Reflection Enhancement and Giant Lateral Shift in Defective Photonic Crystals with Graphene
Abstract
Featured Application
Abstract
1. Introduction
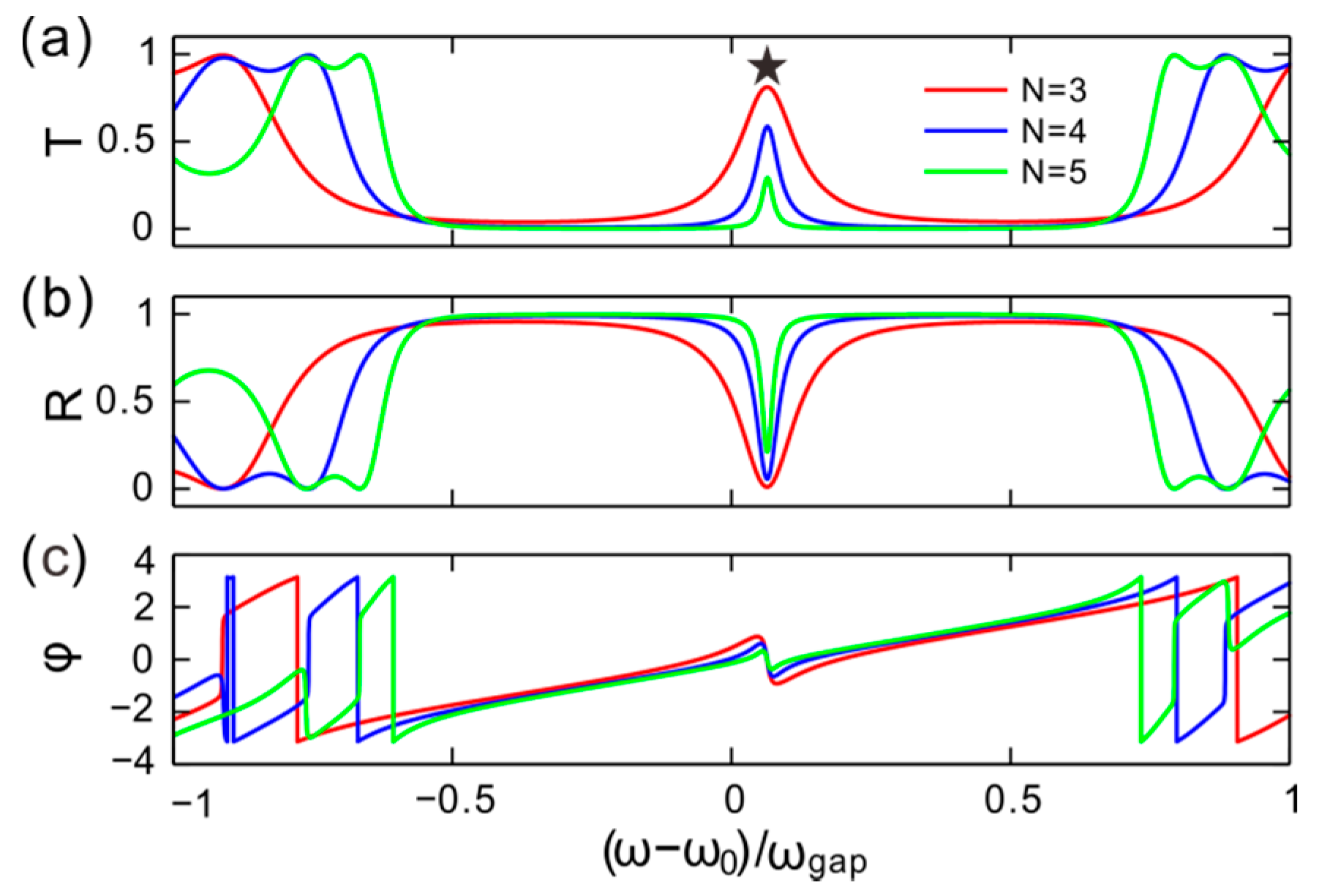
2. One-Dimensional Defective PCs
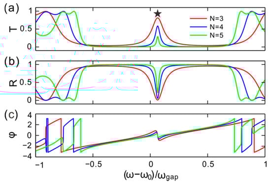
3. Reflectance Enhanced with Graphene
4. Large Lateral Shift around the DM
5. Conclusions
Author Contributions
Funding
Conflicts of Interest
References
- Yariv, A.; Yeh, P. Photonics: Optical Electronics in Modern Communications, 6th ed.; Oxford University Press: New York, NY, USA, 2007. [Google Scholar]
- Felbacq, D.; Moreau, A.; Smaâli, R. Goos-Hänchen effect in the gaps of photonic crystals. Opt. Lett. 2003, 28, 1633–1635. [Google Scholar] [CrossRef] [PubMed]
- Goos, F.; Hänchen, H. A new and fundamental experiment on total reflection. Ann. Phys. 1947, 1, 333. [Google Scholar] [CrossRef]
- Aiello, A.; Woerdman, J.P. Role of beam propagation in Goos-Hänchen and Imbert-Fedorov shifts. Opt. Lett. 2008, 33, 1437–1439. [Google Scholar] [CrossRef] [PubMed]
- Longhi, S.; della Valle, G.; Staliunas, K. Goos-Hänchen shift in complex crystals. Phys. Rev. A 2011, 84, 042119. [Google Scholar] [CrossRef]
- Ma, P.; Gao, L. Large and tunable lateral shifts in one-dimensional PT-symmetric layered structures. Opt. Express 2017, 25, 9676–9688. [Google Scholar] [CrossRef]
- Zhao, D.; Ke, S.; Liu, Q.; Wang, B.; Lu, P. Giant Goos-Hänchen shifts in non-Hermitian dielectric multilayers incorporated with graphene. Opt. Express 2018, 26, 2817–2828. [Google Scholar] [CrossRef]
- Wang, L.G.; Chen, H.; Zhu, S.Y. Large negative goos-hänchen shift from a weakly absorbing dielectric slab. Opt. Lett. 2005, 30, 2936–2938. [Google Scholar] [CrossRef]
- Wang, L.G.; Zhu, S.Y. Giant lateral shift of a light beam at the defect mode in one-dimensional photonic crystals. Opt. Lett. 2006, 31, 101–103. [Google Scholar] [CrossRef]
- Ke, S.; Liu, J.; Liu, Q.; Zhao, D.; Liu, W. Strong absorption near exceptional points in plasmonic wave guide arrays. Opt. Quant. Electron. 2018, 50, 318. [Google Scholar] [CrossRef]
- Li, M.; Xie, H.; Cao, W.; Luo, S.; Tan, J.; Feng, Y.; Du, B.; Zhang, W.; Li, Y.; Zhang, Q.; et al. Photoelectron holographic interferometry to probe the longitudinal momentum offset at the tunnel exit. Phys. Rev. Lett. 2019, 122, 183202. [Google Scholar] [CrossRef]
- He, Y.; He, L.; Lan, P.; Wang, B.; Li, L.; Zhu, X.; Cao, W.; Lu, P. Molecular rotation movie filmed with high-harmonic generation. arXiv 2019, arXiv:1902.05662. [Google Scholar]
- Ke, S.; Zhao, D.; Liu, Q.; Liu, W. Adiabatic transfer of surface plasmons in non-Hermitian graphene waveguides. Opt. Quant. Electron. 2018, 50, 393. [Google Scholar] [CrossRef]
- Ke, S.; Zhao, D.; Liu, Q.; Wu, S.; Wang, B.; Lu, P. Optical imaginary directional couplers. J. Lightwave Technol. 2018, 36, 2510–2515. [Google Scholar] [CrossRef]
