Unidirectional Slow Light Transmission in Heterostructure Photonic Crystal Waveguide
Abstract
Featured Application
Abstract
1. Introduction
2. Theoretical Background
3. Model Design and Simulation Results
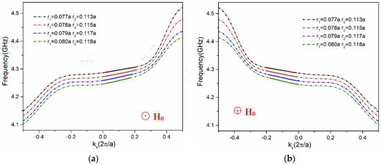
3.1. The Unidirectinal Waveguide and the Edge Modes
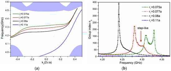
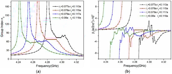
3.2. Slow Light Properties
3.3. Backscattering-Immune Feature
4. Conclusions
Author Contributions
Funding
Conflicts of Interest
References
- Thévenaz, L. Slow and fast light in optical fibres. Nat. Mater. 2008, 2, 474–481. [Google Scholar] [CrossRef]
 - Krauss, T.F. Why do we need slow light. Nat. Photonics 2008, 2, 448–450. [Google Scholar] [CrossRef]
 - Castellanos Munoz, M.; Petrov, A.Y.; O’Faolain, L.; Li, J.; Krauss, T.F.; Eich, M. Optically induced indirect photonic transitions in a slow light photonic crystal waveguide. Phys. Rev. Lett. 2014, 112, 053904. [Google Scholar] [CrossRef] [PubMed]
 - Scullion, M.G.; Arita, Y.; Krauss, T.F.; Dholakia, K. Enhancement of optical forces using slow light in a photonic crystal waveguide. Optica 2015, 2, 816. [Google Scholar] [CrossRef]
 - Yan, S.; Zhu, X.; Frandsen, L.H.; Xiao, S.; Mortensen, N.A.; Dong, J.; Ding, Y. Slow-light-enhanced energy efficiency for graphene microheaters on silicon photonic crystal waveguides. Nat. Commun. 2017, 8, 14411. [Google Scholar] [CrossRef] [PubMed]
 - Monat, C.; Grillet, C.; Collins, M.; Clark, A.; Schroeder, J.; Xiong, C.; Li, J.; O’Faolain, L.; Krauss, T.F.; Eggleton, B.J.; et al. Integrated optical auto-correlator based on third-harmonic generation in a silicon photonic crystal waveguide. Nat. Commun. 2014, 5, 3246. [Google Scholar] [CrossRef] [PubMed]
 - Zhao, Y.; Zhang, Y.N.; Qi Wang, M.; Hu, H. Review on the Optimization Methods of Slow Light in Photonic Crystal Waveguide. IEEE Trans. Nanotechnol. 2015, 14, 407–426. [Google Scholar] [CrossRef]
 - Tamura, T.; Kondo, K.; Terada, Y.; Hinakura, Y.; Ishikura, N.; Baba, T. Silica-Clad Silicon Photonic Crystal Waveguides for Wideband Dispersion-Free Slow Light. J. Lightw. Technol. 2015, 33, 3034–3040. [Google Scholar] [CrossRef]
 - Serna, S.; Colman, P.; Zhang, W.; Le Roux, X.; Caer, C.; Vivien, L.; Cassan, E. Experimental GVD engineering in slow light slot photonic crystal waveguides. Sci. Rep. 2016, 6, 26956. [Google Scholar] [CrossRef] [PubMed]
 - Passoni, M.; Gerace, D.; O’Faolain, L.; Andreani, L.C. Optimizing band-edge slow light in silicon-on-insulator waveguide gratings. Opt. Exp. 2018, 26, 8470–8478. [Google Scholar] [CrossRef] [PubMed]
 - Kondo, K.; Tatebe, T.; Hachuda, S.; Abe, H.; Koyama, F.; Baba, T. Fan-beam steering device using a photonic crystal slow-light waveguide with surface diffraction grating. Opt. Lett. 2017, 42, 4990–4993. [Google Scholar] [CrossRef] [PubMed]
