Investigation into the Fire Hazards of Lithium-Ion Batteries under Overcharging
Abstract
:1. Introduction
2. Experiment
2.1. Samples
2.2. Apparatuses
2.3. Experimental Design
3. Results and Discussion
3.1. Thermal Behaviors of LIB during Charging and Discharging
3.2. Burning Process
3.3. Battery Surface Temperature
3.4. Flame Temperature
3.5. Radiative Heat Flux
3.6. Discussion
4. Conclusions
- (1)
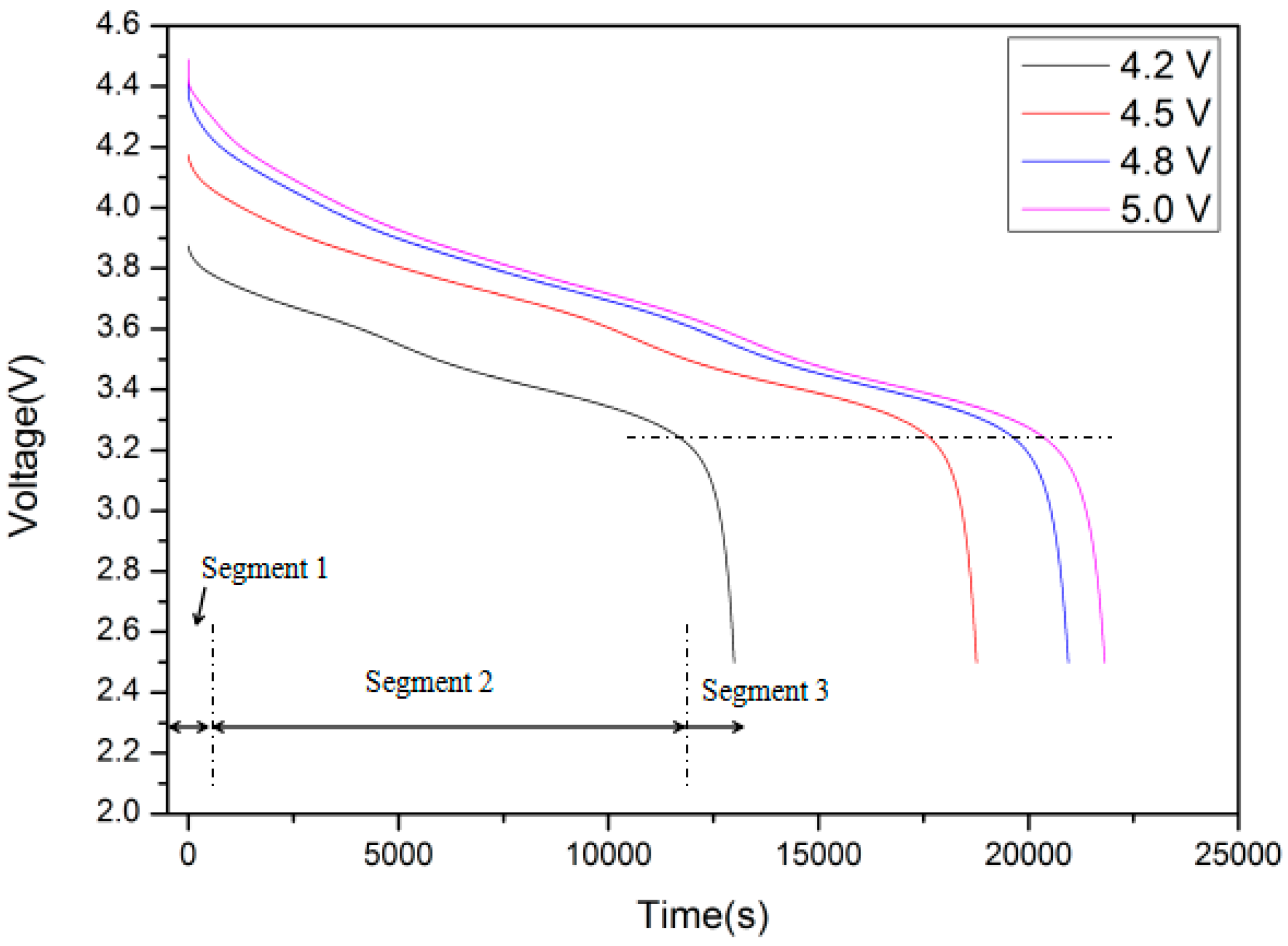
- The initial discharging voltage increases with the growth of charge cut-off voltage. A battery with higher cut-off voltage possesses a higher initial discharging voltage. Moreover, the higher the cut-off voltage, the longer the discharging time to reach 2.5 V.
