A Novel Approach for the Estimation of Doubly Spread Acoustic Channels Based on Wavelet Transform
Abstract
:1. Introduction
- We propose to use a superimposed HFM signal as training signal and prove that the HFM up sweep and down sweep signals will not interfere each other for WT.
- We propose an iterative algorithm to estimate MSML channel based on WT.
- We use computer simulations based on BELLHOP to investigate the performance of the proposed algorithm, and make comparisons with OMP algorithm.
- We present the complexity analysis of the proposed algorithm as well as OMP algorithm.
2. Channel Model
3. WT-Based Sparse Channel Estimation
3.1. HFM Signal
3.2. CWT
3.3. WT-Based Algorithm
4. Simulation Results
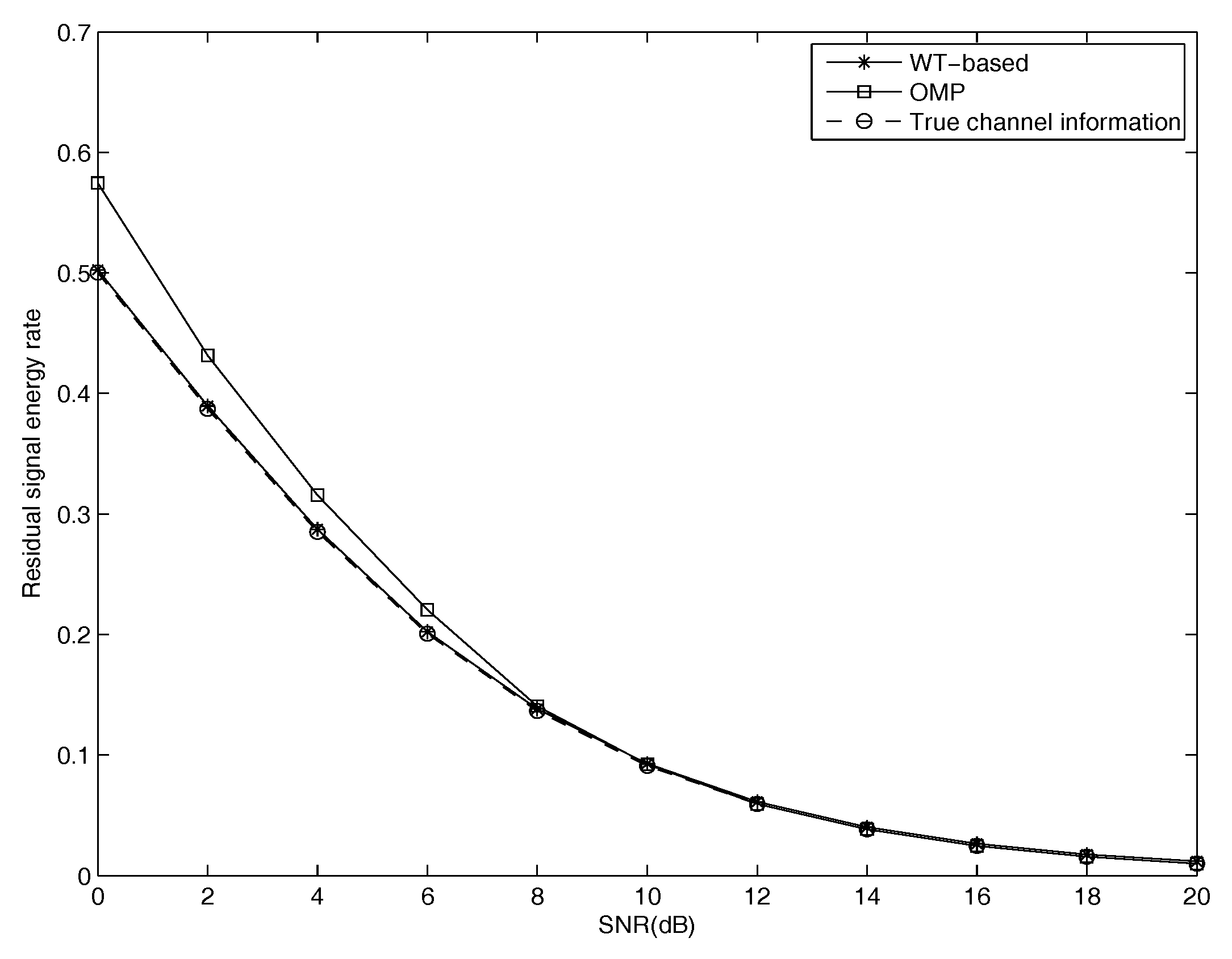
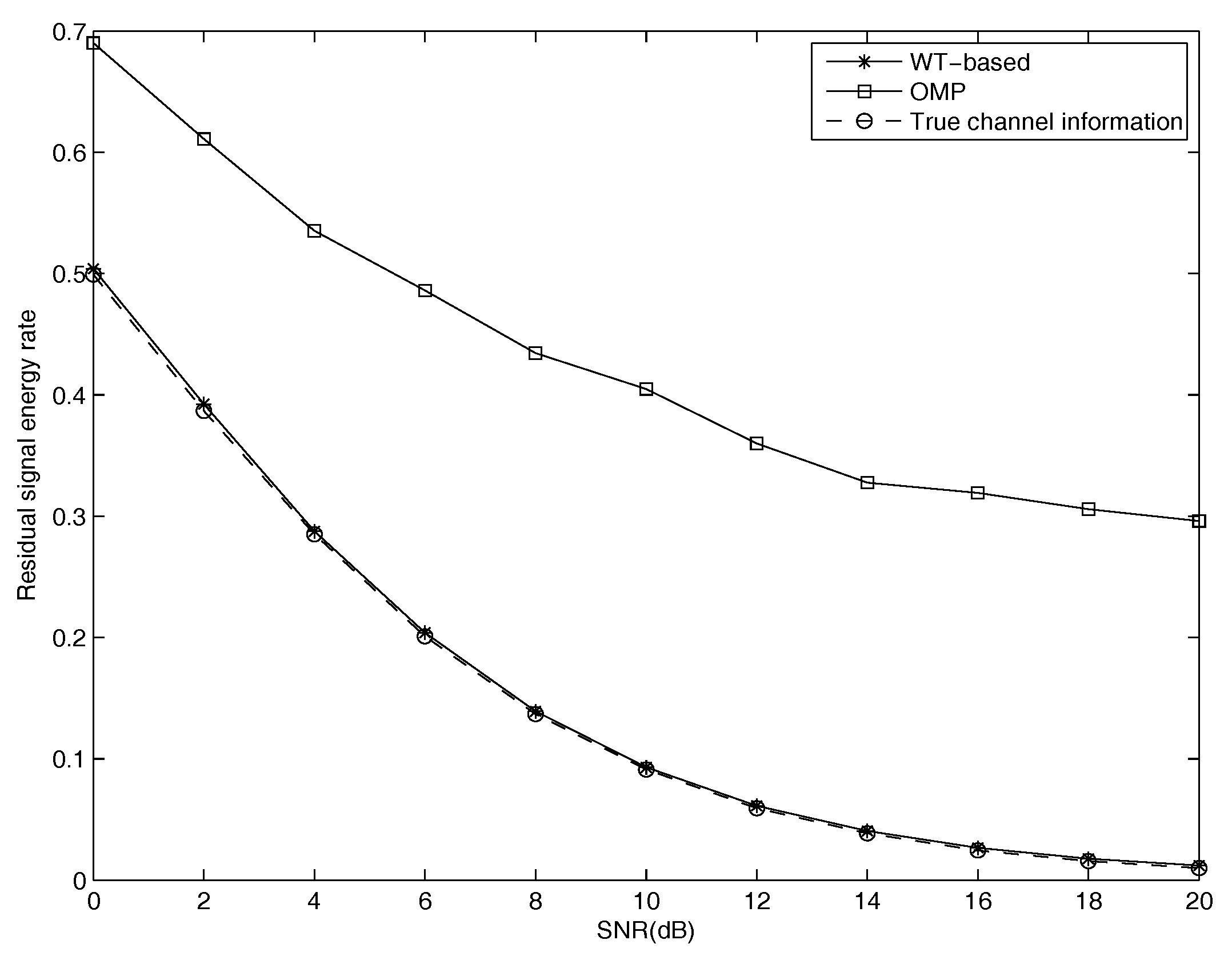
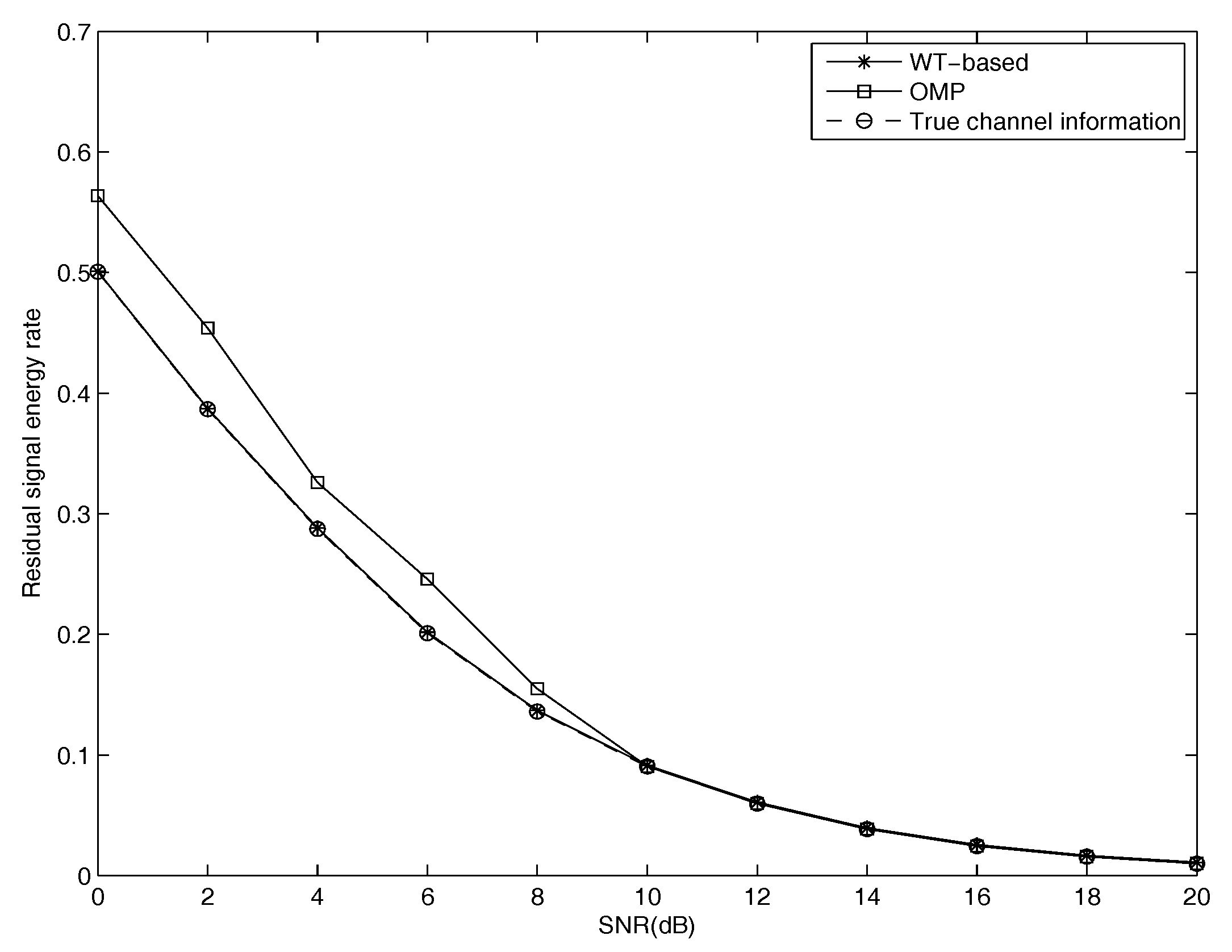
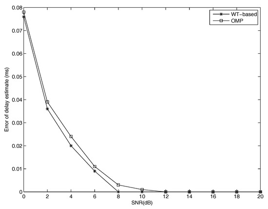
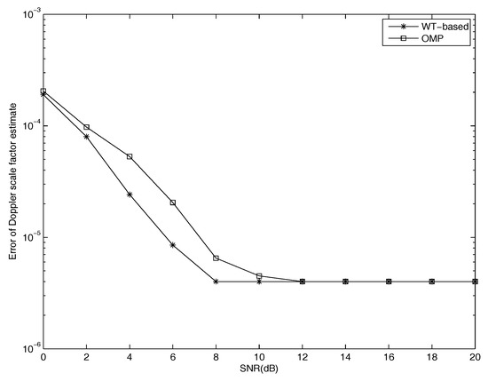
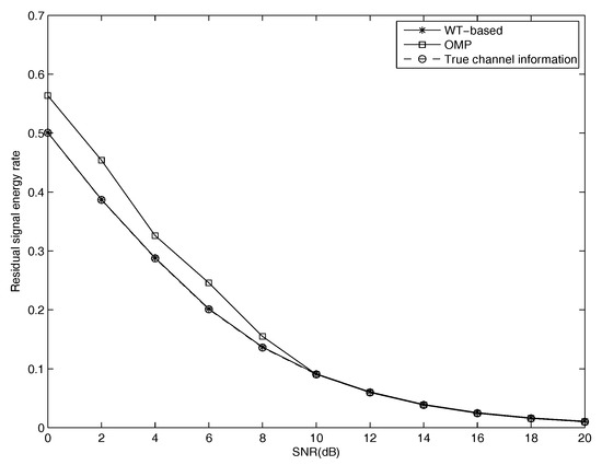
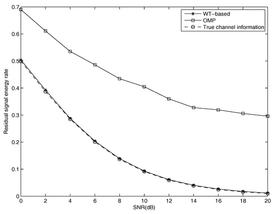
4.1. Performances
4.2. Complexity Analysis
5. Conclusions
Acknowledgments
Author Contributions
Conflicts of Interest
Abbreviations
| UWA | Underwater Acoustic |
| MSML | Multi-scale Multi-lag |
| OMP | Orthogonal Matching Pursuit |
| WT | Wavelet Transform |
| HFM | Hyperbolic Frequency Modulation |
| SNR | Signal to Noise Ratio |
| ISI | Inter-symbol Interference |
| CS | Compressed-sensing |
| BP | Basis Pursuit |
| MP | Matching Pursuit |
| SaMP | Sparsity adaptive Matching Pursuit |
| AS-SaMP | Adaptive Step size Sparsity adaptive Matching Pursuit |
| FFT | Fast Fourier Transform |
| CWT | Continuous Wavelet Transform |
