Abstract
Soil consolidation as the dissipation of excess pore water pressure is mainly affected by the relative hydraulic conductivity among the layers. Geostatistical parameters such as the mean, the standard deviation, and the correlation length are physical indicators for each sedimentation and formation history. The effects of spatial variability on the excessive pore water pressure dissipation during consolidation process are investigated using numerical parametric studies, where multiple realizations are tested for selected hydraulic conductivity parameter using lognormal distribution. Numerical simulations show that the greater heterogeneity in hydraulic conductivity distribution applied, the longer time taken for the excess pore water pressure to dissipate, and the longer correlated variability encourages the greater variation in consolidation time. Such differences can be reduced significantly with the coupled drainage allowed by vertical drain method.
1. Introduction
Uncertainty in geotechnical properties is mainly promoted by the following three primary sources: measurement error, transformation uncertainty, and inherent variability [1,2]. Measurement error and transformation uncertainty can be minimized by employing advanced measurement techniques and analysis models [3,4]. The inherent variability as the most significant source of uncertainty needs to be addressed in reliable prediction and design of geostructures, because its evaluation reflects sedimentation and formation history.
Soil consolidation, as dissipation of excess pore pressure, is characterized by the coefficient of consolidation Cv. The spatial variability in Cv has been observed in the site investigation profile. It was quantified with statistical parameters, such as coefficient of variation, correlation length, and anisotropy in spatial correlation [5]. The analysis of numerical simulation has been conducted to explain the field settlement during consolidation process. The 1D Terzaghi’s consolidation has been widely used to investigate the dissipation process of pore water pressure under multi-layers, and thus the results showed that non-homogeneous soil medium causes a different degree of consolidation compared to homogeneous [6,7,8,9,10,11,12]. In particular, an extensive consolidation simulation analyzed with stochastic input parameters and single-valued consolidation coefficient calculated from arithmetic mean, harmonic mean, and geometric mean revealed that the consolidation in heterogeneous soils cannot be substituted for an equivalent homogeneous soil, and recommends that it should be taken into consideration spatial variation of consolidation parameters that reflect the location of very thin and very impermeable layers [13,14]. However, the previous studies have not explained how the spatial variability quantitatively influences the consolidation process. This study explores the statistical characteristics of excess pore water pressure dissipation in heterogeneous soils, with the binary layers, and spatially correlated random fields. In particular, all the numerical results obtained from spatially correlated random fields are analyzed with consolidation times t50 and t90, that correspond to the average degree of consolidation 50% and 90%, respectively. This paper starts with random field generation, presents stochastic finite element modeling, followed by numerical results and analysis.
2. Stochastic Simulation of 1D Consolidation
2.1. Random Field Generation: Hydraulic Conductivity
Coefficient of consolidation Cv = k/(γwmv), that incorporates hydraulic conductivity, k, into coefficient of volume compressibility, mv, defines the dissipation of excess pore water pressure. However, the statistical analysis of consolidation parameters observed that coefficient of variation (COV) value of mv (≈30%) is smaller than that of k (≈300%), and thus, k has a more pronounced effect on the soil consolidation process [15,16]. Thus, the hydraulic conductivity, k, is selected as a random variable, and mv is assumed constant. The hydraulic conductivity k can be obtained from different probability distribution functions that satisfy with non-negative values and large variability. The inherent variability of k is generated using lognormal distribution [11,17]. The hydraulic conductivity, k, following lognormal distribution, is identified by mean μk and standard deviation σk. The COVk can be expressed as
The mean μln k and standard deviation σln k following normal distribution have the relation with lognormal parameters as follows:
The multiple realizations of the one-dimensional correlated random variability in the hydraulic conductivity, k, can be generated with the preselected values (μk and σk) through the matrix decomposition technique. The procedure is as follows [18]:
- (1)
- Assign index properties i and j to every location at the given geometry.
- (2)
- Build distance matrix, d, where dij is the distance between point i and j.
- (3)
- Compute the covariance matrix, A, with correlation length θln k:
- (4)
- Decompose the matrix A into matrix C:
- (5)
- Calculate the correlated Gaussian random field G:where ε is uncorrelated Gaussian random field of zero mean and unit variance for local averages over the domain, and T is the trend following μln k.
- (6)
- Transform the generated Gaussian random filed to the lognormal distribution
The spatial correlation length θln k is the distance where the spatial autocorrelation decays by 1/e, and provides the spatial scale of material heterogeneity [5,19]. The formulated one-dimensional correlated random heterogeneity reflects the spatial variation of the consolidation coefficient with depth. The relative correlation length Θ = θln k/H is expressed by combining internal fluctuation scale θln k and specimen height H.
