Effect of Carbon Black Nanoparticles from the Pyrolysis of Discarded Tires on the Performance of Asphalt and its Mixtures
Abstract
:1. Introduction
2. Materials and Methods
2.1. Materials
2.1.1. Asphalt Binder
2.1.2. Discarded Tires Pyrolysis Carbon Black (TPCB)
2.1.3. Softening Agent
2.1.4. Aggregate and Filler
2.2. Preparation of TPCB-Modified Asphalt
2.3. Experiments on TPCB
2.3.1. Chemical Structure Testing of TPCB
2.3.2. Laser Size Analysis Testing of TPCB
2.3.3. Thermogravimetric Testing of TPCB
2.4. Experiments on Asphalt
2.4.1. Physical Properties of Asphalt
2.4.2. Storage Stability Testing of Asphalt
2.4.3. Thermal Oxide Aging Testing
2.4.4. Rheological Properties Testing
2.4.5. BBR Testing
2.5. Experiments on the Asphalt Mixture
3. Results and Discussion
3.1. Characterization of TPCB
3.1.1. Chemical Structure of TPCB
3.1.2. Particle Size Distribution of TPCB
3.1.3. Thermal Properties of TPCB
3.2. TPCB’s Effect on the Performance of Asphalt
3.2.1. TPCB’s Effect on the Physical Performance of Asphalt
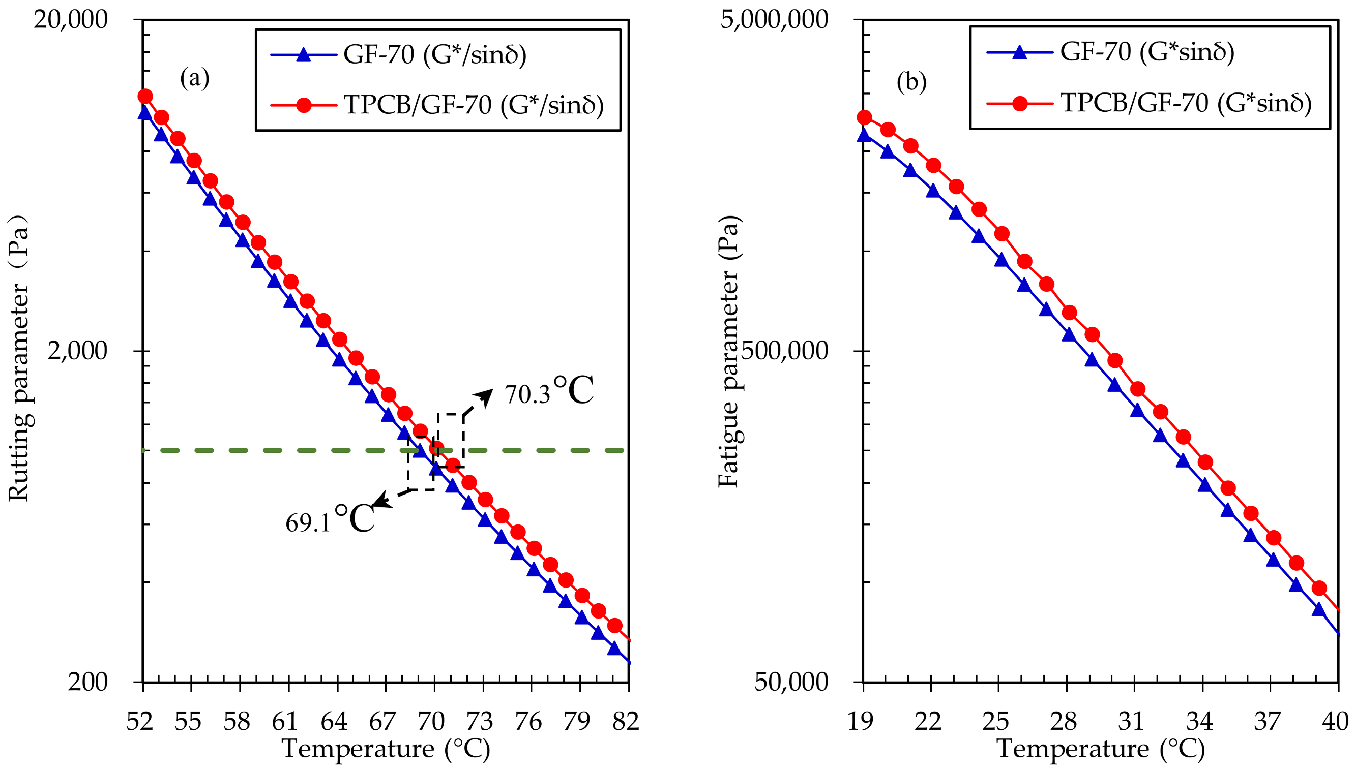
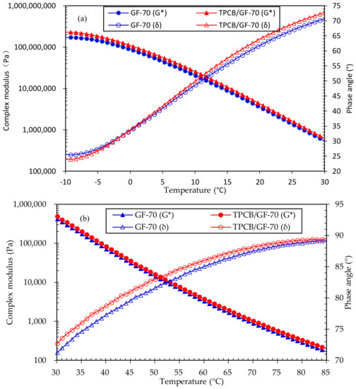
3.2.2. TPCB’s Effect on the Rheological Properties of Asphalt
3.3. Optimizing the Physical Performance of TPCB/GF-70
3.4. TPCB’s Effect on the Pavement Performance of an Asphalt Mixture
3.4.1. Mix Ratio of Mixtures
3.4.2. High-Temperature Performance
3.4.3. Low-Temperature Performance of Mixture
3.4.4. Water Stability of Mixture
4. Conclusions
- TPCB can decrease the temperature sensitivity and obviously improve the high-temperature performance of asphalt, while a 15% dosage decreases the low-temperature performance of GF-70 within one PG grade.