| DWT | Discrete Wavelet Transform |
Appendix A
Appendix B
References
- Akyildiz, I.F.; Pompili, D.; Melodia, T. Challenges for efficient communication in underwater acoustic sensor networks. ACM Sigbed Rev. 2004, 1, 3–8. [Google Scholar] [CrossRef]
- Mason, S.; Berger, C.; Zhou, S.; Willett, P. Detection, Synchronization, and Doppler Scale Estimation with Multicarrier Waveforms in Underwater Acoustic Communication. IEEE J. Sel. Areas Commun. 2008, 26, 1638–1649. [Google Scholar] [CrossRef]
- Singer, A.C.; Nelson, J.K.; Kozat, S.S. Signal processing for underwater acoustic communications. Commun. Mag. IEEE 2009, 47, 90–96. [Google Scholar] [CrossRef]
- Qu, F.; Wang, Z.; Yang, L.; Wu, Z. A journey toward modeling and resolving doppler in underwater acoustic communications. IEEE Commun. Mag. 2016, 54, 49–55. [Google Scholar] [CrossRef]
- Tao, J. Single-Carrier Frequency-Domain Turbo Equalization With Various Soft Interference Cancellation Schemes for MIMO Systems. IEEE Trans. Commun. 2015, 63, 3206–3217. [Google Scholar] [CrossRef]
- Mason, S.F.; Berger, C.R.; Zhou, S.; Ball, K.R. Receiver comparisons on an OFDM design for Doppler spread channels. In Proceedings of the 2009 OCEANS Europe Conference, Bremen, Germany, 11–14 May 2009; pp. 1–7. [Google Scholar] [CrossRef]
- Berger, C.R.; Zhou, S.; Preisig, J.C.; Willett, P. Sparse channel estimation for multicarrier underwater acoustic communication: From subspace methods to compressed sensing. IEEE Trans. Signal Process. 2010, 58, 1708–1721. [Google Scholar] [CrossRef]
