Fabric Defect Detection Using L0 Gradient Minimization and Fuzzy C-Means
Abstract
:1. Introduction
2. Related Works
3. Methods
3.1. Texture Removal by the L0 Gradient Minimization (LGM)
3.2. Fuzzy C-Means Clustering Algorithm (FCM)
4. Experimental Results and Discussion
4.1. Parameter Setting
4.2. Experimental Results
4.3. Qualitative Comparison
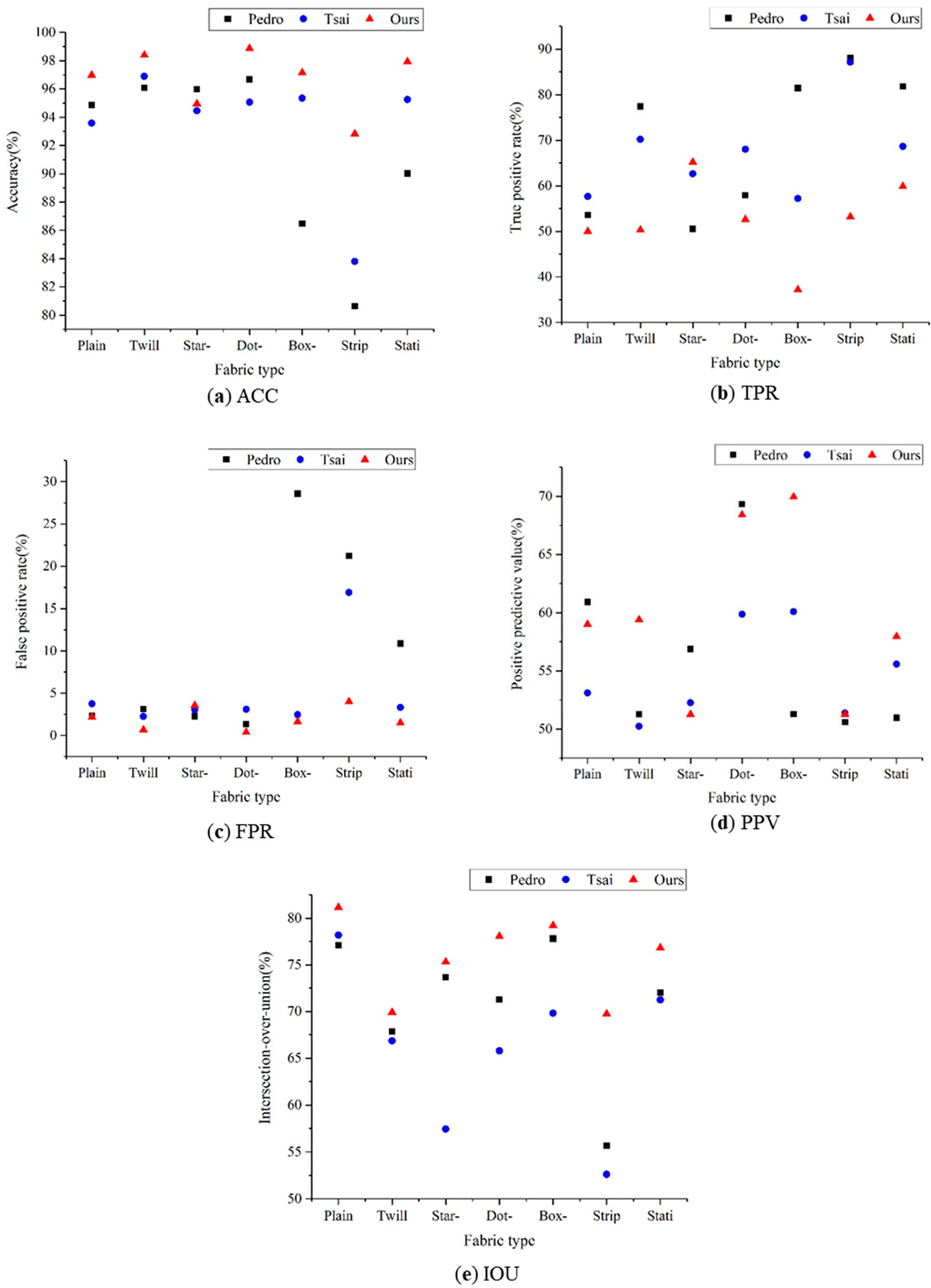
4.4. Quantitative Comparison
5. Conclusions
Author Contributions
Funding
Conflicts of Interest
References
- Wang, M.J.J.; Huang, C.L. Evaluating the eye fatigue problem in wafer inspection. IEEE Trans. Semicond. Manuf. 2004, 17, 444–447. [Google Scholar] [CrossRef]
- Ngan, H.Y.T.; Pang, G.K.H.; Yung, N.H.C. Automated fabric defect detection-A review. Image Vis. Comput. 2011, 29, 442–458. [Google Scholar] [CrossRef]
- Susan, S.; Sharma, M. Automatic texture defect detection using Gaussian mixture entropy modeling. Neurocomputing 2017, 239, 232–237. [Google Scholar] [CrossRef]
- Chen, L.C.; Papandreou, G.; Kokkinos, I.; Murphy, K.; Yuille, A.L. DeepLab: Semantic image segmentation with deep convolutional nets, atrous convolution, and fully connected crfs. IEEE Trans. Pattern Anal. Mach. Intell. 2018, 40, 834–848. [Google Scholar] [CrossRef] [PubMed]
- Navarro, P.J.; Fernández-Isla, C.; Alcover, P.M.; Suardíaz, J. Defect detection in textures through the use of entropy as a means for automatically selecting the wavelet decomposition level. Sensors 2016, 16, 1178. [Google Scholar] [CrossRef] [PubMed]
- Tsai, D.M.; Chiang, C.H. Automatic band selection for wavelet reconstruction in the application of defect detection. Image Vis. Comput. 2003, 21, 413–431. [Google Scholar] [CrossRef]
- Ngan, H.Y.T.; Pang, G.K.H. Novel method for patterned fabric inspection using Bollinger bands. Opt. Eng. 2016, 45, 087202. [Google Scholar]
- Ng, M.K.; Ngan, H.Y.T.; Yuan, X.; Zhang, W. Patterned fabric inspection and visualization by the method of image decomposition. IEEE Trans. Autom. Sci. Eng. 2014, 11, 943–947. [Google Scholar] [CrossRef]
- Danesh, M.; Khalili, K. Determination of tool wear in turning process using undecimated wavelet transform and textural features. Procedia Technol. 2015, 19, 98–105. [Google Scholar] [CrossRef]
- Li, P.F.; Zhang, H.H.; Jing, J.F.; Li, R.Z.; Zhao, J. Fabric defect detection based on multi-scale wavelet transform and Gaussian mixture model. J. Text. Inst. 2014, 106, 1–6. [Google Scholar] [CrossRef]