2.2. Stochastic Finite Element Modeling
The stochastic finite element modeling is used to generate a random field, and map the scalar values into predefined elements. The assignment of correlated scalar random, k, over the elements, indicates the local geometric average of the k. Consequently, the numerical result depends on the mesh size [16]. This study is implemented using the finite element program ABAQUS. The square mesh consists of 100 × 100 four node axisymmetric quadrilateral elements to minimize geometric effects caused by correlated random variability (Table 1). At the given mesh size, the analytical solution (Terzaghi’s 1D consolidation) matches well with the numerical result.
Table 1.
Numerical study in binary mixture: (a) Boundary conditions; (b) Selected material properties.
2.3. Parametric Studies
First, it is investigated for binary mixtures consisting of relatively higher- and lower-k. Simulation cases include the different levels of material heterogeneity under different drainage conditions. Two drainage conditions are considered: (1) A single upward drainage along top surface and (2) combined radial drainage conditionally allowed by the vertical drain along centerline, where the maximum radial drainage distance is r. The binary mixtures are constructed with respect to the ratio of the layer thickness t/H. Table 1 summarizes the boundary conditions and material properties. In particular, the geometry of the tested specimen and heterogeneity configuration has the same volumetric portions of the material property and the thickness of each layer is given the same for each case. Then, heterogeneity effect is investigated with one-dimensional correlated random k using matrix decomposition method. The parametric studies are tabulated in Table 2. The specific characteristics of 1D consolidation are evaluated using the average degree of consolidation obtained from pore water pressure dissipation. It can be defined by
where H is maximum drainage path, and q is applied stress (100 kPa in all cases). A radial drainage condition expedites the consolidation process. The excess pore water pressure across the area of each element is considered, and the 2D average degree of consolidation can be expressed by
Table 2.
Parametric studies. Random variable is hydraulic conductivity, k, following lognormal distribution in all cases. The global mean value of k case is kept the same (μ[k] = 1.8 × 10−9 m/s).
The pore water pressures are obtained at nodes along either the centerline (without vertical drain) or lines between left and right boundaries (with vertical drain).
3. Result and Analysis
3.1. Random Field Generation: Hydraulic Conductivity
The excess pore water dissipation is significantly affected by the distance from a free-drainage boundary to permeable layer and relative boundary conditions formed by relative hydraulic conductivity k difference among layers. Figure 1 presents the effects of binary mixture sequence and thickness on 1D consolidation process. At the given binary mixture thickness ratio, the excess pore water pressure dissipates faster for the soils in which the layers with higher k are located closer to the drainage boundary (case: [k]A/[k]B = 5.0), even if the volumetric composition of each material is equal [20]. On the contrary, lower k at a top drainage delays the consolidation process (case: [k]A/[k]B = 0.2). Furthermore, introducing internal material heterogeneity (layer thickness) tends to delay or accelerate the dissipation, depending on the k magnitude of the top layer. Figure 2 shows that the relative k magnitude differences between hydraulic conductivity of the layers cause a more delayed dissipation of excess pore water pressure. Smaller layer thickness ratios and lower magnitude differences reduce those specific patterns, yet initial heterogeneity configurations are quite different from the equivalent homogeneous one during dissipation of excess pore pressure. The vertical drainage condition has a pronounced effect on the consolidation process of the binary mixtures. The internal heterogeneity promotes the delayed dissipation of the excessive pore water pressure, yet such differences in consolidation time delay are significantly reduced when radial drainage is allowed (Figure 3a). If the vertical drains are more narrowly spaced, the global consolidation process is controlled more by the radial drainage, and thus the differences in consolidation time are reduced more with a shorter maximum radial drainage path (Figure 3b).
Figure 1.
Effects of heterogeneity configurations on one-dimensional consolidation process of soils with binary layers. All the cases have the same arithmetic mean of consolidation coefficient.
Figure 2.
Effects of k variability on one-dimensional consolidation process of soils with binary layers. All the cases have the same mean of consolidation coefficient and the same thickness ratio t/H = 0.05.
Figure 3.
Effect of a vertical drainage conditions on the consolidation of the binary mixtures; (a) vertical drain (r/D = 0.2); (b) vertical drainage distance. The vertical drain is installed along the centerline and radial drainage is allowed. [k]A/[k]B = 0.2 in all cases. The radial consolidation coefficient is assumed to be identical to the vertical one.
