Dynamic Analytical Solution of a Piezoelectric Stack Utilized in an Actuator and a Generator
Abstract
1. Introduction
2. Basic Equations
3. Dynamic Analytical Solutions of Piezoelectric Stacks
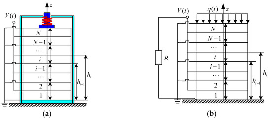
3.1. Model A: Piezoelectric Stack Subjected to a Voltage Load
3.2. Model B: Piezoelectric Stack Subjected to a Uniformly Distributed Load
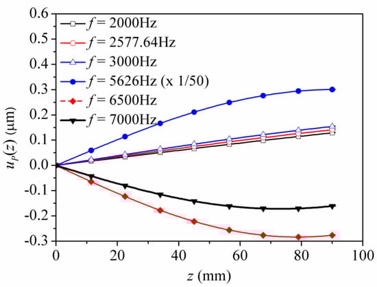
4. Comparison and Discussion
5. Conclusions
Author Contributions
Funding
Conflicts of Interest
References
- Dubus, B.; Haw, G.; Granger, C.; Ledez, O. Characterization of multilayered piezoelectric ceramics for high power transducers. Ultrasonics 2002, 40, 903–906. [Google Scholar] [CrossRef]
- Yao, K.; Uchino, K.; Xu, Y.; Dong, S.; Lim, L.C. Compact piezoelectric stacked actuators for high power applications. IEEE Trans. Ultrason. Ferroelectr. Freq. Control 2000, 47, 819–825. [Google Scholar] [PubMed]
- Sasaki, Y.; Umeda, M.; Takahashi, S.; Yamamoto, M.; Ochi, A.; Inoue, T. High-power characteristics of multilayer piezoelectric ceramic transducers. Jpn. J. Appl. Phys. 2001, 40, 5743–5746. [Google Scholar] [CrossRef]
- Xiang, H.J.; Shi, Z.F. Static analysis for multi-layered piezoelectric cantilevers. Int. J. Solids Struct. 2008, 45, 113–128. [Google Scholar] [CrossRef]
- Yang, Z.T.; Yang, J.S. Connected vibrating piezoelectric bimorph beams as a wide-band piezoelectric power harvester. J. Intell. Mater. Syst. Struct. 2009, 20, 569–574. [Google Scholar] [CrossRef]
- Xiang, H.J.; Shi, Z.F. Static analysis of a multilayer piezoelectric actuator with bonding layers and electrodes. Smart Struct. Syst. 2009, 5, 547–564. [Google Scholar] [CrossRef]
- Tang, L.; Yang, Y. A multiple-degree-of-freedom piezoelectric energy harvesting model. J. Intell. Mater. Syst. Struct. 2012, 23, 1631–1647. [Google Scholar] [CrossRef]
- Tang, L.; Zhao, L.; Yang, Y.; Lefeuvre, E. Equivalent circuit representation and analysis of galloping-based wind energy harvesting. IEEE/ASME Trans. Mechatron. 2014, 20, 834–844. [Google Scholar] [CrossRef]
- Yang, Y.; Zhao, L.; Tang, L. Comparative study of tip cross-sections for efficient galloping energy harvesting. Appl. Phys. Lett. 2013, 102, 064105. [Google Scholar] [CrossRef]
- Lim, C.W.; Chen, W.Q.; Zeng, Q.C. Exact solution for thick, laminated piezoelectric beams. Mech. Adv. Mater. Struct. 2007, 14, 81–87. [Google Scholar] [CrossRef]
- Shi, Z.F.; Zhao, S. The resonance frequency of laminated piezoelectric rectangular plates. IEEE Trans. Ultrason. Ferroelectr. Freq. Control 2011, 58, 623–628. [Google Scholar] [PubMed]
- Cheng, Z.Q.; Lim, C.W.; Kitipornchai, S. Three-dimensional asymptotic approach to inhomogeneous and laminated piezoelectric plates. Int. J. Solids Struct. 2000, 37, 3153–3175. [Google Scholar] [CrossRef]
- Xu, D.Y.; Cheng, X.; Huang, S.F.; Jiang, M.H. Electromechanical properties of 2-2 cement based piezoelectric composite. Curr. Appl. Phys. 2009, 9, 816–819. [Google Scholar] [CrossRef]
- Xu, D.Y.; Cheng, X.; Huang, S.F.; Jiang, M.H. Effect of cement matrix and composite thickness on properties of 2-2 type cement-based piezoelectric composites. J. Compos. Mater. 2011, 45, 2083–2089. [Google Scholar]
- Zhang, T.T. Theoretical analyses for a 2-2 cement-based piezoelectric curved composite with electrode layers. Smart Struct. Syst. 2014, 14, 961–980. [Google Scholar] [CrossRef]
- Zhang, T.T.; Dong, S.; Liu, W. The dynamic characteristics of 2-2 cement-based piezoelectric composite with electrode layers. Mater. Res. Innov. 2015, 19. S9-181-S189-186. [Google Scholar] [CrossRef]