- The softening point difference of 15% TPCB-modified asphalt in the segregation test is only 0.7 °C, which shows that TPCB has good compatibility with asphalt.
- AHO can obviously improve the low-temperature performance and only slightly decreases the high-temperature performance of TPCB/GF-70.
- With the addition of a 1.2% dosage of AHO and a 0.1% higher oil aggregate ratio, a 15% dosage of TPCB can significantly improve the anti-rutting performance of AC-13 and AC-20 mixtures, as well as improve the low-temperature performance.
- Both the RMS (higher than 80%) and TSR (higher than 75%) of TPCB and AHO composite modified asphalt mixtures satisfy the requirement of water stability.
Acknowledgments
Author Contributions
Conflicts of Interest
References
- Uçar, S.; Karagöz, S. Co-pyrolysis of pine nut shells with scrap tires. Fuel 2014, 137, 85–93. [Google Scholar] [CrossRef]
- González, J.F.; Encinar, J.M.; Canito, J.L.; RodríGuez, J.J. Pyrolysis of automobile tyre waste. Influence of operating variables and kinetics study. J. Anal. Appl. Pyrolysis 2001, 58–59, 667–683. [Google Scholar] [CrossRef]
- Parthasarathy, P.; Hang, S.C.; Park, H.C.; Hwang, J.G.; Yoo, H.S.; Lee, B.K.; Upadhyay, M. Influence of process conditions on product yield of waste tyre pyrolysis—A review. Korean J. Chem. Eng. 2016, 33, 1–19. [Google Scholar] [CrossRef]
- Unapumnuk, K.; Lu, M.; Keener, T.C. Carbon Distribution from the Pyrolysis of Tire-Derived Fuels. Ind. Eng. Chem. Res. 2006, 45, 8757–8764. [Google Scholar] [CrossRef]
- Miranda, M.; Pinto, F.; Gulyurtlu, I.; Cabrita, I. Pyrolysis of rubber tyre wastes: A kinetic study. Fuel 2013, 103, 542–552. [Google Scholar] [CrossRef]
- Muzenda, E. A comparative review of waste tyre pyrolysis, gasification and liquefaction (PGL) processes. In Proceedings of the International Conference on Chemical Engineering & Advanced Computational Technologies (ICCEACT’2014), Pretoria, South Africa, 24–25 November 2014. [Google Scholar]
- Wang, H.; You, Z.; Mills-Beale, J.; Hao, P. Laboratory evaluation on high temperature viscosity and low temperature stiffness of asphalt binder with high percent scrap tire rubber. Constr. Build. Mater. 2012, 26, 583–590. [Google Scholar] [CrossRef]
- Sienkiewicz, M.; Borzędowska-Labuda, K.; Wojtkiewicz, A.; Janik, H. Development of methods improving storage stability of bitumen modified with ground tire rubber: A review. Fuel Process. Technol. 2017, 159, 272–279. [Google Scholar] [CrossRef]
- Peralta, J.; Silva, H.M.; Hilliou, L.; Machado, A.V.; Pais, J.; Williams, R.C. Mutual changes in bitumen and rubber related to the production of asphalt rubber binders. Constr. Build. Mater. 2012, 36, 557–565. [Google Scholar] [CrossRef]
- Roy, C.; Chaala, A.; Darmstadt, H. The vacuum pyrolysis of used tires : End-uses for oil and carbon black products. J. Anal. Appl. Pyrolysis 1999, 51, 201–221. [Google Scholar] [CrossRef]
- Bhadra, S.; De, P.P.; Mondal, N.; Mukhapadhyaya, R.; Gupta, S.D. Regeneration of carbon black from waste automobile tires. J. Appl. Polym. Sci. 2003, 89, 465–473. [Google Scholar] [CrossRef]
- Wu, S.; Mo, L.; Shui, Z.; Chen, Z. Investigation of the conductivity of asphalt concrete containing conductive fillers. Carbon 2005, 43, 1358–1363. [Google Scholar] [CrossRef]
- Wen, S.; Chung, D.D.L. Effects of carbon black on the thermal, mechanical and electrical properties of pitch-matrix composites. Carbon 2004, 42, 2393–2397. [Google Scholar] [CrossRef]
