Comparing Fish Density and Echo Strength Distribution Recorded by Two Generations of Single Beam Echo Sounders
Abstract
1. Introduction
2. Materials and Methods
2.1. Study Area
2.2. Methods
2.3. Gill Netting
2.4. Testing Effects of Ping Repetition Frequency ( PRF) and Pulse Duration ( PD) on Single Fish Detection (SED)
2.5. Time Trend Monitoring
2.6. Data Treatment and Statistical Analysis
3. Results
3.1. Comparing EK15 with EY-M
3.2. Gill Netting
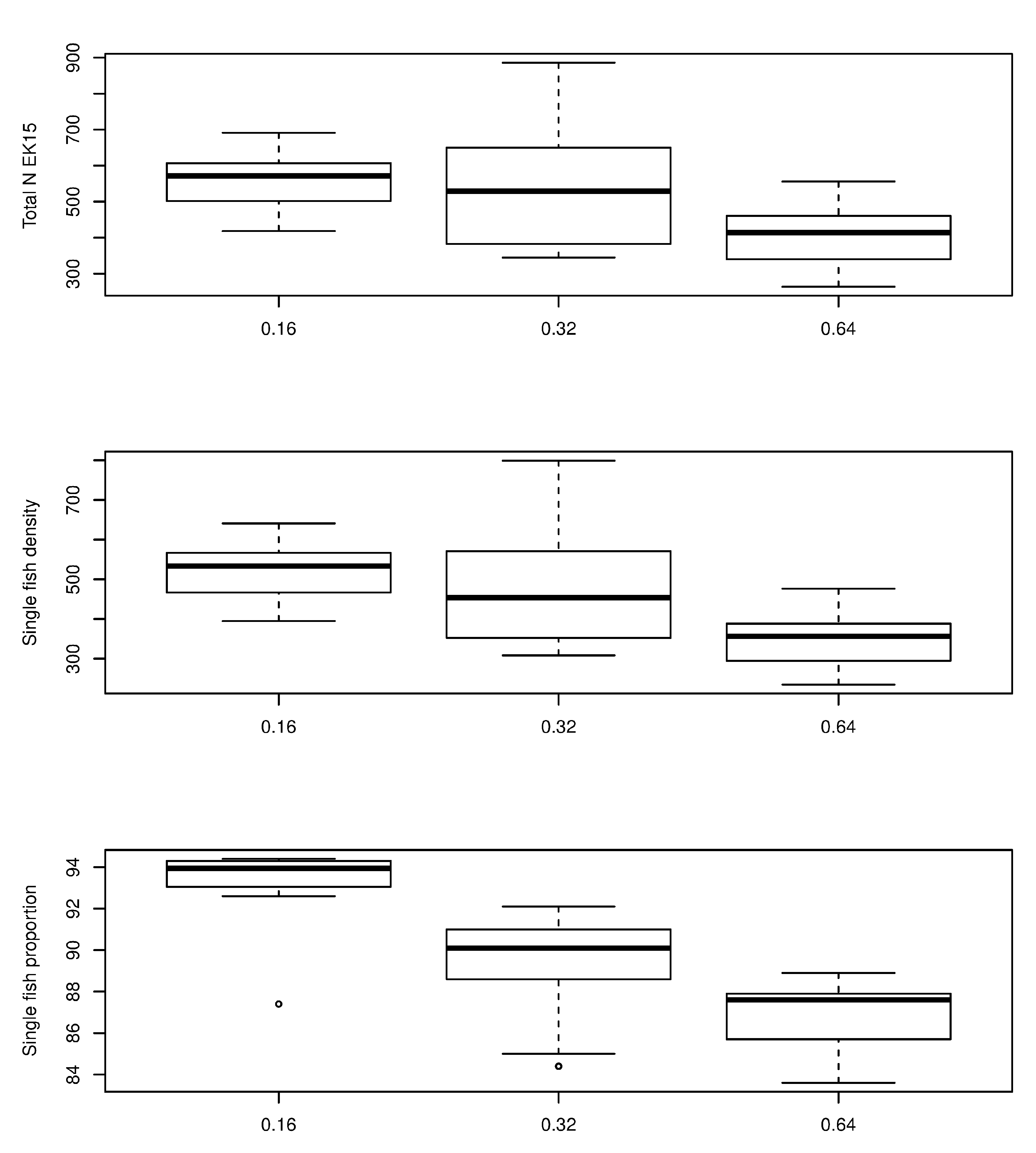
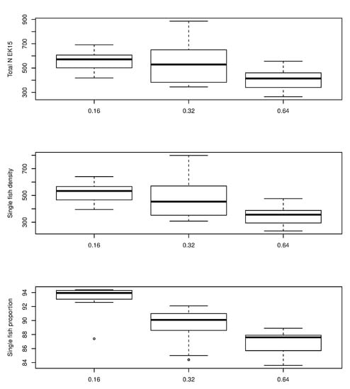
3.3. Effects of Ping Repetition Frequency (PRF) And Pulse Duration (PD) On EK15-Based Estimates
3.4. Time Trend
4. Discussion
Author Contributions
Funding
Acknowledgments
Conflicts of Interest
References
- Onandia, G.; Dias, J.D.; Miracle, M.R. Zooplankton grazing on natural algae and bacteria under hypertrophic conditions. Linetica 2015, 34, 541–560. [Google Scholar]
- Jürgens, K. Impact of Daphnia on planktonic microbial food webs—A review. Mar. Microb. Food Webs 1994, 8, 295–324. [Google Scholar]
- Jeppesen, E.; Jensen, J.P.; Sondergaard, M.; Lauridsen, T.L. Response of fish and plankton to nutrient loading reduction in eight shallow Danish lakes with special emphasis on seasonal dynamics. Freshw. Biol. 2005, 50, 1616–1627. [Google Scholar] [CrossRef]
- Jeppesen, E.; Jensen, J.P.; Søndergaard, M. Response of phytoplankton, zooplankton, and fish to re-oligotrophication: An 11 year study of 23 Danish lakes. Aquat. Ecosyst. Health Manag. 2002, 5, 31–43. [Google Scholar] [CrossRef]
- Jeppesen, E.; Lauridsen, T.; Mitchell, S.F.; Burns, C.W. Do planktivorous fish structure the zooplankton communities in New Zealand lakes? New Zealand J. Mar. Freshw. Res. 1997, 31, 163–173. [Google Scholar] [CrossRef]
- Rudstam, L.; Jech, J.; Parker-Stetter, S.; Horne, J.; Sullivan, P.; Mason, D. Fisheries Acoustics. In Fisheries Techniques, 3 ed.; Zale, A., Parrish, D., Sutton, T., Eds.; American Fisheries Society: Bethesda, MD, USA, 2012; p. 40. [Google Scholar]
- Pollom, R.A.; Rose, G.A. A global review of the spatial, taxonomic, and temporal scope of freshwater fisheries hydroacoustics research. Environ. Rev. 2016, 24, 333–347. [Google Scholar] [CrossRef]