 - Elshahat, S.; Khan, K.; Yadav, A.; Bibbò, L.; Ouyang, Z. Slow-light transmission with high group index and large normalized delay bandwidth product through successive defect rods on intrinsic photonic crystal waveguide. Opt. Commun. 2018, 418, 73–79. [Google Scholar] [CrossRef]
 - Ebnali-Heidari, A.; Prokop, C.; Heidari, M.E.; Karnutsch, C. A Proposal for Loss Engineering in Slow-Light Photonic Crystal Waveguides. J. Lightw. Technol. 2015, 33, 1905–1912. [Google Scholar] [CrossRef]
 - Minkov, M.; Savona, V. Wide-band slow light in compact photonic crystal coupled-cavity waveguides. Optica 2015, 2, 631–634. [Google Scholar] [CrossRef]
 - Schulz, S.A.; Upham, J.; O’Faolain, L.; Boyd, R.W. Photonic crystal slow light waveguides in a kagome lattice. Opt. Lett. 2017, 42, 3243–3246. [Google Scholar] [CrossRef] [PubMed]
 - Tang, J.; Wang, T.; Li, X.; Wang, B.; Dong, C.; Gao, L.; Liu, B.; He, Y.; Yan, W. Wideband and Low Dispersion Slow Light in Lattice-Shifted Photonic Crystal Waveguides. J. Lightw. Technol. 2013, 31, 3188–3194. [Google Scholar] [CrossRef]
 - Johnson, S.G.; Povinelli, M.L.; Soljaci, M.; Karalis, A.; Jacobs, S.; Joannopoulos, J.D. Roughness losses and volume-current methods in photonic-crystal waveguides. Appl. Phys. B 2005, 81, 283–293. [Google Scholar] [CrossRef]
 - Povinelli, M.L.; Johnson, S.G.; Lidorikis, E.; Joannopoulos, J.D.; Soljačić, M. Effect of a photonic band gap on scattering from waveguide disorder. Appl. Phys. Lett. 2004, 84, 3639–3641. [Google Scholar] [CrossRef]
 - Hughes, S.; Ramunno, L.; Young, J.F.; Sipe, J.E. Extrinsic optical scattering loss in photonic crystal waveguides: Role of fabrication disorder and photon group velocity. Phys. Rev. Lett. 2005, 94, 033903. [Google Scholar] [CrossRef] [PubMed]
 - Kuramochi, E.; Notomi, M.; Hughes, S.; Shinya, A.; Watanabe, T.; Ramunno, L. Disorder-induced scattering loss of line-defect waveguides in photonic crystal slabs. Phys. Rev. B 2005, 72. [Google Scholar] [CrossRef]
 - Ao, X.; Lin, Z.; Chan, C.T. One-way edge mode in a magneto-optical honeycomb photonic crystal. Phys. Rev. B 2009, 80, 033105. [Google Scholar] [CrossRef]
 - He, C.; Sun, X.C.; Liu, X.P.; Lu, M.H.; Chen, Y.; Feng, L.; Chen, Y.F. Photonic topological insulator with broken time-reversal symmetry. Proc. Natl. Acad. Sci. USA 2016, 113, 4924–4928. [Google Scholar] [CrossRef] [PubMed]
 - Khanikaev, A.B.; Mousavi, S.H.; Tse, W.-K.; Kargarian, M.; MacDonald, A.H.; Shvets, G. Photonic topological insulators. Nat. Mater. 2013, 12. [Google Scholar] [CrossRef] [PubMed]
 - Lu, L.; Joannopoulos, J.D.; Soljačić, M. Topological Photonics. Nat. Photonics 2014, 8, 821–829. [Google Scholar] [CrossRef]
 - Haldane, F.D.M.; Raghu, S. Possible realization of directional optical waveguides in photonic crystals with broken time-reversal symmetry. Phys. Rev. Lett. 2008, 100, 013904. [Google Scholar] [CrossRef] [PubMed]
 - Raghu, S.; Haldane, F.D.M. Analogs of quantum-Hall-effect edge states in photonic crystals. Phys. Rev. A 2008, 78. [Google Scholar] [CrossRef]