- Cong, P.; Xu, P.; Chen, S. Effects of carbon black on the anti aging, rheological and conductive properties of SBS/asphalt/carbon black composites. Constr. Build. Mater. 2014, 52, 306–313. [Google Scholar] [CrossRef]
- Apeagyei, A.K. Laboratory evaluation of antioxidants for asphalt binders. Constr. Build. Mater. 2011, 25, 47–53. [Google Scholar] [CrossRef]
- Park, T.; Lovell, C.W. Using Pyrolized Carbon Black (PCB) from Waste Tires in Asphalt Pavement (Part 1, Limestone Aggregate); Creep Tests: West Lafayette, IN, USA, 1996. [Google Scholar]
- Xiao, F.; Amirkhanian, A.N.; Amirkhanian, S.N. Influence of Carbon Nanoparticles on the Rheological Characteristics of Short-Term Aged Asphalt Binders. J. Mater. Civ. Eng. 2011, 23, 423–431. [Google Scholar] [CrossRef]
- Liu, X.; Wu, S.; Ye, Q.; Qiu, J.; Li, B. Properties evaluation of asphalt-based composites with graphite and mine powders. Constr. Build. Mater. 2008, 22, 121–126. [Google Scholar] [CrossRef]
- Gundla, A.; Medina, J.; Gudipudi, P.; Stevens, R.; Salim, R.; Zeiada, W.; Underwood, S. Investigation of Aging in Hydrated Lime and Portland Cement Modified Asphalt Concrete at Multiple Length Scales. J. Mater. Civ. Eng. 2015, 28, 04015205. [Google Scholar] [CrossRef]
- Kakade, V.B.; Reddy, M.A.; Reddy, K.S. Effect of aging on fatigue performance of hydrated lime modified bituminous mixes. Constr. Build. Mater. 2016, 113, 1034–1043. [Google Scholar] [CrossRef]
- ASTM International. Standard test method for penetration of bituminous materials. In Annual Book of ASTM Standards; American Society for Testing and Materials Annual: Philadelphia, PA, USA, 1992. [Google Scholar]
- ASTM International. D36. Standard Test Method for Softening Point of Bitumen (Ring-and-Ball Apparatus); ASTM International: West Conshohocken, PA, USA, 2009. [Google Scholar]
- ASTM International. D4402. Standard Test Method for Viscosity Determination of Asphalt at Elevated Temperatures Using a Rotational Viscometer; ASTM International: West Conshohocken, PA, USA, 2008. [Google Scholar]
- ASTM International. Standard test method for ductility of bituminous materials. In Annual Book of ASTM Standards; American Society for Testing and Materials Annual: Philadelphia, PA, USA, 1979. [Google Scholar]
- Lu, X.; Isacsson, U. Effect of ageing on bitumen chemistry and rheology. Constr. Build. Mater. 2002, 16, 15–22. [Google Scholar] [CrossRef]
- Stewart, S.P.; Bell, S.; Mcauley, D. Determination of hydrogen peroxide concentration using a handheld Raman spectrometer: Detection of an explosives precursor. Forensic Sci. Int. 2012, 216, e5. [Google Scholar] [CrossRef] [PubMed]
- Elbasuney, S.; El-Sherif, A.F. Complete spectroscopic picture of concealed explosives: Laser induced Raman versus infrared. TrAC Trends Anal. Chem. 2016, 85, 34–41. [Google Scholar] [CrossRef]
- Cheng, C.H.; Lehmann, J. Ageing of black carbon along a temperature gradient. Chemosphere 2009, 75, 1021–1027. [Google Scholar] [CrossRef] [PubMed]
- Cheng, C.H.; Lehmann, J.; Engelhard, M.H. Natural oxidation of black carbon in soils: Changes in molecular form and surface charge along a climosequence. Geochim. Cosmochim. Acta 2008, 72, 1598–1610. [Google Scholar] [CrossRef]
- Furtado, C.A.; Kim, U.J.; Liu, X.; Gutierrez, H.R.; Chen, G.; Gupta, A.; Eklund, P.C. Raman and IR Spectroscopy of Chemically-Processed Single-Walled Carbon Nanotubes. J. Am. Chem. Soc. 2005, 127, 15437–15445. [Google Scholar]
- China Ministry of Transport. JTG F40-2004 Technical Specification for Construction of Highway Asphalt Pavements [S]; China Communications Press: Beijing, China, 2004.