- Xu, T.; Tang, Z.; Leus, G.; Mitra, U. Multi-Rate Block Transmission Over Wideband Multi-Scale Multi-Lag Channels. IEEE Trans. Signal Process. 2013, 61, 964–979. [Google Scholar] [CrossRef]
- Daoud, S.; Ghrayeb, A. Using Resampling to Combat Doppler Scaling in UWA Channels with Single-Carrier Modulation and Frequency-Domain Equalization. IEEE Trans. Veh. Technol. 2016, 65, 1261–1270. [Google Scholar] [CrossRef]
- Cotter, S.F.; Rao, B.D. Sparse channel estimation via matching pursuit with application to equalization. IEEE Trans. Commun. 2002, 50, 374–377. [Google Scholar] [CrossRef]
- Tropp, J.A.; Gilbert, A.C. Signal Recovery From Random Measurements Via Orthogonal Matching Pursuit. IEEE Trans. Inf. Theory 2007, 53, 4655–4666. [Google Scholar] [CrossRef]
- Do, T.T.; Lu, G.; Nguyen, N.; Tran, T.D. Sparsity adaptive matching pursuit algorithm for practical compressed sensing. In Proceedings of the 2008 Asilomar Conference on Signals, Systems and Computers, Pacific Grove, CA, USA, 26–29 October 2009; pp. 581–587. [Google Scholar] [CrossRef]
- Zhang, Y.; Venkatesan, R.; Dobre, O.A.; Li, C. An adaptive matching pursuit algorithm for sparse channel estimation. In Proceedings of the 2015 IEEE Wireless Communications and Networking Conference (WCNC), New Orleans, LA, USA, 9–12 March 2015; pp. 626–630. [Google Scholar] [CrossRef]
- Qu, F.; Nie, X.; Xu, W. A Two-Stage Approach for the Estimation of Doubly Spread Acoustic Channels. IEEE J. Ocean. Eng. 2015, 40, 131–143. [Google Scholar] [CrossRef]
- Yu, F.; Li, D.; Guo, Q.; Wang, Z.; Xiang, W. Block-FFT Based OMP for Compressed Channel Estimation in Underwater Acoustic Communications. IEEE Commun. Lett. 2015, 19, 1937–1940. [Google Scholar] [CrossRef]
