Dimensional Stability of SBR-Modified Cementitious Mixtures for Use in 3D Additive Construction
Abstract
1. Introduction
2. Research Objectives
3. Materials and Specimen Preparation
3.1. Materials
3.2. Mixture Proportions
3.3. Specimen Production
4. Testing Method
4.1. Modulus of Elasticity
4.2. Drying Shrinkage
4.3. Coefficent of Thermal Expansion
5. Results and Discussion
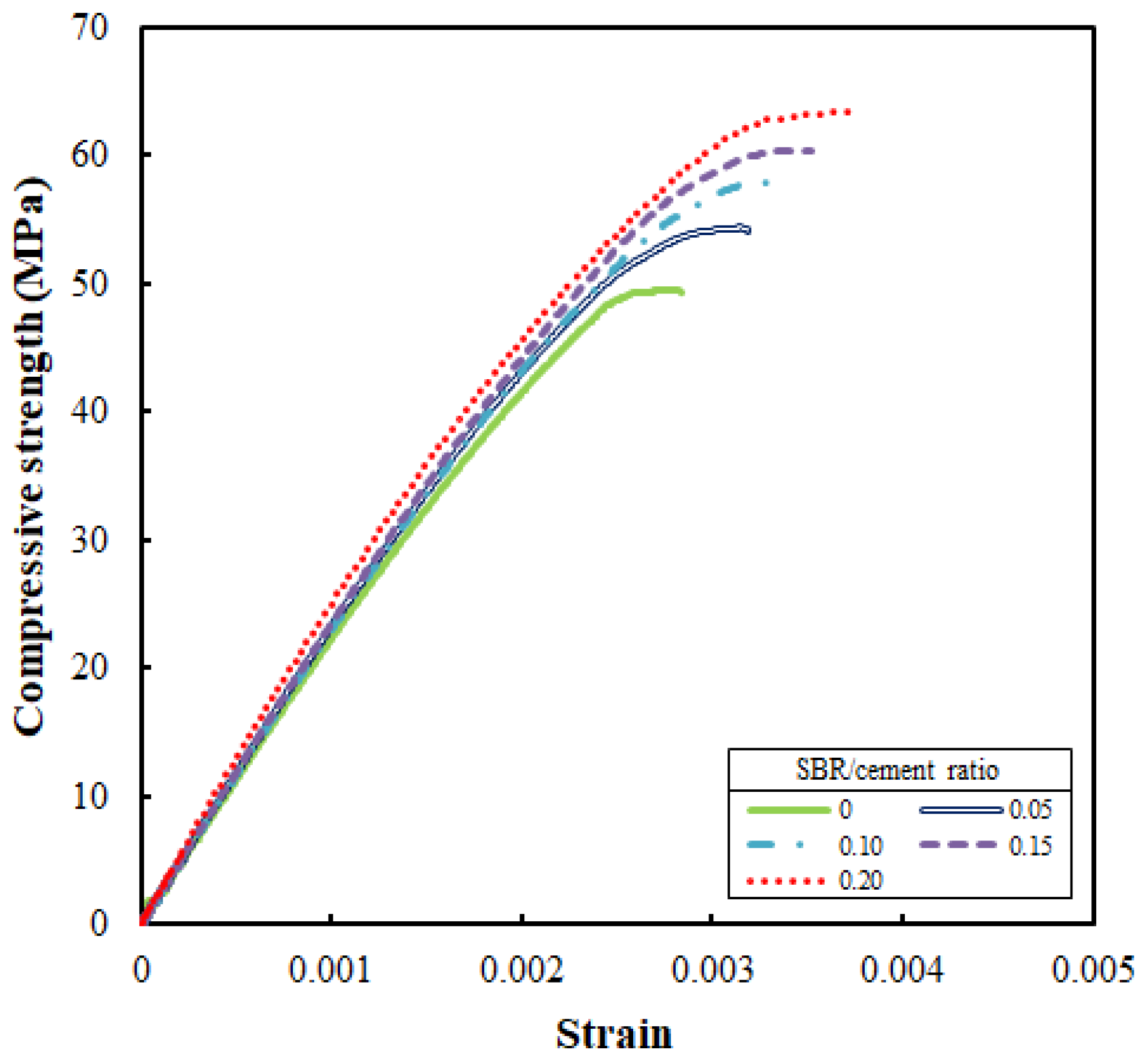
5.1. Modulus of Elasticity
5.2. Drying Shrinkage
5.3. Thermal Expansion
6. Conclusions
- The compressive strengths ranged from 50.9 MPa to 63.5 MPa, and the elastic modulus ranged from 21.6 GPa to 25.3 GPa, which tended to increase as the SBR/cement ratio increased. The elastic modulus increased as the compressive strength increased; the correlation between the elastic modulus and compressive strength was found to be significant. The maximum compressive strain ranged from 2800 × 10−6 to 3800 × 10−6, which increased as the SBR/cement ratio increased.