 - Wang, Z.; Chong, Y.; Joannopoulos, J.D.; Soljacic, M. Observation of unidirectional backscattering-immune topological electromagnetic states. Nature 2009, 461, 772–775. [Google Scholar] [CrossRef] [PubMed]
 - Wang, Z.; Chong, Y.D.; Joannopoulos, J.D.; Soljacic, M. Reflection-free one-way edge modes in a gyromagnetic photonic crystal. Phys. Rev. Lett. 2008, 100, 013905. [Google Scholar] [CrossRef] [PubMed]
 - Poo, Y.; Wu, R.X.; Lin, Z.; Yang, Y.; Chan, C.T. Experimental realization of self-guiding unidirectional electromagnetic edge states. Phys. Rev. Lett. 2011, 106, 093903. [Google Scholar] [CrossRef] [PubMed]
 - Hafezi, M.; Demler, E.A.; Lukin, M.D.; Taylor, J.M. Robust optical delay lines with topological protection. Nat. Phys. 2011, 7, 907–912. [Google Scholar] [CrossRef]
 - Kurt, H.; Üstün, K.; Ayas, L. Study of different spectral regions and delay bandwidth relation in slow light photonic crystal waveguides. Opt. Exp. 2010, 18, 26965–26977. [Google Scholar] [CrossRef] [PubMed]
 - Liang, J.; Ren, L.Y.; Yun, M.J.; Han, X.; Wang, X.J. Wideband ultraflat slow light with large group index in a W1 photonic crystal waveguide. J. Appl. Phys. 2011, 110, 063103. [Google Scholar] [CrossRef]
 - Pourmand, M.; Karimkhani, A.; Nazari, F. Wideband and low-dispersion engineered slow light using liquid infiltration of a modified photonic crystal waveguide. Appl. Opt. 2016, 55, 10060–10066. [Google Scholar] [CrossRef] [PubMed]
 - Lü, S.; Zhao, J.; Zhang, D. Flat band slow light in asymmetric photonic crystal waveguide based on microfluidic infiltration. Appl. Opt. 2010, 49, 3930–3934. [Google Scholar] [CrossRef] [PubMed]
 - Ebnali-Heidari, M.; Grillet, C.; Monat, C.; Eggleton, B.J. Dispersion engineering of slow light photonic crystal waveguides using microfluidic infiltration. Opt. Exp. 2009, 17, 1628–1635. [Google Scholar] [CrossRef]
 - Nazari, F.; Samsami Khodadad, F. On chip optical isolator based on non-linear silicon photonic crystal by using asymmetric engineering waveguide. J. Mod. Opt. 2017, 64, 653–658. [Google Scholar] [CrossRef]
 - Üstün, K.; Kurt, H. Ultra slow light achievement in photonic crystals by merging coupled cavities with waveguides. Opt. Exp. 2010, 20, 21155–21161. [Google Scholar] [CrossRef] [PubMed]
 - Xu, Y.; Xiang, L.; Cassan, E.; Gao, D.; Zhang, X. Slow light in an alternative row of ellipse-hole photonic crystal waveguide. Appl. Opt. 2013, 52, 1155–1160. [Google Scholar] [CrossRef] [PubMed]
 - Hao, R.; Cassan, E.; Kurt, H.; Roux, X.L.; Marris-Morini, D.; Vivien, L.; Wu, H.; Zhou, Z.; Zhang, X. Novel slow light waveguide with controllable delay-bandwidth product and utra-low dispersion. Opt. Exp. 2010, 18, 5492–5950. [Google Scholar] [CrossRef] [PubMed]
 - Petrov, A.Y.; Eich, M. Zero dispersion at small group velocities in photonic crystal waveguides. Appl. Phys. Lett. 2004, 85, 4866–4868. [Google Scholar] [CrossRef]
 - Lenz, G.; Eggleton, B.J.; Madsen, C.K.; Slusher, R.E. Optical Delay Lines Based on Optical Filters. IEEE J. Quantum Electron. 2001, 37, 525–532. [Google Scholar] [CrossRef]