3.2. Consolidation of Spatially Correlated Heterogeneous Soils
Figure 4 shows three selected realizations of the spatially varying consolidation coefficient profiles. For the realizations, the mean value μ[k] is 1.8 × 10−9 m/s, COV[k] is 0.6, and the correlation length θln k is 1 m. The total thickness of the compressible layers D is 10 m, the maximum radial drainage length r is 2 m, and the radius of the vertical drain is 0.1 m. The consolidation behavior of spatially varying random soils with different drainage conditions is compared in the following Figure 5. The results show that a different configuration with the same even statistic promotes a different consolidation process, and such differences due to the different heterogeneity configurations are reduced by the radial drainage, as discussed in the section on binary mixtures. Case C is the fastest, with a 90% consolidation by a single upward vertical drainage (for 90% consolidation, case A: 2800 days; case B: 3300 days; case C: 2600 days); however, Case C is the slowest for the case of coupled drainage (for 90% consolidation, case A: 520 days; case B: 580 days; case C: 590 days), which indicates that the contributions of spatial variation to the global consolidation process differ with respect to the drainage conditions.
Figure 4.
Realizations of spatially varying correlated consolidation coefficient profiles. All the cases are with coefficient of variation COV[k] = 0.6 and dimensionless correlation length Θ = 0.1.
Figure 5.
Consolidation of the correlated random soils with different drainage conditions. Spatial variation of material properties for cases 1, 2, and 3, as shown in Figure 4.
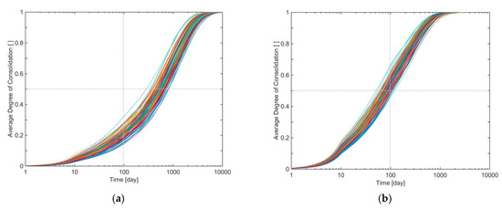
The 100 realizations for each case are tested to quantitatively investigate the effect of random spatial variability in the hydraulic conductivity on the consolidation process. Figure 6 presents the consolidation process with the preselected variability and correlation length. Clearly, the spatial variability in k and drainage conditions have a pronounced effect on the global consolidation process. For further analysis of numerical results, 50% consolidation time, t50, and 90% consolidation time, t90, are computed, and data are gathered for statistical analyses. The computed t50 and t90 for heterogeneous soils are normalized by those of the homogeneous soil, which are called the normalized time. Results are presented with the ensemble mean and the standard deviation of the normalized consolidation time. The effects of COV in the spatially varying consolidation coefficient COV[k] on the normalized consolidation times, t50 and t90, are studied, while keeping the correlation length (Θ = 0.1) and the radial drainage length ratio (r/D = 0.2) constant. Results show that a greater value of COV[k] corresponds to a more delayed consolidation time, and greater standard deviation of t50 and t90. However, such variations are significantly reduced when the radial drainage is allowed, as shown in Figure 7b. The mean values of the normalized t50 and t90 for the realizations with COV[k] = 1.0, are about 2.0 for the case without radial drainage; those values go down to about 1.3 if coupled drainage is allowed. Therefore, spatial variability should be carefully considered when analyzing the consolidation process of soils with high variability, especially for the cases without vertical drains. Figure 7 also shows that the mean values for both normalized t50 and t90 are very similar, but the variation in normalized t90 is smaller than that in normalized t50, which shows that the mean consolidation time does not differ much with degree of consolidation, but the relative variation in consolidation time becomes smaller at a higher degree of consolidation.

Figure 6.
Selected simulation results with spatially varying hydraulic conductivity COV[k], and drainage conditions. The 100 realizations are generated with the given correlation length (Θ = 0.1); (a) COV[k] = 0.4, No Vertical Drain; (b) COV[k] = 0.4, Vertical Drain Installed; (c) COV[k] = 0.8, No Vertical Drain; (d) COV[k] = 0.8, Vertical Drain Installed.
Figure 7.
Effect of spatially varying hydraulic conductivity COV[k] on consolidation times t50 and t90 of heterogeneous soils with different drainage conditions; (a) No vertical drainage; (b) Vertical drainage. In all cases, dimensionless correlation length is kept constant Θ = 0.1.