- (2)
- LIB has a significant temperature rise during charging and discharging under the effect of irreversible heat (Qirr) and reversible heat (Qrev). Compared with the NMC battery, the LFP battery exhibits a more obvious temperature rise during the process.
- (3)
- Compared to the normal LIB, the overcharged LIB experiences earlier safety vent cracks, ignition, and thermal runaway. This reveals that the overcharged LIB possesses a more serious combustion process and a lower stability than the normal LIB. Moreover, the severity will deteriorate with the increase of cut-off voltage. The higher the voltage, the more reactive the electroactive materials of the battery will become. In addition, it is revealed that the NMC fails earlier than the LFP under the same conditions.
- (4)
- After thermal runaway, the temperature rise rate of LIB grows with the increase in the cut-off voltage. A battery with higher cut-off voltage will experience a more violent combustion if ignited. Moreover, it is interesting to note that the safety vent cracks temperature, the ignition temperature, and the thermal runaway temperature exhibit similar values for the same conditions, which demonstrates that LIB will fail at a certain temperature. The cut-off voltage has little influence on these parameters, which mainly depend on the incident heat.
- (5)
- For the NMC battery, the peak heat flux rises with the increase in voltage. The total radiative heat flux and total radiative heat also present the similar phenomenon. This indicates that the NMC with higher voltage will release more heat after catching fire. As for the LFP battery, it exhibits similar circumstances except for the 5.0 V LFP, whose peak heat flux and total radiative heat show an obvious drop compared to the others. This is attributed to the violent ejection of a highly overcharged battery, resulting in incomplete combustion and less heat being released.
Acknowledgments
Author Contributions
Conflicts of Interest
References
- Hannan, M.A.; Azidin, F.A.; Mohamed, A. Hybrid electric vehicles and their challenges: A review. Renew. Sustain. Energy Rev. 2014, 29, 135–150. [Google Scholar] [CrossRef]
- Budzianowski, W.M. Negative carbon intensity of renewable energy technologies involving biomass or carbon dioxide as inputs. Renew. Sustain. Energy Rev. 2012, 16, 6507–6521. [Google Scholar] [CrossRef]
- Sulaiman, N.; Hannan, M.A.; Mohamed, A.; Majlan, E.H.; Wan Daud, W.R. A review on energy management system for fuel cell hybrid electric vehicle: Issues and challenges. Renew. Sustain. Energy Rev. 2015, 52, 802–814. [Google Scholar] [CrossRef]
- Bandhauer, T.M.; Garimella, S.; Fuller, T.F. A critical review of thermal issues in lithium-ion batteries. J. Electrochem. Soc. 2011, 158, R1–R25. [Google Scholar] [CrossRef]