- The 28-day drying shrinkage ranged from 144 × 10−6 to 331 × 10−6, which yielded a decreasing trend as the SBR/cement ratio increased. Also, the drying shrinkage rate drastically increased between the curing ages of 5 and 10 hours.
- The coefficient of thermal expansion was found to range from 5.8 × 10−6/°C to 12.2 × 10−6/°C. The coefficient increased as the SBR/cement ratio increased. The thermal expansion coefficient of SBR-modified cementitious mixtures was not clearly different as compared to that of ordinary cementitious mixtures.
Author Contributions
Funding
Conflicts of Interest
References
- Le, T.T.; Austin, S.A.; Lim, S.; Buswell, R.A.; Law, R.; Gibb, A.G.F.; Thorpe, T. Hardened properties of high-performance printing concrete. Cem. Concr. Rese. 2012, 42, 558–566. [Google Scholar] [CrossRef]
- Khoshnevis, B. Automated Construction by Contour Crafting-Related Robotics and Information Technologies. Autmat. Constr. 2004, 13, 5–19. [Google Scholar] [CrossRef]
- Buswell, B.A.; Leal de Silva, W.R.; Jones, S.Z.; Dirrenberger, J. 3D Printing Using Concrete Extrusion: A Road Map for Research. Cem. Concr. Rese. 2018, 112, 37–49. [Google Scholar] [CrossRef]
- Buswell, R.A.; Soar, R.C.; Gibb, A.G.F.; Thorpe, A. Freeform Construction: Mega-Scale Rapid Manufacturing for Construction. Autmat. Constr. 2007, 16, 224–231. [Google Scholar] [CrossRef]
- Chinese Company Assembles 10 3D-Printed Concrete Houses in a Day for Less Than $5000 Each. Available online: https://inhabitat.com/chinese-company-assembles-ten-3d-printed-concrete-houses-in-one-day-for-less-than-5000-each/ (accessed on 12 July 2019).
- Apis Cor and Gerdau to Print Homes Together on Earth and Beyond. Available online: https://www.apis-cor.com/apiscor-and-gerdau (accessed on 12 July 2019).
- TU/e and BAM Infra Get to Work on 3D Printed Concrete Bicycle Bridge. Available online: https://3dprint.com/178462/eindhoven-3d-printed-bridge/ (accessed on 12 July 2019).
- US Military 3D Prints Concrete Barracks on Site. Available online: https://www.dezeen.com/2018/09/05/us-military-3d-prints-concrete-barracks-on-site-technology/ (accessed on 12 July 2019).
- Ohama, Y.; Hashimoto, Y. Study on Mix Proportioning of Polymer-Modified Concrete; Part 4, Deformation Characteristics (in Japanese). Nih.-Ken.-Gak Toh.-Shi. Ken.-Gak. Toh.-Shi. Ken.-Hok. 1978, 31, 109–112. [Google Scholar]
- Chandra, S.; Ohama, Y. Polymers in Concrete, 1st ed.; CRC Press: Boca Raton, FL, USA, 1994. [Google Scholar]
- Barluenga, G.; Hernández-Olivares, F. SBR Latex Modified Mortar Rheology and Mechanical Behavior. Cem. Concr. Rese. 2004, 34, 527–535. [Google Scholar] [CrossRef]
- Dimensional Stability. Available online: https://www.yourdictionary.com/dimensional-stability (accessed on 12 July 2019).