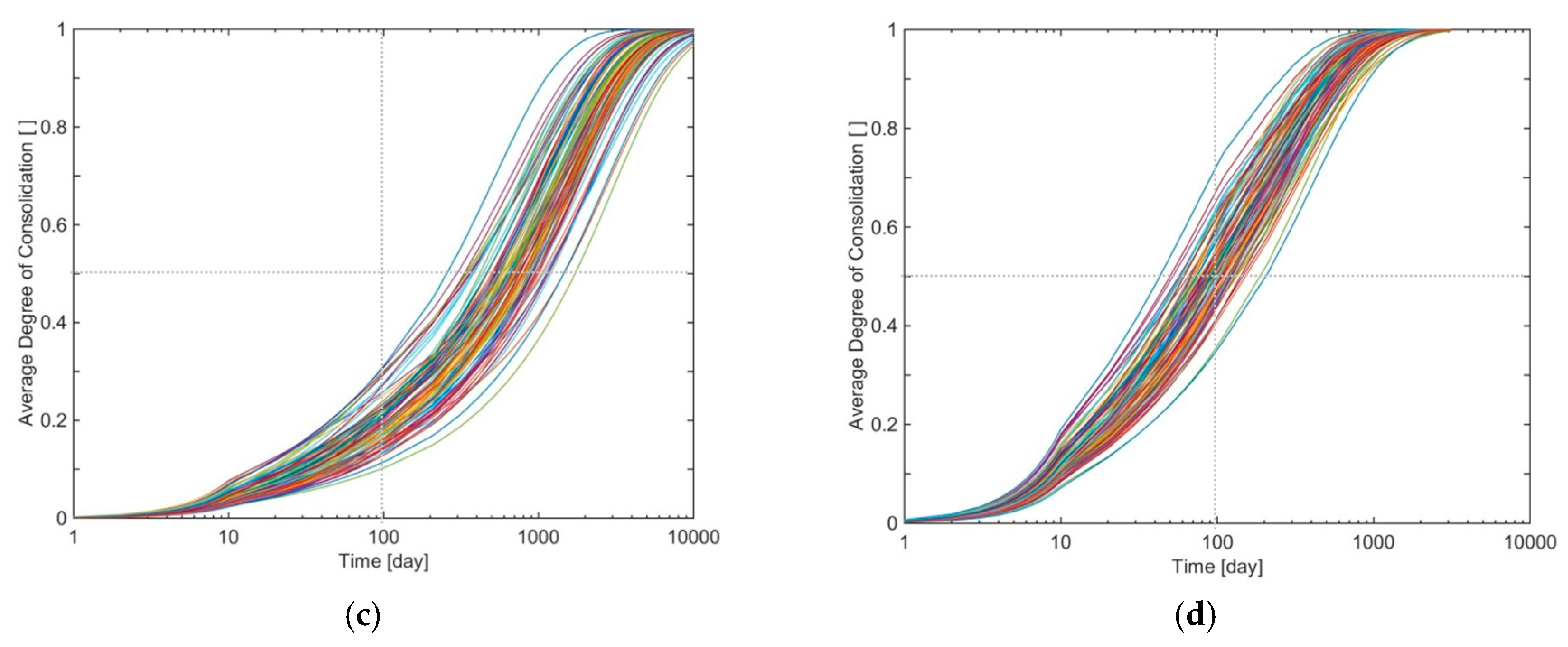
The effects of correlation length on consolidation are explored by varying the dimensionless correlation length from Θ = 0.01 to 0.2, while keeping the COV[k] = 1.0 constant, as shown in Figure 8. The tendency is that the mean values in consolidation time do not differ much with respect to correlation length; however, longer correlation length leads to higher variance in consolidation time, and the variation in normalized t90 is smaller than that in normalized t50, as discussed in the previous case (Figure 7).
Figure 8.
Effect of dimensionless correlation length in spatially varying hydraulic conductivity k on consolidation times t50 and t90 of heterogeneous soils with different drainage conditions; (a) No vertical drainage; (b) Vertical drainage.
4. Conclusions
The effects of spatial variability in the hydraulic conductivity on the consolidation process are explored in this study. Based on a parametric study for the binary mixing soils and spatially correlated random soils using the finite element method, the following conclusions can be drawn:
- For the binary mixture cases, the excess pore water dissipation is significantly affected by the distance from a free-drainage boundary to permeable layer, and relative boundary conditions formed by relative hydraulic conductivity k difference among layers. Smaller layer thickness ratios and lower magnitude differences reduce those specific patterns, yet initial heterogeneity configurations are quite different from the equivalent homogeneous one during dissipation of excess pore pressure.
- The greater the heterogeneity in the hydraulic conductivity distribution that is applied, the more time will be taken for excess pore water pressure to dissipate. This is because higher variance enhances impermeability among the layers, delays the pore water pressure dissipation, and forms the bottleneck.
- When spatially varying layered soil has statistically identical consolidation properties, the consolidation process by the single drainage perpendicular to the layers can yield clear differences with respect to the heterogeneity configurations. However, consolidation patterns of different heterogeneous media become homogenized when radial drainage is allowed together with vertical drainage.
- The more dominant the radial drainage by shorter spacing between the vertical drains is, the more homogenized and the closer to the homogeneous soils the consolidation process of the spatially varying soils will be.