- Sun, Z.; Yi, J.; Huang, Y.; Feng, D.; Guo, C. Properties of asphalt binder modified by bio-oil derived from waste cooking oil. Constr. Build. Mater. 2016, 102, 496–504. [Google Scholar] [CrossRef]
- Liang, M.; Xin, X.; Fan, W.; Luo, H.; Wang, X.; Xing, B. Investigation of the rheological properties and storage stability of CR/SBS modified asphalt. Constr. Build. Mater. 2015, 74, 235–240. [Google Scholar] [CrossRef]
- Rutherford, T.; Wang, Z.; Shu, X.; Huang, B.; Clarke, D. Laboratory investigation into mechanical properties of cement emulsified asphalt mortar. Constr. Build. Mater. 2014, 65, 76–83. [Google Scholar] [CrossRef]
- Tu, L.; Wu, S.; Liu, G.; Zhou, X.; Ma, S. Effect of the Welan Gum Biopolymer on Rheological Properties and Storage Stability of Bitumens. J. Test. Eval. 2016, 44, 2211–2218. [Google Scholar] [CrossRef]
- Zeng, W.; Wu, S.; Pang, L.; Sun, Y.; Chen, Z. The Utilization of Graphene Oxide in Traditional Construction Materials: Asphalt. Materials 2017, 10, 48. [Google Scholar] [CrossRef] [PubMed]
- Kebria, D.Y.; Moafimadani, S.R.; Goli, Y. Laboratory investigation of the effect of crumb rubber on the characteristics and rheological behaviour of asphalt binder. Road Mater. Pavement Des. 2015, 16, 946–956. [Google Scholar] [CrossRef]
- Cai, Y.C.; Zheng, Y.X. Experiment Study of Water Stability of Fiber-Reinforced Asphalt Mixture. Adv. Mater. Res. 2011, 243–249, 710–716. [Google Scholar] [CrossRef]











| Asphalt | Technical Information | Units | Results | Requirements | Methods | 
|---|---|---|---|---|---|
| Virgin | Penetration (25 °C) | 0.1 mm | 70.3 | 60~80 | ASTM D5 [21] | 
| Softening point | °C | 47.5 | ≥46 | ASTM D36 [22] | |
| 60 °C dynamic viscosity | Pa.s | 185 | ≥180 | ASTM D4402 [23] | |
| 10 °C ductility | cm | 45 | ≥15 | ASTM D113 [24] | |
| After RTFOT | Mass loss | % | −0.18 | ±0.8 | ASTM D2872 [25] | 
| 25 °C residual penetration ratio | % | 65.7 | ≥61 | ASTM D5 | |
| 10 °C Residual ductility | cm | 9.0 | ≥6 | ASTM D113 | 
| Technical Information | Units | Results | |
|---|---|---|---|
| Chemical data | Iodine absorption value | g/kg | 81 | 
| PH value | - | 6.5 | |
| 45 µm mesh | ppm | 68 | |
| Heating loss | % | 2.4 | |
| Tensile properties (145 °C, 30 min) | Elongation at break | % | 565.2 | 
| Tensile strength | MPa | 25.8 | |
| Hardness | Shore hardness | % | 60.0 | 
| Aggregate | Technical Information | Results | |
|---|---|---|---|
| Coarse aggregate | Crushed stone value | 14.7% | |
| Los Angeles abrasion loss | 21.8% | ||
| Percentage passing 0.075 mm sieve by washed-sieve analysis | 0.18% | ||
| Soundness | 10% | ||
| Water absorption | 1.4% | ||
| Polished stone value | 44.7% | ||
| Affinity grade with asphalt | 4 grade | ||
| Fine aggregate | Clay content (percentage passing 0.075 mm sieve) | 1.1% | |
| Soundness | 11% | ||
| Sand equivalent value | 60.9% | ||
| Filler | Apparent density | 2.694 g/m3 | |
| Hydrophilic coefficient | 0.84 | ||
