length of a metal wire | m |
| M | Matrix of structure mass | kg |
| p | Pressure | Pa |
| Q | Flow rate | m3/s |
| Q(t) | Fluid load vector | N |
| Node acceleration vector | m/s2 | |
| Node velocity vector | m/s | |
| Node displacement vector | m | |
| R | Resistance of metal wire | Ω |
| u | Fluid velocity vector | m/s |
| V | Volume of a wire | m3 |
| xi, xj | Position vectors | m |
| σ1, σ2, σ3 | Three principal stresses | N/m2 |
| λ | Electrical resistivity | Ω·m |
| Strain | − | |
| τ | Poisson’s ratio of a wire | − |
| ρ | Fluid density | kg/m3 |
| μ | Dynamic viscosity | N·s/m2 |
| η | Efficiency of pump | % |
Abbreviations
| 3-D | Three-dimensional |
| CEL | CFX expression language |
| CFD | Computational fluid dynamics |
| FSI | Fluid structure interaction |
| FVM | Finite volume method |
| IBM | Immersed boundary method |
| MFS | Multi-field solver |
| SST | Shear-stress transport |
References
- Schneider, A.; Will, B.-C.; Bohle, M. Numerical evaluation of deformation and stress in impellers of multistage pumps by means of fluid structure interaction. In Proceedings of the ASME 2013 Fluids Engineering Division Summer Meeting, (FEDSM 2013), Incline Village, NV, USA, 7–11 July 2013. [Google Scholar]
- Trivedi, C. A review on fluid structure interaction in hydraulic turbines: A focus on hydrodynamic damping. Eng. Fail. Anal. 2017, 77, 1–22. [Google Scholar] [CrossRef]
- Kan, K.; Zheng, Y.; Zhang, X.; Yang, C.; Zhang, Y. Numerical study on unidirectional fluid-solid coupling of Francis turbine runner. Adv. Mech. Eng. 2015, 7. [Google Scholar] [CrossRef]
- Pei, J.; Yuan, S.; Yuan, J. Dynamic stress analysis of sewage centrifugal pump impeller based on two-way coupling method. Chin. J. Mech. Eng. 2014, 27, 369–375. [Google Scholar] [CrossRef]
- Campbell, R.; Paterson, E. Fluid–structure interaction analysis of flexible turbomachinery. J. Fluids Struct. 2011, 27, 1376–1391. [Google Scholar] [CrossRef]
- Langthjem, M.A.; Olhoff, N. A numerical study of flow-induced noise in a two-dimensional centrifugal pump. Part I. Hydrodynamics. J. Fluids Struct. 2004, 19, 349–368. [Google Scholar] [CrossRef]
- Angelidis, D.; Chawdhary, S.; Sotiropoulos, F. Unstructured Cartesian refinement with sharp interface immersed boundary method for 3D unsteady incompressible flows. J. Comput. Phys. 2016, 325, 272–300. [Google Scholar] [CrossRef]
- Yang, X.; Sotiropoulos, F.; Conzemius, R.J.; Wachtler, J.N.; Strong, M.B. Large-eddy simulation of turbulent flow past wind turbines/farms: The Virtual Wind Simulator (VWiS). Wind Energy 2015, 18, 2025–2045. [Google Scholar] [CrossRef]
- Posa, A.; Lippolis, A.; Verzicco, R.; Balaras, E. Large-eddy simulations in mixed-flow pumps using an immersed-boundary method. Comput. Fluids 2011, 47, 33–43. [Google Scholar] [CrossRef]
- Favier, J.; Revell, A.; Pinelli, A. A Lattice Boltzmann–Immersed Boundary method to simulate the fluid interaction with moving and slender flexible objects. J. Comput. Phys. 2014, 261, 145–161. [Google Scholar] [CrossRef]
- Sotiropoulos, F.; Yang, X. Immersed boundary methods for simulating fluid-structure interaction. Prog. Aerosp. Sci. 2014, 65, 1–21. [Google Scholar] [CrossRef]
- Allison, T.C.; Lerche, A.H.; Moore, J.J. Experimental validation of empirical methods for dynamic stress prediction in turbomachinery blades. In Proceedings of the ASME 2011 Turbo Expo: Turbine Technical Conference and Exposition, (GT2011), Vancouver, BC, Canada, 6–10 June 2011; pp. 121–131. [Google Scholar]