- Kongsberg Maritime, A.S. SIMRAD EK15. Reference Manual; Kongsberg Maritime AS: Kongsberg, Norway, 2014; p. 309. [Google Scholar]
- Rudstam, L.G.; Hansson, S.; Lindem, T.; Einhouse, D.W. Comparison of target strength distributions and fish densities obtained with split and single beam echo sounders. Fish. Res. 1999, 42, 207–214. [Google Scholar] [CrossRef]
- Jurvelius, J.; Marjomäki, T.J.; Peltonen, H.; Degtev, A.; Bergstrand, E.; Enderlein, O.; Auvinen, H. Fish density and target strength distribution of single fish echoes in varying light conditions with single and split beam echosounding and trawling. Hydrobiologia 2016, 780, 113–124. [Google Scholar] [CrossRef]
- Løvik, J.E. Miljøtilstanden i Innsjøer og Vassdrag i Hedmark ved Årtusenskiftet.; Norsk Institutt for Vannforskning: Oslo, Norway, 2001. [Google Scholar]
- Museth, J.; Johnsen, S.I.; Eloranta, A.; Sandlund, O.T.; Linløkken, A.N.; Bærum, K.M.; Dokk, J.G. Fiskesamfunnet i Storsjøen i 2016—Effekter av Reguleringsinngrep, Fiske og Introdusert krøkle; NINA rapport nr. 1374; Norwegian Institute for Nature Research: Trondheim, Norway, 2017; p. 43. [Google Scholar]
- Linløkken, A. Monitoring pelagic whitefish (Coregonus lavaretus) and vendace (Coregonus albula) in a hydroelectric reservoir using hydroacoustics. Regul. Rivers-Res. Manag. 1995, 10, 315–328. [Google Scholar]
- Linløkken, A. Ekkoloddregistreringer i Storsjøen i Rendalen, Osensjøen og Engeren, Sommeren og Høsten 1985; Fylkesmannen i Hedmark; Miljøvernavdelingen Hedmark Energi AS: Hamar, Norway, 1986; p. 17. [Google Scholar]
- Balk, H.; Lindem, T. Sonar4 and Sonar5 Post Processing Systems, Operator Manual version 601; Lindem Data Acquisition Humleveien: Oslo, Norway, 2011; p. 464. [Google Scholar]
- Sawada, K.; Takahashi, H.; Abe, K.; Ichii, T.; Watanabe, K.; Takao, Y. Target-strength, length, and tilt-angle measurements of Pacific saury (Cololabis saira) and Japanese anchovy (Engraulis japonicus) using an acoustic-optical system. ICES J. Mar. Sci. 2009, 66, 1212–1218. [Google Scholar] [CrossRef]
- Lindem, T. Hydro Acoustic Data Acquisition System Instruction Manual ver. 3.9; Lindem Data Acquisition: Oslo, Norway, 1990; p. 25. [Google Scholar]
- R. R: A Language and Environment for Statistical Computing. R Foundation for Statistical Computing: Vienns, Austria, 2013. [Google Scholar]