- Noh, H.J.; Youn, S.; Yoon, C.S.; Sun, Y.-K. Comparison of the structural and electrochemical properties of layered Li [Ni x Co y Mn z] O2 (x = 1/3, 0.5, 0.6, 0.7, 0.8 and 0.85) cathode material for lithium-ion batteries. J. Power Sources 2013, 233, 121–130. [Google Scholar] [CrossRef]
- Mendoza-Hernandez, O.S.; Ishikawa, H.; Nishikawa, Y.; Maruyama, Y.; Umedaa, M. Cathode material comparison of thermal runaway behavior of Li-ion cells at different state of charges including over charge. J. Power Sources 2015, 280, 499–504. [Google Scholar] [CrossRef]
- Yuan, Q.F.; Zhao, F.; Wang, W.; Zhao, Y.; Liang, Z.; Yan, D. Overcharge failure investigation of lithium-ion batteries. Electrochim. Acta 2015, 178, 682–688. [Google Scholar] [CrossRef]
- Golubkov, A.W.; Scheikl, S.; Planteu, R.; Voitic, G.; Wiltsche, H.; Stangl, C.; Fauler, G.; Thaler, A.; Hacker, V. Thermal runaway of commercial 18650 Li-ion batteries with LFP and NCA cathodes–impact of state of charge and overcharge. RSC Adv. 2015, 5, 57171–57186. [Google Scholar] [CrossRef]
- Qian, K.; Li, Y.; He, Y.-B.; Liu, D.; Zheng, Y.; Luo, D.; Li, B.; Kang, F. Abuse tolerance behavior of layered oxide-based Li-ion battery during overcharge and over-discharge. RSC Adv. 2016, 6, 76897–76904. [Google Scholar] [CrossRef]
- Belov, D.; Yang, M.H. Investigation of the kinetic mechanism in overcharge process for Li-ion battery. Solid State Ion. 2008, 179, 1816–1821. [Google Scholar] [CrossRef]
- Sharma, N.; Peterson, V.K. Overcharging a lithium-ion battery: Effect on the Li x C 6 negative electrode determined by in situ neutron diffraction. J. Power Sources 2013, 244, 695–701. [Google Scholar] [CrossRef]
- Zhang, L.; Ma, Y.; Cheng, X.; Du, C.; Guan, T.; Cui, Y.; Sun, S.; Zuo, P.; Gao, Y.; Yin, G. Capacity fading mechanism during long-term cycling of over-discharged LiCoO2/mesocarbon microbeads battery. J. Power Sources 2015, 293, 1006–1015. [Google Scholar] [CrossRef]
- Zhang, L.; Ma, Y.; Cheng, X.; Cui, Y.; Guan, T.; Gao, Y.; Du, C.; Yin, G.; Lin, F.; Nordlund, D. Degradation mechanism of over-charged LiCoO2/mesocarbon microbeads battery during shallow depth of discharge cycling. J. Power Sources 2016, 329, 255–261. [Google Scholar] [CrossRef]
- Hannan, M.A.; Lipu, M.S.H.; Hussain, A.; Mohamed, A. A review of lithium-ion battery state of charge estimation and management system in electric vehicle applications: Challenges and recommendations. Renew. Sustain. Energy Rev. 2017, 78, 834–854. [Google Scholar] [CrossRef]
- Sato, N. Thermal behavior analysis of lithium-ion batteries for electric and hybrid vehicles. J. Power Sources 2001, 99, 70–77. [Google Scholar] [CrossRef]
- Chen, M.; Zhou, D.; Chen, X.; Zhang, W.; Liu, J.; Yuen, R.; Wang, J. Investigation on the thermal hazards of 18650 lithium ion batteries by fire calorimeter. J. Therm. Anal. Calorim. 2015, 122, 755–763. [Google Scholar] [CrossRef]