- Qian, W. Research on Fabric Defect Detection Based on Neural Network. Master’s Thesis, Donghua University, Shanghai, China, 2018. [Google Scholar]
- Li, Y.; Zhao, W.; Pan, J. Deformable patterned fabric defect detection with fisher criterion-based deep learning. IEEE Trans. Autom. Sci. Eng. 2017, 14, 1256–1264. [Google Scholar] [CrossRef]
- Huang, X.; Chen, L.; Tian, J.; Zhang, X. Blind image noise level estimation using texture-based eigenvalue analysis. Multimed. Tools Appl. 2016, 75, 2713–2724. [Google Scholar] [CrossRef]
- Dutta, S.; Pal, S.K.; Sen, R. On-machine tool prediction of flank wear from machined surface images using texture analyses and support vector regression. Precis. Eng. 2015, 43, 34–42. [Google Scholar] [CrossRef]
- Hoseini, E.; Farhadi, F.; Tajeripour, F. Fabric defect detection using auto-correlation function. Int. J. Comput. Theory Eng. 2013, 5, 114–117. [Google Scholar] [CrossRef]
- Zhang, E.H.; Zhang, Y.; Duan, J.H. Color inverse half- toning method with the correlation of multi-color components based on extreme learning machine. Appl. Sci. 2019, 9, 841. [Google Scholar] [CrossRef]
- Singh, S.; Kaur, M. Machine vision system for automated visual inspection of tile’s surface quality. IOSR J. Eng. 2012, 2, 429–432. [Google Scholar] [CrossRef]
- Chetverikov, D. Pattern regularity as a visual key. Image Vis. Comput. 2000, 18, 975–985. [Google Scholar] [CrossRef]
- Narendra, V.G.; Hareesh, K.S. Study and comparison of various image edge detection techniques used in quality inspection and evaluation of agricultural and food products by computer vision. Int. J. Agric. Biol. Eng. 2011, 4, 83–90. [Google Scholar]
- Yang, X.Z.; Pang, G.K.H.; Yung, N.H.C. Discriminative fabric defect detection using directional wavelets. Opt. Eng. 2002, 41, 3116–3126. [Google Scholar] [CrossRef]
- Kuo, C.J.; Su, T.L. Gray relational analysis for recognizing fabric defects. Text. Res. J. 2003, 73, 461–465. [Google Scholar] [CrossRef]
- Kuo, C.F.J.; Lee, C. A back-propagation neural network for recognizing fabric defects. Text. Res. J. 2003, 73, 147–151. [Google Scholar] [CrossRef]
- Li, M.; Cui, S.; Xie, Z. Application of Gaussian mixture model on defect detection of print fabric. J. Text. Res. 2015, 36, 94–98. [Google Scholar]
- Bodnarova, A.; Bennamoun, M.; Kubik, K.K. Defect detection in textile materials based on aspects of the HVS. In Proceedings of the 1998 IEEE International Conference on Systems, Man, and Cybernetics (Cat. No.98CH36218), San Diego, CA, USA, 14 October 1998. [Google Scholar]