 - Frandsen, L.H.; Lavrinenko, A.V.; Fage-Pedersen, J.; Borel, P.I. Photonic crystal waveguides with semi-slow light and tailored dispersion properties. Opt. Exp. 2006, 14, 9444–9450. [Google Scholar] [CrossRef]
 - Engelen, R.J.P.; Sugimoto, Y.; Watanabe, Y.; Korterik, J.P.; Ikeda, N.; Hulst, N.F.; Asakawa, K.; Kuipers, L. The effect of higher-order dispersion on slow light propagation in photonic crystal waveguides. Opt. Exp. 2006, 14, 1658–1672. [Google Scholar] [CrossRef]
 - Ma, J.; Jiang, C. Demonstration of Ultraslow Modes in Asymmetric Line-Defect Photonic Crystal Waveguides. IEEE Photonics Technol. Lett. 2008, 20, 1237–1239. [Google Scholar] [CrossRef]
 - Pozar, D.M. Microwave Engineering, 4st ed.; Wiley: New York, NY, USA, 2012; pp. 452–458. ISBN 978-0-470-63155-3. [Google Scholar]
 - Hou, J.; Gao, D.; Wu, H.; Hao, R.; Zhou, Z. Flat Band Slow Light in Symmetric Line Defect Photonic Crystal Waveguides. IEEE Photonics Technol. Lett. 2009, 21, 1571–1573. [Google Scholar] [CrossRef]
 - Aghababaeian, H.; Vadjed-Samiei, M.H.; Granpayeh, N. Temperature Stabilization of Group Index in Silicon Slotted Photonic Crystal Waveguides. J. Opt. Soc. Korea 2011, 15, 398–402. [Google Scholar] [CrossRef]
 - Tian, H.; Zhou, J.; Zhai, Y.; Ji, Y. Flat Band Slow Light Performance in Dual-Slot Silicon-on-Insulator Based Photonic Crystal Waveguide. Jpn. J. Appl. Phys. 2013, 52, 032001. [Google Scholar] [CrossRef]
 








| Current Work | Optimized Parameters | Average Group Index | Frequency Bandwidth | NDBP Values | 
| , | 77 | 0.444% | 0.342 | |
| , | 68 | 0.481% | 0.327 | |
| , | 64 | 0.485% | 0.311 | |
| , | 60 | 0.491% | 0.295 | |
| Previous Work | Modification of the Rod Radius | Average Group Index | Frequency Bandwidth | NDBP Values | 
| Ref. [31] | 22.85 | 0.813% | 0.186 | |
| Ref. [46] | 26 | 0.896% | 0.233 | |
| Ref. [47] | 40 | 0.65% | 0.258 | |
| Ref. [48] | 62 | 0.43% | 0.268 | 
© 2018 by the authors. Licensee MDPI, Basel, Switzerland. This article is an open access article distributed under the terms and conditions of the Creative Commons Attribution (CC BY) license (http://creativecommons.org/licenses/by/4.0/).
Share and Cite
Zhang, Q.; Li, X. Unidirectional Slow Light Transmission in Heterostructure Photonic Crystal Waveguide. Appl. Sci. 2018, 8, 1858. https://doi.org/10.3390/app8101858
Zhang Q, Li X. Unidirectional Slow Light Transmission in Heterostructure Photonic Crystal Waveguide. Applied Sciences. 2018; 8(10):1858. https://doi.org/10.3390/app8101858
Chicago/Turabian StyleZhang, Qiuyue, and Xun Li. 2018. "Unidirectional Slow Light Transmission in Heterostructure Photonic Crystal Waveguide" Applied Sciences 8, no. 10: 1858. https://doi.org/10.3390/app8101858
APA StyleZhang, Q., & Li, X. (2018). Unidirectional Slow Light Transmission in Heterostructure Photonic Crystal Waveguide. Applied Sciences, 8(10), 1858. https://doi.org/10.3390/app8101858
        