- Pei, J.; Yuan, S.; Yuan, J. Fluid-structure coupling effects on periodically transient flow of a single-blade sewage centrifugal pump. J. Mech. Sci. Technol. 2013, 27, 2015–2023. [Google Scholar] [CrossRef]
- Benra, F.-K.; Dohmen, H.J.; Pei, J.; Schuster, S.; Wan, B. A Comparison of One-Way and Two-Way Coupling Methods for Numerical Analysis of Fluid-Structure Interactions. J. Appl. Math. 2011, 2011, 853560. [Google Scholar] [CrossRef]
- Tang, X.; Wang, X.; Jia, Y. Strength analysis of bulb tubular pump impeller based on fluid-structure interaction. J. Drain. Irrig. Mach. Eng. 2014, 32, 921–926. [Google Scholar]
- Lerche, A.H.; Moore, J.J.; White, N.M.; Hardin, J. Dynamic Stress Prediction in Centrifugal Compressor Blades Using Fluid Structure Interaction. In Proceedings of the ASME Turbo Expo 2012: Turbine Technical Conference and Exposition, Copenhagen, Denmark, 11–15 June 2012; pp. 191–200. [Google Scholar]
- Li, W.; Ji, L.; Shi, W.; Zhou, L.; Jiang, X.; Zhang, Y. Vibration characteristics of the impeller at multi-conditions in mixed-flow pump under the action of fluid-structure interaction. J. Vibroeng. 2016, 18, 3213–3224. [Google Scholar] [CrossRef]
- Hirsch, C. Numerical Computation of Internal and External Flows: The Fundamentals of Computational Fluid Dynamics; Elsevier: Amsterdam, The Netherlands, 2007. [Google Scholar]
- Shi, L.; Tang, F.; Xie, R.; Zhang, W. Numerical and experimental investigation of tank-type axial-flow pump device. Adv. Mech. Eng. 2017, 9. [Google Scholar] [CrossRef]
- Prasad, V. Numerical simulation for flow characteristics of axial flow hydraulic turbine runner. In Proceedings of the 2011 2nd International Conference on Advances in Energy Engineering, (ICAEE 2011), Bangkok, Thailand, 27–28 December 2011; pp. 2060–2065. [Google Scholar]
- Alaimo, A.; Esposito, A.; Messineo, A.; Orlando, C.; Tumino, D. 3D CFD Analysis of a Vertical Axis Wind Turbine. Energies 2015, 8, 3013–3033. [Google Scholar] [CrossRef]
- Zhou, D.; Chen, H.; Yang, C. A highly efficient Francis turbine designed for energy recovery in cooling towers. Adv. Mech. Eng. 2015, 7. [Google Scholar] [CrossRef]
- Read, M.; Stosic, N.; Smith, I. Three-dimensional CFD Simulation of a Roots Blower for the Hydrogen Circulating Pump. In Proceedings of the International Compressor Engineering Conference 2018, West Lafayette, IN, USA, 9–12 July 2018. [Google Scholar]
- Li, W.; Agarwal, R.K.; Ji, L.; Li, E.; Zhou, L. Numerical Simulation of Incipient Rotating Stall Characteristics in a Mixed-Flow Pump. In Proceedings of the AIAA Scitech 2019 Forum, San Diego, CA, USA, 7–11 January 2019; p. 2314. [Google Scholar]
- Pei, J.; Dohmen, H.; Yuan, S.; Benra, F.-K. Investigation of unsteady flow-induced impeller oscillations of a single-blade pump under off-design conditions. J. Fluids Struct. 2012, 35, 89–104. [Google Scholar] [CrossRef]
- Lomakin, V.O.; Banin, E.; Kuleshova, M.S.; Gouskov, A. Assessment of Hemolysis in a Ventricular Assist Axial Flow Blood Pump. Biomed. Eng. 2016, 50, 233–236. [Google Scholar]
- Zhai, L.; Luo, Y.; Wang, Z.; Liu, X. 3D Two-way Coupled TEHD Analysis on the Lubricating Characteristics of Thrust Bearings in Pump-turbine Units by Combining CFD and FEA. Chin. J. Mech. Eng. 2016, 29, 112–123. [Google Scholar] [CrossRef]