- Kim, K.K.; Yeon, J.; Lee, H.J.; Yeon, K. Feasibility Study of SBR-Modified Cementitious Mixtures for Use as 3D Additive Construction Materials. Polym. 2019, 8, 1321. [Google Scholar] [CrossRef] [PubMed]
- ASTM C109/C109M–02. Available online: https://www.astm.org/DATABASE.CART/HISTORICAL/C109C109M-02.htm (accessed on 12 July 2019).
- ASTM C469/C469M–14. Available online: https://www.astm.org/Standards/C469 (accessed on 12 July 2019).
- ASTM C596–01. Available online: https://www.astm.org/DATABASE.CART/HISTORICAL/C596-01.htm (accessed on 12 July 2019).
- ASTM C531–18. Available online: https://www.astm.org/Standards/C531.htm (accessed on 12 July 2019).
- Gere, J.M. Mechanics of Materials, 6th ed.; Brooks/Cole-Thomson Learning: Belmont, CA, USA, 2004; p. 23. [Google Scholar]
- Mehta, P.K.; Monteiro, P.J.M. Concrete: Microstructure, Properties, and Materials, 3rd ed.; McGraw-Hill: New York, NY, USA, 2006. [Google Scholar]
- Shiroishida, K. Durability of Polymer-Modified Mortars. Master’s Thesis, Nihon University, Koriyama, Japan, 1983. [Google Scholar]
- Torrans, P.H.; Ivey, D.L.; Hirsch, T.J. Part I: The Effect of Chemical Admixtures on the Drying Shrinkage of Concrete Batched at 75 °F. In The Effect of Chemical Admixtures on the Drying Shrinkage of Concrete and the Control of Chemical Uniformity of Admixtures, 1st ed.; Texas Transportation Institute: College Station, TX, USA, 1964. [Google Scholar]
- Lea, F.M. The Chemistry of Cement and Concrete, 3rd ed.; Chemical Publishing Company: New York, NY, USA, 1970. [Google Scholar]
- Moodi, F.; Kashi, A.; Ramezanianpour, A.A.; Pourebrahimi, M. Investigation on Mechanical and Durability Properties of Polymer and Latex-Modified Concretes. Constr. Build. Mater. 2018, 191, 145–154. [Google Scholar] [CrossRef]
- Li, L.; Wang, R.; Lu, Q. Influence of Polymer Latex on the Setting Time, Mechanical Properties and Durability of Calcium Sulfoaluminate Cement Mortar. Constr. Build. Mater. 2018, 169, 911–922. [Google Scholar] [CrossRef]
- Ohama, Y. Study on Properties and Mix Proportioning of Polymer-Modified Mortars for Buildings; Report of the Building Research Institute; Building Research Institute: Tsukuba Ibaraki, Japan, 1973. (In Japanese) [Google Scholar]
- Mei, Y.; Li, Z.; Wang, P.; Liang, N. Effect and Mechanism of Styrene-Butadiene Rubber Latex on the Long Term Shrinking Performance of Mortar. J. of Civ., Arc. and Env. Eng. 2009, 12, 142–146. [Google Scholar]
- Feiteira, J.; Custodio, J.; Ribeiro, M.S.S. Review and Discussion of Polymer Action on Alkali-Silica Reaction. Mater. Struct. 2013, 46, 1415–1427. [Google Scholar] [CrossRef]
- Kawano, T. Studies on the Mechanism of Reducing Drying Shrinkage of Cement Mortar Modified by Rubber Latex. In Proceedings of the Third International Congress on Polymers in Concrete, Koriyama, Japan, 13–15 May 1981; Ohama, Y., Ed.; Transport Research Laboratory: Wokingham, UK, 1981. [Google Scholar]
- Kardon, J.B. Polymer-Modified Concrete: Review. J. Mater. Civil. Eng. 1997, 9, 85–92. [Google Scholar] [CrossRef]
- Ohama, Y. Handbook of Polymer-Modified Concrete and Mortars, 1st ed.; Noyes Publications: Park Ridge, NJ, USA, 1995. [Google Scholar]
- Neville, A.M. Properties of Concrete, 4th ed.; John Wiley & Sons Inc.: Hoboken, NJ, USA, 1996. [Google Scholar]
- Coefficients of Linear Thermal Expansion. Available online: https://www.engineeringtoolbox.com/linear-expansion-coefficients-d_95.html (accessed on 12 July 2019).