- Xu, S.L.; Zhao, Y.; Petrović, N.Z.; Belić, M.R. Spatiotemporal soliton supported by parity-time symmetric potential with competing nonlinearities. EPL 2016, 115, 14006. [Google Scholar] [CrossRef]
- Xu, S.L.; Petrović, N.; Belić, M.R.; Hu, Z.L. Light bullet supported by parity-time symmetric potential with power-law nonlinearity. Nonlinear Dyn. 2016, 84, 1877–1882. [Google Scholar] [CrossRef]
- Ke, S.; Zhao, D.; Liu, J.; Liu, Q.; Liao, Q.; Wang, B.; Lu, P. Topological bound modes in anti-PT-symmetric optical waveguide arrays. Opt. Express 2019, 27, 13858–13870. [Google Scholar] [CrossRef]
- Zhao, D.; Zhong, D.; Hu, Y.; Ke, S.; Liu, W. Imaginary modulation inducing giant spatial Goos–Hänchen shifts in one-dimensional defective photonic lattices. Opt. Quant. Electron. 2019, 51, 113. [Google Scholar] [CrossRef]
- Ke, S.; Wang, B.; Qin, C.; Long, H.; Wang, K.; Lu, P. Exceptional points and asymmetric mode switching in plasmonic waveguides. J. Lightwave Technol. 2016, 34, 5258–5262. [Google Scholar] [CrossRef]
- Zhu, X.F. Defect states and exceptional point splitting in the band gaps of one-dimensional parity-time lattices. Opt. Express 2015, 23, 22274–22284. [Google Scholar] [CrossRef]
- Liu, Q.; Wang, B.; Ke, S.; Long, H.; Wang, K.; Lu, P. Exceptional points in Fano-resonant graphene metamaterials. Opt. Express 2017, 25, 7203–7212. [Google Scholar] [CrossRef]
- Dai, X.; Jiang, L.; Xiang, Y. Tunable optical bistability of dielectric/nonlinear graphene/dielectric heterostructures. Opt. Express 2015, 23, 6497–6508. [Google Scholar] [CrossRef]
- Zhao, D.; Wang, Z.Q.; Long, H.; Wang, K.; Wang, B.; Lu, P.X. Optical bistability in defective photonic multilayers doped by graphene. Opt. Quant. Electron. 2017, 49, 163. [Google Scholar] [CrossRef]
- Bao, Q.; Chen, J.; Xiang, Y.; Zhang, K.; Li, S.; Jiang, X.; Xu, Q.H.; Loh, K.P.; Venkatesan, T. Graphene nanobubbles: A new optical nonlinear material. Adv. Opt. Mater. 2015, 3, 744–749. [Google Scholar] [CrossRef]
- Liu, J.; Park, S.; Nowak, D.; Tian, M.; Wu, Y.; Long, H.; Wang, K.; Wang, B.; Lu, P. Near-field characterization of graphene plasmons by photo-induced force microscopy. Laser Photonics Rev. 2018, 12, 1800040. [Google Scholar] [CrossRef]
- Meng, P.; Zhao, D.; Zhong, D.; Liu, W. Topological plasmonic modes in graphene-coated nanowire arrays. Opt. Quant. Electron. 2019, 51, 156. [Google Scholar] [CrossRef]
- Thongrattanasiri, S.; Silveiro, I.; Javier, G.d.A.F. Plasmons in electrostatically doped graphene. Appl. Phys. Lett. 2012, 100, 201105. [Google Scholar] [CrossRef]
- Jiang, L.; Guo, J.; Wu, L.; Dai, X.; Xiang, Y. Manipulating the optical bistability at terahertz frequency in the Fabry-Perot cavity with graphene. Opt. Express 2015, 23, 31181–31191. [Google Scholar] [CrossRef] [PubMed]