- Zhang, T.T.; Liao, Y.; Zhang, K.; Chen, J. Theoretical analysis of the dynamic properties of a 2-2 cement-based piezoelectric dual-layer stacked sensor under impact load. Sensors 2017, 17, 1019. [Google Scholar] [CrossRef] [PubMed]
- Zhang, T.T.; Zhang, K.; Liu, W.; Liao, Y. Impact mechanical response of a 2-2 cement-based piezoelectric sensor considering the electrode layer effect. Sensors 2017, 17, 2035. [Google Scholar] [CrossRef]
- Wang, L.; Qin, L.; Li, W.; Zhang, B.; Lu, Y.; Li, G. Analysis on radial vibration of a stack of piezoelectric shells. Ceram. Int. 2015, 41, S856–S860. [Google Scholar] [CrossRef]
- Wang, J.J.; Wei, P.; Qin, L.; Tang, L. Modeling and analysis of multilayer piezoelectric-elastic spherical transducers. J. Intell. Mater. Syst. Struct. 2018, 29, 2437–2455. [Google Scholar] [CrossRef]
- Lee, D.G.; Or, S.W.; Carman, G.P. Design of a piezoelectric-hydraulic pump with active valves. J. Intell. Mater. Syst. Struct. 2004, 15, 107–115. [Google Scholar] [CrossRef]
- Li, J.; Sedaghati, R.; Dargahi, J.; Waechter, D. Design and development of a new piezoelectric linear inchworm® actuator. Mechatronics 2005, 15, 651–681. [Google Scholar] [CrossRef]
- Tolliver, L.; Xu, T.B.; Jiang, X. Finite element analysis of the piezoelectric stacked-hybats transducer. Smart Mater. Struct. 2013, 22, 035015. [Google Scholar] [CrossRef]
- Liu, J.; Liu, Y.; Zhao, L.; Xu, D.; Chen, W.; Deng, J. Design and experiments of a single-foot linear piezoelectric actuator operated in stepping mode. IEEE Trans. Ind. Electron. 2018, 65, 8063–8071. [Google Scholar] [CrossRef]
- Liu, Y.; Yan, J.; Xu, D.; Chen, W.; Yang, X.; Tian, X. An i-shape linear piezoelectric actuator using resonant type longitudinal vibration transducers. Mechatronics 2016, 40, 87–95. [Google Scholar] [CrossRef]
- Shao, S.; Shi, S.; Chen, W.; Liu, J.; Liu, Y. Research on a linear piezoelectric actuator using t-shape transducer to realize high mechanical output. Appl. Sci. 2016, 6, 103. [Google Scholar] [CrossRef]
- Zhao, S.; Erturk, A. Deterministic and band-limited stochastic energy harvesting from uniaxial excitation of a multilayer piezoelectric stack. Sens. Actuators A 2014, 214, 58–65. [Google Scholar] [CrossRef]
- Zhao, S.; Erturk, A. Energy harvesting from harmonic and noise excitation of multilayer piezoelectric stacks: Modeling and experiment. Act. Passive Electron. Compon. 2013, 8688, 86881Q. [Google Scholar]
- Sun, C.; Shang, G.; Zhu, X.; Tao, Y.; Li, Z. Modeling for Piezoelectric Stacks in Series and Parallel. In Proceedings of the 2013 Third International Conference on Intelligent System Design and Engineering Applications (ISDEA), Hongkong, China, 16–18 January 2013; IEEE: Piscataway, NJ, USA, 2013; pp. 954–957. [Google Scholar]
- Xu, T.B.; Siochi, E.J.; Kang, J.H.; Zuo, L.; Zhou, W.; Tang, X.; Jiang, X. Energy harvesting using a PZT ceramic multilayer stack. Smart Mater. Struct. 2013, 22, 065015. [Google Scholar] [CrossRef]
- Lee, A.J.; Wang, Y.; Inman, D.J. Energy harvesting of piezoelectric stack actuator from a shock event. J. Vib. Acoust. 2014, 136, 011016. [Google Scholar] [CrossRef]
- Feenstra, J.; Granstrom, J.; Sodano, H.A. Energy harvesting through a backpack employing a mechanically amplified piezoelectric stack. Mech. Syst. Signal Process. 2008, 22, 721–734. [Google Scholar] [CrossRef]
- Platt, S.R.; Farritor, S.; Haider, H. On low-frequency electric power generation with PZT ceramics. IEEE/ASME Trans. Mechatron. 2005, 10, 240–252. [Google Scholar] [CrossRef]