| Density (g/cm3) | Chemical Composition (%) | Specific Surface (cm2/g) | ||
|---|---|---|---|---|
| MgO | SO3 | Loss on Ignition | ||
| 3.14 | 2.91 | 2.41 | 2.16 | 3630 |
| Total Solids (%) | pH | Viscosity (mPa·s) | Surface Tension (dynes/cm) | Specific Gravity (20°C) | Minimum Film- Forming Temp. (°C) |
|---|---|---|---|---|---|
| 47–50 | 9.9–10.5 | 40 | 30–35 | 1.01 ± 0.01 | <4 |
| Size (mm) | Apparent Density | Purity (%) | Water Content (%) |
|---|---|---|---|
| 0.08 | 1.57 | 97.3 | <0.1 |
| Density (g/cm3) | SiO2 (%) | Loss Ignition (%) | Specific Surface (cm2/g) |
|---|---|---|---|
| 2.22 | 51.9 | 3.2 | 3651 |
| SiO2 (%) | H2O (%) | Loss on Ignition (%) | Bulk Density- Undensified (kg/m3) | Bulk Density- Densified (kg/m3) | Specific Surface (cm2/g) |
|---|---|---|---|---|---|
| 96.7 | <1.0 | <3.0 | 200–350 | 600–700 | 157,700 |
| Specific Gravity (20 °C) | pH | Alkali Content (kg/m3) | Chloride Content (kg/m3) |
|---|---|---|---|
| 1.05 ± 0.05 | 5.0 ± 2.0 | 0.03 | 0.03 × 10−3 |
| Appearance | pH (Solution) | Bulk Density (kg/m3) | Moisture Content (%) | Particle Size (0.074 mm, %) |
|---|---|---|---|---|
| White powder | 8.0–10.0 | 430 | ≤12 | ≥95 |
| SBR | Cement | Water | Silica Sand | Fly Ash | Silica Fume | Super- Plasticizer | Viscosity Modifying Agent |
|---|---|---|---|---|---|---|---|
| 0 | 642 | 289 | 1377 | 184 | 92 | 6 | 0.3 |
| 32 | 638 | 271 | 1368 | 182 | 91 | 6 | 0.3 |
| 63 | 635 | 254 | 1360 | 181 | 91 | 6 | 0.3 |
| 95 | 631 | 236 | 1351 | 180 | 90 | 6 | 0.3 |
| 125 | 627 | 219 | 1343 | 179 | 90 | 6 | 0.3 |
© 2019 by the authors. Licensee MDPI, Basel, Switzerland. This article is an open access article distributed under the terms and conditions of the Creative Commons Attribution (CC BY) license (http://creativecommons.org/licenses/by/4.0/).
Share and Cite
Kim, K.K.; Yeon, J.; Lee, H.J.; Yeon, J.H. Dimensional Stability of SBR-Modified Cementitious Mixtures for Use in 3D Additive Construction. Appl. Sci. 2019, 9, 3386. https://doi.org/10.3390/app9163386
Kim KK, Yeon J, Lee HJ, Yeon JH. Dimensional Stability of SBR-Modified Cementitious Mixtures for Use in 3D Additive Construction. Applied Sciences. 2019; 9(16):3386. https://doi.org/10.3390/app9163386
Chicago/Turabian StyleKim, Kwan Kyu, Jaeheum Yeon, Hee Jun Lee, and Jung Heum Yeon. 2019. "Dimensional Stability of SBR-Modified Cementitious Mixtures for Use in 3D Additive Construction" Applied Sciences 9, no. 16: 3386. https://doi.org/10.3390/app9163386
APA StyleKim, K. K., Yeon, J., Lee, H. J., & Yeon, J. H. (2019). Dimensional Stability of SBR-Modified Cementitious Mixtures for Use in 3D Additive Construction. Applied Sciences, 9(16), 3386. https://doi.org/10.3390/app9163386