| Plasticity index | 3.0 | ||
| Gradation by percentage of mass passing sieve size | <0.60 mm | 100% | |
| <0.15 mm | 94.8% | ||
| <0.075 mm | 82.0% | ||
| Asphalt | 25 °C Penetration (0.1 mm) | Softening Point (°C) | 10°C Ductility (cm) | PI | T800 (°C) | T1.2 (°C) | Softening Point Difference (°C) | 
|---|---|---|---|---|---|---|---|
| GF-70 | 70.3 | 47.5 | 45.0 | −0.44 | 48.9 | −21.5 | - | 
| TPCB/GF-70 | 59.4 | 50.4 | 18.7 | −0.29 | 51.7 | −15.8 | 0.7 | 
| Asphalt | Unit | Critical Low Temperature Based on Stiffness | Critical Low Temperature Based on m-Value | 
|---|---|---|---|
| GF-70 | °C | −24.4 | −24.2 | 
| TPCB/GF-70 | °C | −22.6 | −22.6 | 
| Dosage of AHO (%) | Penetration (100 g, 5 s, 0.1 mm) | Ductility (cm) | Softening Point (°C) | PI | T800 (°C) | T1.2 (°C) | ||
|---|---|---|---|---|---|---|---|---|
| 30 °C | 25 °C | 15 °C | ||||||
| 0 | 100.3 | 59.4 | 23.5 | 18.7 | 50.4 | −0.29 | 51.7 | −15.8 | 
| 0.3 | 104.3 | 63.4 | 24.6 | 19.3 | 49.8 | −0.28 | 51.3 | −16.4 | 
| 0.6 | 105.9 | 67.5 | 25.5 | 21.6 | 49.5 | −0.23 | 51.1 | −17.1 | 
| 0.9 | 110.4 | 71.3 | 26.9 | 23.8 | 49.1 | −0.18 | 50.8 | −17.9 | 
| 1.2 | 115.6 | 75.9 | 28.4 | 26.4 | 48.9 | −0.15 | 50.4 | −18.7 | 
| Mixture | Passing Ratio of Every Mesh (%) | |||||||||||
| 26.5 | 19 | 16 | 13.2 | 9.5 | 4.75 | 2.36 | 1.18 | 0.6 | 0.3 | 0.15 | 0.075 | |
| AC-13 | 100 | 100 | 100 | 95.2 | 80.4 | 53.2 | 36.9 | 25.8 | 17.2 | 11.5 | 8.1 | 6.4 | 
| AC-20 | 100 | 93.6 | 84.3 | 71.4 | 61.2 | 41.8 | 29.4 | 21.8 | 15.2 | 10.0 | 7.2 | 5.7 | 
| Mixtures | Asphalt | Optical Oil Aggregate Ratio (%) | 
| AC-20 | GF70 | 4.5 | 
| TPCB/GF70 | 4.6 | |
| AC-13 | GF70 | 5.1 | 
| TPCB/GF70 | 5.2 | 
© 2018 by the authors. Licensee MDPI, Basel, Switzerland. This article is an open access article distributed under the terms and conditions of the Creative Commons Attribution (CC BY) license (http://creativecommons.org/licenses/by/4.0/).
Share and Cite
Li, C.; Fan, Z.; Wu, S.; Li, Y.; Gan, Y.; Zhang, A. Effect of Carbon Black Nanoparticles from the Pyrolysis of Discarded Tires on the Performance of Asphalt and its Mixtures. Appl. Sci. 2018, 8, 624. https://doi.org/10.3390/app8040624
Li C, Fan Z, Wu S, Li Y, Gan Y, Zhang A. Effect of Carbon Black Nanoparticles from the Pyrolysis of Discarded Tires on the Performance of Asphalt and its Mixtures. Applied Sciences. 2018; 8(4):624. https://doi.org/10.3390/app8040624
Chicago/Turabian StyleLi, Chuangmin, Ziran Fan, Shaopeng Wu, Yuanyuan Li, Youwei Gan, and Aoming Zhang. 2018. "Effect of Carbon Black Nanoparticles from the Pyrolysis of Discarded Tires on the Performance of Asphalt and its Mixtures" Applied Sciences 8, no. 4: 624. https://doi.org/10.3390/app8040624
APA StyleLi, C., Fan, Z., Wu, S., Li, Y., Gan, Y., & Zhang, A. (2018). Effect of Carbon Black Nanoparticles from the Pyrolysis of Discarded Tires on the Performance of Asphalt and its Mixtures. Applied Sciences, 8(4), 624. https://doi.org/10.3390/app8040624
 
        



 
       