- Ngan, H.Y.H.; Pang, G.K.H. Regularity analysis for patterned texture inspection. IEEE Trans. Autom. Sci. Eng. 2009, 6, 131–144. [Google Scholar] [CrossRef]
- Kang, X.J.; Zhang, E.H. A universal defect detection approach for various types of fabrics based on the Elo-rating algorithm of the integral image. Text. Res. J. 2019. [Google Scholar] [CrossRef]
- Xu, L.; Lu, C.; Xu, Y.; Jia, J. Image smoothing via L0 gradient minimization. ACM Trans. Graph. 2011, 30, 1–12. [Google Scholar]
- Yang, M.S.; Nataliani, Y. Robust-learning fuzzy c-means clustering algorithm with unknown number of clusters. Pattern Recognit. 2017, 71, 45–59. [Google Scholar] [CrossRef]
- Ding, Y.; Fu, X. Kernel-Based fuzzy c-means clustering algorithm based on genetic algorithm. Neurocomputing 2015, 188, 233–238. [Google Scholar] [CrossRef]


















| Condition | Ours | Pedro [5] | Tsai [6] | ||||
|---|---|---|---|---|---|---|---|
| ACC | IOU | ACC | IOU | ACC | IOU | ||
| Normal | 0.9673 | 0.7575 | 0.9153 | 0.7707 | 0.9349 | 0.6599 | |
| SNR | 20 dB | 0.9489 | 0.6512 | 0.8346 | 0.7015 | 0.8773 | 0.5973 |
| 15 dB | 0.8976 | 0.6217 | 0.7793 | 0.6584 | 0.8315 | 0.5517 | |
| 10 dB | 0.8532 | 0.5576 | 0.7544 | 0.5542 | 0.7966 | 0.5044 | |
| Luminous intensity | +20% | 0.9245 | 0.6851 | 0.8972 | 0.6645 | 0.8645 | 0.5754 |
| −20% | 0.9097 | 0.6544 | 0.8733 | 0.6497 | 0.8142 | 0.5945 | |
| Blur | Radius = 20 | 0.9456 | 0.6956 | 0.8546 | 0.6701 | 0.8599 | 0.5482 |
© 2019 by the authors. Licensee MDPI, Basel, Switzerland. This article is an open access article distributed under the terms and conditions of the Creative Commons Attribution (CC BY) license (http://creativecommons.org/licenses/by/4.0/).
Share and Cite
Zhang, H.; Ma, J.; Jing, J.; Li, P. Fabric Defect Detection Using L0 Gradient Minimization and Fuzzy C-Means. Appl. Sci. 2019, 9, 3506. https://doi.org/10.3390/app9173506
Zhang H, Ma J, Jing J, Li P. Fabric Defect Detection Using L0 Gradient Minimization and Fuzzy C-Means. Applied Sciences. 2019; 9(17):3506. https://doi.org/10.3390/app9173506
Chicago/Turabian StyleZhang, Huanhuan, Jinxiu Ma, Junfeng Jing, and Pengfei Li. 2019. "Fabric Defect Detection Using L0 Gradient Minimization and Fuzzy C-Means" Applied Sciences 9, no. 17: 3506. https://doi.org/10.3390/app9173506
APA StyleZhang, H., Ma, J., Jing, J., & Li, P. (2019). Fabric Defect Detection Using L0 Gradient Minimization and Fuzzy C-Means. Applied Sciences, 9(17), 3506. https://doi.org/10.3390/app9173506