- Yousefi, H.; Noorollahi, Y.; Tahani, M.; Fahimi, R.; Saremian, S. Numerical simulation for obtaining optimal impeller’s blade parameters of a centrifugal pump for high-viscosity fluid pumping. Sustain. Energy Technol. Assess. 2019, 34, 16–26. [Google Scholar] [CrossRef]
- Peng, G.; Wang, Z.; Yan, Z.; Liu, R. Strength analysis of a large centrifugal dredge pump case. Eng. Fail. Anal. 2009, 16, 321–328. [Google Scholar]
- Saeed, R.; Galybin, A. Simplified model of the turbine runner blade. Eng. Fail. Anal. 2009, 16, 2473–2484. [Google Scholar] [CrossRef]
- Yang, J.; Preidikman, S.; Balaras, E. A strongly coupled, embedded-boundary method for fluid–structure interactions of elastically mounted rigid bodies. J. Fluids Struct. 2008, 24, 167–182. [Google Scholar] [CrossRef]
- Koloor, S.R.; Khosravani, M.R.; Hamzah, R.; Tamin, M. FE model-based construction and progressive damage processes of FRP composite laminates with different manufacturing processes. Int. J. Mech. Sci. 2018, 141, 223–235. [Google Scholar] [CrossRef]
- Kan, K.; Zheng, Y.; Fu, S.; Liu, H.; Yang, C.; Zhang, X. Dynamic stress of impeller blade of shaft extension tubular pump device based on bidirectional fluid-structure interaction. J. Mech. Sci. Technol. 2017, 31, 1561–1568. [Google Scholar] [CrossRef]
















| Parameters | Value |
|---|---|
| Diameter of impeller/m | 1.7 |
| Number of impeller blades/- | 4 |
| Number of inlet guide vanes/- | 5 |
| Number of outlet guide vanes/- | 7 |
| Blade rated angle/° | −6~4 |
| Design head/m | 2.5 |
| Design speed/r/min | 250 |
| Design discharge/m3/s | 10 |
| Numerical Simulation | Experimental Value | |||
|---|---|---|---|---|
| Maximum/MPa | Minimum/MPa | Maximum/MPa | Minimum/MPa | |
| Point 1 | 151.0 | 119.4 | 123.9 | 94.6 |
| Point 2 | 31.9 | 25.5 | 27.5 | 21.6 |
| Point 3 | 14.4 | 10.4 | 11.8 | 7.9 |
© 2019 by the authors. Licensee MDPI, Basel, Switzerland. This article is an open access article distributed under the terms and conditions of the Creative Commons Attribution (CC BY) license (http://creativecommons.org/licenses/by/4.0/).
Share and Cite
Kan, K.; Zheng, Y.; Chen, H.; Cheng, J.; Gao, J.; Yang, C. Study into the Improvement of Dynamic Stress Characteristics and Prototype Test of an Impeller Blade of an Axial-Flow Pump Based on Bidirectional Fluid–Structure Interaction. Appl. Sci. 2019, 9, 3601. https://doi.org/10.3390/app9173601
Kan K, Zheng Y, Chen H, Cheng J, Gao J, Yang C. Study into the Improvement of Dynamic Stress Characteristics and Prototype Test of an Impeller Blade of an Axial-Flow Pump Based on Bidirectional Fluid–Structure Interaction. Applied Sciences. 2019; 9(17):3601. https://doi.org/10.3390/app9173601
Chicago/Turabian StyleKan, Kan, Yuan Zheng, Huixiang Chen, Jianping Cheng, Jinjin Gao, and Chunxia Yang. 2019. "Study into the Improvement of Dynamic Stress Characteristics and Prototype Test of an Impeller Blade of an Axial-Flow Pump Based on Bidirectional Fluid–Structure Interaction" Applied Sciences 9, no. 17: 3601. https://doi.org/10.3390/app9173601
APA StyleKan, K., Zheng, Y., Chen, H., Cheng, J., Gao, J., & Yang, C. (2019). Study into the Improvement of Dynamic Stress Characteristics and Prototype Test of an Impeller Blade of an Axial-Flow Pump Based on Bidirectional Fluid–Structure Interaction. Applied Sciences, 9(17), 3601. https://doi.org/10.3390/app9173601