- Zhang, L.; Xu, X.; Feng, W.; Chen, Y. HFM spread spectrum modulation scheme in shallow water acoustic channels. In Proceedings of the 2013 MTS/IEEE OCEANS Conference, Hampton Roads, VA, USA, 14–19 October 2013; pp. 1–6. [Google Scholar] [CrossRef]
- Yang, J.; Sarkar, T.K. A New Doppler-Tolerant Polyphase Pulse Compression Codes Based on Hyperbolic Frequency Modulation. In Proceedings of the 2007 IEEE Radar Conference, Boston, MA, USA, 17–20 April 2007; pp. 265–270. [Google Scholar] [CrossRef]
- Ai, J.; Wang, Z.; Zhou, X.; Ou, C. Improved wavelet transform for noise reduction in power analysis attacks. In Proceedings of the 2017 IEEE International Conference on Signal and Image Processing, Beijing, China, 13–15 August 2017; pp. 602–606. [Google Scholar] [CrossRef]
- Yang, C.; Liang, H. Time-scale analysis of wideband HFM signal and application on moving target detection. In Proceedings of the ICIEA 2009 IEEE Conference on Industrial Electronics and Applications, Xi’an, China, 25–27 May 2009; pp. 3887–3890. [Google Scholar] [CrossRef]
- Burhan, N.; Kasno, M.; Ghazali, R. Feature extraction of surface electromyography (sEMG) and signal processing technique in wavelet transform: A review. In Proceedings of the IEEE International Conference on Automatic Control and Intelligent Systems, Selangor, Malaysia, 22–22 October 2017; pp. 141–146. [Google Scholar] [CrossRef]
- Young, R.K. Wavelet Theory and Its Applications; Springer: Berlin, Germany, 1996; Volume 189, pp. 19–22. [Google Scholar] [CrossRef]