- Almouahed, S.; Gouriou, M.; Hamitouche, C.; Stindel, E.; Roux, C. The use of piezoceramics as electrical energy harvesters within instrumented knee implant during walking. IEEE/ASME Trans. Mech. 2011, 16, 799–807. [Google Scholar] [CrossRef]
- Zhang, Y.K.; Lu, T.F.; Peng, Y. Three-port equivalent circuit of multi-layer piezoelectric stack. Sens. Actuators A 2015, 236, 92–97. [Google Scholar] [CrossRef]
- Lin, S.; Xu, J. Effect of the matching circuit on the electromechanical characteristics of sandwiched piezoelectric transducers. Sensors 2017, 17, 329. [Google Scholar] [CrossRef] [PubMed]
- Lin, S. Study on the parallel electric matching of high power piezoelectric transducers. Acta Acust. United Acust. 2017, 103, 385–391. [Google Scholar] [CrossRef]
- Lin, S. Effect of electric load impedances on the performance of sandwich piezoelectric transducers. IEEE Trans. Ultrason. Ferroelectr. Freq. Control 2004, 51, 1280–1286. [Google Scholar] [PubMed]
- Kim, S. Low Power Energy Harvesting with Piezoelectric Generators. Ph.D. Thesis, University of Pittsburgh, Pittsburgh, PA, USA, 2002. [Google Scholar]
- Flint, E.M.; Liang, C.; Rogers, C.A. Electromechanical analysis of piezoelectric stack active member power consumption. J. Intell. Mater. Syst. Struct. 1995, 6, 117–124. [Google Scholar] [CrossRef]
- Zhang, Y.K.; Lu, T.F.; Al-Sarawi, S. Formulation of a simple distributed-parameter model of multilayer piezoelectric actuators. J. Intell. Mater. Syst. Struct. 2016, 27, 1485–1491. [Google Scholar] [CrossRef]
- Zhang, Y.K.; Tu, Z.; Lu, T.F.; Al-Sarawi, S. A simplified transfer matrix of multi-layer piezoelectric stack. J. Intell. Mater. Syst. Struct. 2017, 28, 595–603. [Google Scholar] [CrossRef]
- Qian, F.; Xu, T.B.; Zuo, L. Design, optimization, modeling and testing of a piezoelectric footwear energy harvester. Energy Convers. Manag. 2018, 171, 1352–1364. [Google Scholar] [CrossRef]
- Wang, J.J.; Shi, Z.F.; Xiang, H.J.; Song, G. Modeling on energy harvesting from a railway system using piezoelectric transducers. Smart Mater. Struct. 2015, 24, 105017. [Google Scholar] [CrossRef]
- Jiang, X.; Li, Y.; Li, J.; Wang, J.; Yao, J. Piezoelectric energy harvesting from traffic-induced pavement vibrations. J. Renew. Sustain. Energy 2014, 6, 043110. [Google Scholar] [CrossRef]
- Senousy, M.; Li, F.; Mumford, D.; Gadala, M.; Rajapakse, N. Thermo-electro-mechanical performance of piezoelectric stack actuators for fuel injector applications. J. Intell. Mater. Syst. Struct. 2008, 20, 387–399. [Google Scholar] [CrossRef]
- Senousy, M.S.; Rajapakse, R.K.N.D.; Mumford, D.; Gadala, M.S. Self-heat generation in piezoelectric stack actuators used in fuel injectors. Smart Mater. Struct. 2009, 18, 045008. [Google Scholar] [CrossRef]
- Arnold, F.J.; Bravo-Roger, L.L.; Gonçalves, M.S.; Grilo, M. Characterization of sandwiched piezoelectric transducers-a complement for teaching electric circuits. Lat. Am. J. Phys. Educ. 2012, 6, 216–220. [Google Scholar]
- Arnold, F.J.; Mühlen, S.S. The resonance frequencies on mechanically pre-stressed ultrasonic piezotransducers. Ultrasonics 2001, 39, 1–5. [Google Scholar] [CrossRef]
- Arnold, F.J.; Mühlen, S.S. The mechanical pre-stressing in ultrasonic piezotransducers. Ultrasonics 2001, 39, 7–11. [Google Scholar] [CrossRef]
- Zhang, T.T.; Shi, Z.F. Two-dimensional exact analysis for piezoelectric curved actuators. J. Micromech. Microeng. 2006, 16, 640–647. [Google Scholar] [CrossRef]