- Wang, F.; Qin, C.; Wang, B.; Long, H.; Wang, K.; Lu, P. Rabi oscillations of plasmonic supermodes in graphene multilayer arrays. IEEE J. Sel. Top. Quant. Electron. 2017, 23, 125–129. [Google Scholar] [CrossRef]
- Wang, Z.; Wang, B.; Long, H.; Wang, K.; Lu, P. Surface plasmonic lattice solitons in semi-infinite graphene sheet arrays. J. Lightwave Technol. 2017, 35, 2960–2965. [Google Scholar] [CrossRef]
- Chen, P.Y.; Alù, A. Atomically thin surface cloak using graphene monolayers. ACS Nano 2011, 5, 5855–5863. [Google Scholar] [CrossRef]
- Fang, Y.; Ouyang, Z. An approximately omnidirectional defect mode of the TE wave from one-dimensional photonic crystals doped by negative-index materials. J. Opt. A Pure Appl. Opt. 2009, 11, 045103. [Google Scholar] [CrossRef]
- Merano, M. Optical beam shifts in graphene and single-layer boron-nitride. Opt. Lett. 2016, 41, 5780–5783. [Google Scholar] [CrossRef]
- Zhai, C.; Zhang, Y.; Zhang, Q. Characterizing the ellipticity of an isolated attosecond pulse. Opt. Commun. 2019, 437, 104–109. [Google Scholar] [CrossRef]
- Wang, R.; Zhang, Q.; Li, D.; Xu, S.; Cao, P.; Zhou, Y.; Cao, W.; Lu, P. Identification of tunneling and multiphoton ionization in intermediate Keldysh parameter regime. Opt. Express 2019, 27, 6471–6482. [Google Scholar] [CrossRef] [PubMed]
- Xiang, Y.X.; Guo, J.; Dai, X.Y.; Wen, S.C.; Tang, D.Y. Engineered surface bloch waves in graphene-based hyperbolic metamaterials. Opt. Express 2014, 22, 3054–3062. [Google Scholar] [CrossRef]







© 2019 by the authors. Licensee MDPI, Basel, Switzerland. This article is an open access article distributed under the terms and conditions of the Creative Commons Attribution (CC BY) license (http://creativecommons.org/licenses/by/4.0/).
Share and Cite
Zhao, D.; Liu, F.; Meng, P.; Wen, J.; Xu, S.; Li, Z.; Zhong, D. Reflection Enhancement and Giant Lateral Shift in Defective Photonic Crystals with Graphene. Appl. Sci. 2019, 9, 2141. https://doi.org/10.3390/app9102141
Zhao D, Liu F, Meng P, Wen J, Xu S, Li Z, Zhong D. Reflection Enhancement and Giant Lateral Shift in Defective Photonic Crystals with Graphene. Applied Sciences. 2019; 9(10):2141. https://doi.org/10.3390/app9102141
Chicago/Turabian StyleZhao, Dong, Fangmei Liu, Peng Meng, Jie Wen, Siliu Xu, Zhongming Li, and Dong Zhong. 2019. "Reflection Enhancement and Giant Lateral Shift in Defective Photonic Crystals with Graphene" Applied Sciences 9, no. 10: 2141. https://doi.org/10.3390/app9102141
APA StyleZhao, D., Liu, F., Meng, P., Wen, J., Xu, S., Li, Z., & Zhong, D. (2019). Reflection Enhancement and Giant Lateral Shift in Defective Photonic Crystals with Graphene. Applied Sciences, 9(10), 2141. https://doi.org/10.3390/app9102141