- Agrawal, S.; Dhend, M.H. Wavelet transform based voltage quality improvement in smart grid. In Proceedings of the International Conference on Automatic Control and Dynamic Optimization Techniques, Pune, India, 9–10 September 2017; pp. 289–294. [Google Scholar] [CrossRef]
- Gul, S.; Zaidi, S.S.H.; Khan, R.; Wala, A.B. Underwater acoustic channel modeling using BELLHOP ray tracing method. In Proceedings of the International Bhurban Conference on Applied Sciences and Technology, Islamabad, Pakistan, 10–14 January 2017; pp. 665–670. [Google Scholar] [CrossRef]






© 2018 by the authors. Licensee MDPI, Basel, Switzerland. This article is an open access article distributed under the terms and conditions of the Creative Commons Attribution (CC BY) license (http://creativecommons.org/licenses/by/4.0/).
Share and Cite
Zhang, X.; Song, K.; Li, C.; Yang, L. A Novel Approach for the Estimation of Doubly Spread Acoustic Channels Based on Wavelet Transform. Appl. Sci. 2018, 8, 38. https://doi.org/10.3390/app8010038
Zhang X, Song K, Li C, Yang L. A Novel Approach for the Estimation of Doubly Spread Acoustic Channels Based on Wavelet Transform. Applied Sciences. 2018; 8(1):38. https://doi.org/10.3390/app8010038
Chicago/Turabian StyleZhang, Xing, Kang Song, Chunguo Li, and Luxi Yang. 2018. "A Novel Approach for the Estimation of Doubly Spread Acoustic Channels Based on Wavelet Transform" Applied Sciences 8, no. 1: 38. https://doi.org/10.3390/app8010038
APA StyleZhang, X., Song, K., Li, C., & Yang, L. (2018). A Novel Approach for the Estimation of Doubly Spread Acoustic Channels Based on Wavelet Transform. Applied Sciences, 8(1), 38. https://doi.org/10.3390/app8010038