- Elliot, J.M. Some Methods for the Statistical Analysis of Samples of Benthic Invertabrates, 2nd ed.; Titus Wilson & Son LTD: Kendal, UK, 1979. [Google Scholar]
- Lindem, T.; Sandlund, O.T. Ekkoloddregistreringer av pelagiske fiskebestander i innsjøer. Fauna 1984, 37, 105–111. [Google Scholar]
- Guillard, J.; Lebourges-Daussy, A.; Balk, H.; Colon, M.; Jóźwik, A.; Godlewska, M. Comparing hydroacoustic fish stock estimates in the pelagic zone of temperate deep lakes using three sound frequencies (70, 120, 200 kHz). Inland Waters 2014, 4, 435–444. [Google Scholar] [CrossRef]
- Linløkken, A.N.; Sandlund, O.T. Recruitment of sympatric vendace (Coregonus albula) and whitefish (C. lavaretus) is affected by different environmental factors. Ecol. Freshw. Fish 2015, 25, 652–663. [Google Scholar]
- Linløkken, A.N. Climate Change and Monitoring of Temperate Lakes. In Recent Developments in Fish Biology Researches. Bozkurt, Y., Ed.; IntechOpen: London, UK, 2019; in press. [Google Scholar]
- Hagenlund, M.; Østbye, K.; Langdal, K.; Hassve, M.; Pettersen, R.A.; Anderson, E.; Gregersen, F.; Præbel, K. Fauna crime: Elucidating the potential source and introduction history of European smelt (Osmerus eperlanus L.) into Lake Storsjøen, Norway. Conserv. Genet. 2015, 16, 1085–1098. [Google Scholar] [CrossRef]






| Depth | Transect No. | Single Fish n | Total N ha−1 | % Single Fish | |||
|---|---|---|---|---|---|---|---|
| Interval | EK 15 | EY-M | EK 15 | EY-M | EK 15 | EY-M | |
| 18-32 m | 1 | 710 | 1458 | 263 | 315 | 71 | 80 |
| 2 | 440 | 1083 | 244 | 392 | 74 | 80 | |
| 3 | 906 | 1791 | 773 | 825 | 65 | 77 | |
| 4 | 2331 | 4069 | 983 | 1075 | 70 | 76 | |
| 5 | 183 | 378 | 292 | 235 | 56 | 78 | |
| 6 | 2088 | 2051 | 780 | 866 | 69 | 71 | |
| 7 | 3634 | 4588 | 934 | 967 | 69 | 73 | |
| 8 | 1206 | 1338 | 587 | 470 | 62 | 69 | |
| 9 | 6406 | 7709 | 1745 | 1616 | 68 | 76 | |
| 10 | 1313 | 1767 | 946 | 903 | 65 | 69 | |
| Mean | 1922 | 2623 | 755 | 766 | 67 | 75 | |
| 95% C.I. | 1722-2122 | 2413-2833correct | 700-810 | 714-818 | 63-71 | 74-76 | |
| 32–48 m | 1 | 895 | 1703 | 125 | 131 | 82 | 95 |
| 2 | 481 | 978 | 106 | 131 | 78 | 96 | |
| 3 | 422 | 699 | 129 | 110 | 88 | 99 | |
| 4 | 2953 | 4443 | 457 | 398 | 80 | 82 | |