Sites characterized with spatially varying consolidation properties induce specific characteristics of consolidation [6]. Thus, it should be taken into consideration, spatial variability that reflects the location of very thin and very impermeable layers to capture the observed field response.
Conflicts of Interest
The author declares no conflict of interest.
References
- Phoon, K.-K.; Kulhawy, F.H. Characterization of geotechnical variability. Can. Geotech. J. 1999, 36, 612–624. [Google Scholar] [CrossRef]
- Phoon, K.-K.; Kulhawy, F.H. Evaluation of geotechnical property variability. Can. Geotech. J. 1999, 36, 625–639. [Google Scholar] [CrossRef]
- Lacasse, S.; Nadim, F. Uncertainties in characterising soil properties. In Proceedings of the Uncertainty in Geologic Environment: From Theory to Practice 1996, Madison, WI, USA, 31 July–3 August 1996; pp. 49–75. [Google Scholar]
- Bari, M.W.; Shahin, M.A. Probabilistic design of ground improvement by vertical drains for soil of spatially variable coefficient of consolidation. Geotex. Geomembr. 2014, 42, 1–14. [Google Scholar] [CrossRef]
- Vanmarcke, E.H. Probabilistic modeling of soil profiles. J. Geotech. Eng. Div. 1977, 103, 1227–1246. [Google Scholar]
- Abbott, M.B. One-dimensional consolidation of multi-layered soils. Géotechnique 1960, 10, 151–165. [Google Scholar] [CrossRef]
- Schiffman, R.L.; Stein, J.R. One-dimensional consolidation of layered systems. J. Soil Mech. Found. Div. 1970, 96, 1499–1504. [Google Scholar]
- Narsilio, G.A. Spatial Variability and Terminal Density—Implications in Soil Behavior-. Ph.D. Thesis, Civil and Environmental Engineering, Georgia Institute of Technology, Atlanta, GA, USA, 2006. [Google Scholar]
- Chang, C. Uncertainty of one-dimensional consolidation analysis. J. Geotech. Eng. 1985, 111, 1411–1424. [Google Scholar] [CrossRef]
- Hong, H.P. One-dimensional consolidation with uncertain properties. Can. Geotech. J. 1992, 29, 161–165. [Google Scholar] [CrossRef]
- Badaoui, M.H.; Nour, A.; Slimani, A.; Berrah, M. Consolidation statistics investigation via thin layer method analysis. Transp. Porous Media 2007, 67, 69–91. [Google Scholar] [CrossRef]
- Olson, R. Settlement of embankments on soft clays: (The thirty-first terzaghi lecture). J. Geotech. Geoenviron. Eng. 1998, 124, 659–669. [Google Scholar] [CrossRef]
- Freeze, R.A. A stochastic-conceptual analysis of one-dimensional groundwater flow in nonuniform homogeneous media. Water Resour. Res. 1975, 11, 725–741. [Google Scholar] [CrossRef]
- Freeze, R.A. Probabilistic one-dimensional consolidation. J. Geotech. Eng. Div. ASCE 1977, 103, 725–742. [Google Scholar]
- Baecher, G.B.; Christian, J.T. Reliability and Statistics in Geotechnical Engineering; Wiley: Chichester, UK, 2003. [Google Scholar]
- Bari, M.W.; Shahin, M.A.; Nikraz, H.R. Probabilistic analysis of soil consolidation via prefabricated vertical drains. Int. J. Geomech. 2013, 13, 877–881. [Google Scholar] [CrossRef]
- Taskinen, A.; Sirviö, H.; Bruen, M. Generation of two-dimensionally variable saturated hydraulic conductivity fields: Model theory, verification and computer program. Comput. Geosci. 2008, 34, 876–890. [Google Scholar] [CrossRef]
- El-Kadi, A.I.; Williams, S.A. Generating two-dimensional fields of autocorrelated, normally distributed parameters by the matrix decomposition technique. Ground Water 2000, 38, 530–532. [Google Scholar] [CrossRef]
- DeGroot, D.; Baecher, G. Estimating autocovariance of in-situ soil properties. J. Geotech. Eng. 1993, 119, 147–166. [Google Scholar] [CrossRef]
- Pyrah, I.C. One-dimensional consolidation of layered soils. Géotechnique 1996, 46, 555–560. [Google Scholar] [CrossRef]
© 2017 by the author. Licensee MDPI, Basel, Switzerland. This article is an open access article distributed under the terms and conditions of the Creative Commons Attribution (CC BY) license (http://creativecommons.org/licenses/by/4.0/).