- Zhang, T.T.; Shi, Z.F. Bending behavior of 2-2 multi-layered piezoelectric curved actuators. Smart Mater. Struct. 2007, 16, 634–641. [Google Scholar] [CrossRef]
- Zhang, T.T.; Shi, Z.F. Exact analysis of the dynamic properties of a 2-2 cement based piezoelectric transducer. Smart Mater. Struct. 2011, 20, 085017. [Google Scholar] [CrossRef]
- Huang, D.J.; Ding, H.J.; Chen, W.Q. Piezoelasticity solutions for functionally graded piezoelectric beams. Smart Mater. Struct. 2007, 16, 687–695. [Google Scholar] [CrossRef]
- Huang, D.J.; Ding, H.J.; Chen, W.Q. Analysis of functionally graded and laminated piezoelectric cantilever actuators subjected to constant voltage. Smart Mater. Struct. 2008, 17, 065002. [Google Scholar] [CrossRef]
- Chen, W.Q.; Ding, H.J.; Xu, R.Q. Three-dimensional static analysis of multi-layered piezoelectric hollow spheres via the state space method. Int. J. Solids Struct. 2001, 38, 4921–4936. [Google Scholar] [CrossRef]
- Duggen, L.; Willatzen, M.; Lassen, B. Crystal orientation effects on the piezoelectric field of strained zinc-blende quantum-well structures. Phys. Rev. B 2008, 78, 205323. [Google Scholar] [CrossRef]
- Auld, B.A. Acoustic Fields and Waves in Solids; Wiley: New York, NY, USA, 1973. [Google Scholar]
- Duggen, L.; Willatzen, M. Crystal orientation effects on wurtzite quantum well electromechanical fields. Phys. Rev. B 2010, 82, 205303. [Google Scholar] [CrossRef]
- Duggen, L.; Willatzen, M. Acousto-optical phonon excitation in piezoelectric wurtzite slabs and crystal growth orientation effects. Semicond. Sci. Technol. 2017, 32, 064001. [Google Scholar] [CrossRef]
- Duggen, L.; Willatzen, M. Acousto-optical phonon excitation in cubic piezoelectric slabs and crystal growth orientation effects. Phys. Rev. B 2017, 95, 035310. [Google Scholar] [CrossRef]









| Parameters | Symbol | Actuator [40] | Generator [32] |
|---|---|---|---|
| Elastic constant (elastic modulus) | 32.7 | 44 | |
| Piezoelectric constant | 427 | 650 | |
| Dielectric constant | (nF/m) | 2203 | 6802 |
| Density | (kg/m2) | 7800 | 5750 |
| Number of layers | N | 182 | 130 |
| Layer thickness | (mm) | 0.5 | 0.123 |
| Stack area | S (mm2) | 78.5 | 25 |
| Stack length | L (mm) | 91 | 16 |
| Spring stiffness | 9.66 | ~ | |
| Spring damping | 0.01 | ~ | |
| Spring mass | (g) | 7.3 | ~ |
| Output rod mass | (g) | 0.4 | ~ |
| Mechanical loss factor | 8.33 × 10−3 | ~ | |
| Dielectric loss factor | 15 × 10−3 | ~ |
© 2018 by the authors. Licensee MDPI, Basel, Switzerland. This article is an open access article distributed under the terms and conditions of the Creative Commons Attribution (CC BY) license (http://creativecommons.org/licenses/by/4.0/).
Share and Cite
Liu, X.; Wang, J.; Li, W. Dynamic Analytical Solution of a Piezoelectric Stack Utilized in an Actuator and a Generator. Appl. Sci. 2018, 8, 1779. https://doi.org/10.3390/app8101779
Liu X, Wang J, Li W. Dynamic Analytical Solution of a Piezoelectric Stack Utilized in an Actuator and a Generator. Applied Sciences. 2018; 8(10):1779. https://doi.org/10.3390/app8101779
Chicago/Turabian StyleLiu, Xinnan, Jianjun Wang, and Weijie Li. 2018. "Dynamic Analytical Solution of a Piezoelectric Stack Utilized in an Actuator and a Generator" Applied Sciences 8, no. 10: 1779. https://doi.org/10.3390/app8101779
APA StyleLiu, X., Wang, J., & Li, W. (2018). Dynamic Analytical Solution of a Piezoelectric Stack Utilized in an Actuator and a Generator. Applied Sciences, 8(10), 1779. https://doi.org/10.3390/app8101779