| 5 | 731 | 1363 | 286 | 281 | 82 | 93 | |
| 6 | 4055 | 2760 | 579 | 576 | 80 | 80 | |
| 7 | 8931 | 10695 | 927 | 781 | 76 | 85 | |
| 8 | 2724 | 3598 | 532 | 457 | 80 | 96 | |
| 9 | 8532 | 9191 | 919 | 886 | 73 | 72 | |
| 10 | 3422 | 4291 | 922 | 1146 | 68 | 57 | |
| Mean | 3315 | 3972 | 498 | 490 | 79 | 86 | |
| 95% C.I. | 2963-3667 | 3646-4298 | 446-551 | 439-540 | 26-50 | 83-88 | |
| Variables | Estimate | S.E. | T | p |
|---|---|---|---|---|
| NEK ha−1 | ||||
| Intercept | 267.5 | 89.9 | 2.98 | <0.01 |
| NEY ha−1 | 0.55 | 0.15 | 4.135 | <0.0001 |
| PD = 0.32 | 3.90 | 42.6 | 0.09 | n.s. |
| PD = 0.64 | −119.3 | 56.6 | 2.11 | <0.05 |
| NSED ha−1 | ||||
| Intercept | 265.4 | 79.6 | 3.34 | <0.01 |
| NEY ha−1 | 0.47 | 0.14 | 3.47 | <0.01 |
| PD = 0.32 | −18.8 | 37.74 | 0.50 | n.s. |
| PD = 0.64 | −140.5 | 50.1 | −2.80 | <0.01 |
| PROPSED | ||||
| Intercept | 94.6 | 1.69 | 56.1 | <0.0001 |
| NEY ha−1 | −0.002 | 0.003 | 0.85 | n.s. |
| PD = 0.32 | −3.94 | 0.80 | 4.94 | <0.0001 |
| PD = 0.64 | −6.52 | 1.06 | −6.15 | <0.0001 |
© 2019 by the authors. Licensee MDPI, Basel, Switzerland. This article is an open access article distributed under the terms and conditions of the Creative Commons Attribution (CC BY) license (http://creativecommons.org/licenses/by/4.0/).
Share and Cite
Linløkken, A.N.; Næstad, F.; Langdal, K.; Østbye, K. Comparing Fish Density and Echo Strength Distribution Recorded by Two Generations of Single Beam Echo Sounders. Appl. Sci. 2019, 9, 2041. https://doi.org/10.3390/app9102041
Linløkken AN, Næstad F, Langdal K, Østbye K. Comparing Fish Density and Echo Strength Distribution Recorded by Two Generations of Single Beam Echo Sounders. Applied Sciences. 2019; 9(10):2041. https://doi.org/10.3390/app9102041
Chicago/Turabian StyleLinløkken, Arne N., Frode Næstad, Kjell Langdal, and Kjartan Østbye. 2019. "Comparing Fish Density and Echo Strength Distribution Recorded by Two Generations of Single Beam Echo Sounders" Applied Sciences 9, no. 10: 2041. https://doi.org/10.3390/app9102041
APA StyleLinløkken, A. N., Næstad, F., Langdal, K., & Østbye, K. (2019). Comparing Fish Density and Echo Strength Distribution Recorded by Two Generations of Single Beam Echo Sounders. Applied Sciences, 9(10), 2041. https://doi.org/10.3390/app9102041