- Chen, M.; Liu, J.; He, Y.; Yuen, R.; Wang, J. Study of the fire hazards of lithium-ion batteries at different pressures. Appl. Therm. Eng. 2017, 125, 1061–1074. [Google Scholar] [CrossRef]
- Fu, Y.; Lu, S.; Li, K.; Liu, C.; Cheng, X.; Zhang, H. An experimental study on burning behaviors of 18650 lithium ion batteries using a cone calorimeter. J. Power Sources 2015, 273, 216–222. [Google Scholar] [CrossRef]
- Liu, X.; Wu, Z.; Stoliarov, S.I.; Denlinger, M.; Masias, A.; Snyder, K. Heat release during thermally-induced failure of a lithium ion battery: Impact of cathode composition. Fire Saf. J. 2016, 85, 10–22. [Google Scholar] [CrossRef]
- Wang, Y.; Yang, L.; Zhou, X.; Dai, J.K.; Zhou, Y.; Deng, Z. Experiment study of the altitude effects on spontaneous ignition characteristics of wood. Fuel 2010, 89, 1029–1034. [Google Scholar]
- Zhang, Y.; Ji, J.; Li, J.; Sun, J.; Wang, Q.; Huang, X. Effects of altitude and sample width on the characteristics of horizontal flame spread over wood sheets. Fire Saf. J. 2012, 51, 120–125. [Google Scholar] [CrossRef]
- Roth, E.P.; Doughty, D.H.; Franklin, J. DSC investigation of exothermic reactions occurring at elevated temperatures in lithium-ion anodes containing PVDF-based binders. J. Power Sources 2004, 134, 222–234. [Google Scholar] [CrossRef]
- Wang, Q.; Ping, P.; Zhao, X.; Chu, G.; Sun, J.; Chen, C. Thermal runaway caused fire and explosion of lithium ion battery. J. Power Sources 2012, 208, 210–224. [Google Scholar] [CrossRef]
- Wang, Q.; Sun, J. Enhancing the safety of lithium ion batteries by 4-isopropyl phenyl diphenyl phosphate. Mater. Lett. 2007, 61, 3338–3340. [Google Scholar] [CrossRef]
- Venugopal, G. Characterization of thermal cut-off mechanisms in prismatic lithium-ion batteries. J. Power Sources 2001, 101, 231–237. [Google Scholar] [CrossRef]
- Bilbao, R.; Mastral, J.F.; Lana, J.A.; Ceamanos, J.; Aldea, M.E.; Betrán, M. A model for the prediction of the thermal degradation and ignition of wood under constant and variable heat flux. J. Anal. Appl. Pyrolysis 2002, 62, 63–82. [Google Scholar] [CrossRef]
- Liu, J.; He, Y.; Zhou, Z.; Yuen, R.; Wang, J. Investigation of enclosure effect of pressure chamber on the burning behavior of a hydrocarbon fuel. Appl. Therm. Eng. 2016, 101, 202–216. [Google Scholar]
- Lamb, J.; Orendorff, C.J.; Amine, K.; Krumdick, G.; Zhang, Z.; Zhang, L.; Gozdz, A.S. Thermal and overcharge abuse analysis of a redox shuttle for overcharge protection of LiFePO4. J. Power Sources 2014, 247, 1011–1017. [Google Scholar] [CrossRef]
- Erol, S.; Orazem, M.E.; Muller, R.P. Influence of overcharge and over-discharge on the impedance response of LiCoO2|C batteries. J. Power Sources 2014, 270, 92–100. [Google Scholar] [CrossRef]
- Furushima, Y.; Yanagisawa, C.; Nakagawa, T.; Aoki, Y.; Muraki, N. Thermal stability and kinetics of delithiated LiCoO2. J. Power Sources 2011, 196, 2260–2263. [Google Scholar] [CrossRef]
- Roth, E.P.; Doughty, D.H. Thermal abuse performance of high-power 18650 Li-ion cells. J. Power Sources 2004, 128, 308–318. [Google Scholar] [CrossRef]
- Kim, G.H.; Pesaran, A.; Spotnitz, R. A three-dimensional thermal abuse model for lithium-ion cells. J. Power Sources 2007, 170, 476–489. [Google Scholar] [CrossRef]
- Spotnitz, R.; Franklin, J. Abuse behavior of high-power, lithium-ion cells. J. Power Sources 2003, 113, 81–100. [Google Scholar] [CrossRef]



















| LIB Type | Test No. | Voltage/V | Capacity/mAh | SOC/% |
|---|---|---|---|---|
| NMC | 1 | 4.2 | 956.9 | 73.6 |
| 2 | 4.5 | 1334.6 | 102.7 | |
| 3 | 4.8 | 1507.2 | 115.9 | |
| 4 | 5.0 | 1538.0 | 118.3 | |
| LFP | 1 | 4.2 | 906.2 | 69.7 |
| 2 | 4.5 | 1302.0 | 100.2 | |
| 3 | 4.8 | 1416.5 | 109.0 | |
| 4 | 5.0 | 1501.3 | 115.5 |
| LIB Type | Voltage/V | Time to Cracks/s | Temperature to Cracks/°C | Time to Ignition/s | Temperature to Ignition/°C | Time to Thermal Runaway/s | Temperature to Thermal Runaway/°C | The Maximum Temperature/°C |
|---|---|---|---|---|---|---|---|---|
| NMC | 4.2 | 197 | 127 | 239 | 158 | 317 | 232 | 553 |
| 4.5 | 196 | 129 | 230 | 162 | 280 | 226 | 606 | |
| 4.8 | 191 | 133 | 222 | 160 | 273 | 228 | 630 | |
| 5.0 | 190 | 132 | 219 | 163 | 262 | 230 | 673 | |
| LEP | 4.2 | 201 | 115 | 300 | 182 | 358 | 229 | 571 |
| 4.5 | 202 | 115 | 266 | 175 | 310 | 218 | 585 | |
| 4.8 | 185 | 121 | 259 | 178 | 290 | 224 | 630 | |
| 5.0 | 181 | 127 | 251 | 181 | 280 | 227 | 647 |
| LIB Type | Voltage/V | Peak Heat Flux (kW/m2) | Total Radiative Heat Flux (kJ/m2) | Total Radiative Heat (kJ) |
|---|---|---|---|---|
| NMC | 4.2 | 1.81 | 25.9 | 27.5 |
| 4.5 | 3.08 | 26.7 | 28.3 | |
| 4.8 | 6.51 | 41.4 | 43.9 | |
| 5.0 | 7.63 | 41.8 | 44.3 | |
| LFP | 4.2 | 1.98 | 26.7 | 28.3 |
| 4.5 | 4.77 | 34.7 | 36.8 | |
| 4.8 | 6.72 | 36.3 | 38.5 | |
| 5.0 | 1.99 | 17.9 | 19.0 |
© 2017 by the authors. Licensee MDPI, Basel, Switzerland. This article is an open access article distributed under the terms and conditions of the Creative Commons Attribution (CC BY) license (http://creativecommons.org/licenses/by/4.0/).
Share and Cite
Ouyang, D.; Liu, J.; Chen, M.; Wang, J. Investigation into the Fire Hazards of Lithium-Ion Batteries under Overcharging. Appl. Sci. 2017, 7, 1314. https://doi.org/10.3390/app7121314
Ouyang D, Liu J, Chen M, Wang J. Investigation into the Fire Hazards of Lithium-Ion Batteries under Overcharging. Applied Sciences. 2017; 7(12):1314. https://doi.org/10.3390/app7121314
Chicago/Turabian StyleOuyang, Dongxu, Jiahao Liu, Mingyi Chen, and Jian Wang. 2017. "Investigation into the Fire Hazards of Lithium-Ion Batteries under Overcharging" Applied Sciences 7, no. 12: 1314. https://doi.org/10.3390/app7121314
APA StyleOuyang, D., Liu, J., Chen, M., & Wang, J. (2017). Investigation into the Fire Hazards of Lithium-Ion Batteries under Overcharging. Applied Sciences, 7(12), 1314. https://doi.org/10.3390/app7121314

