EigenScape: A Database of Spatial Acoustic Scene Recordings
Abstract
1. Introduction
2. Materials and Methods
2.1. Recording
2.2. Details
2.3. Baseline Classification
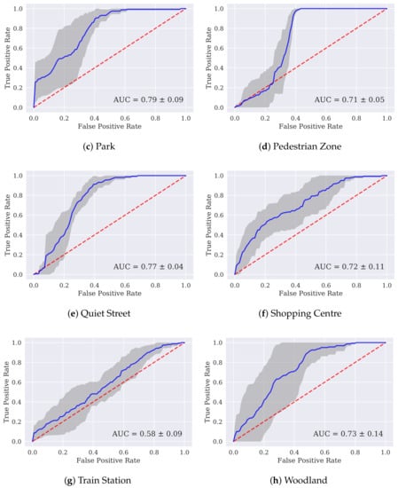
3. Results
4. Discussion
Supplementary Materials
Acknowledgments
Author Contributions
Conflicts of Interest
Abbreviations
| ASR | Automatic Speech Recognition | 
| MIR | Music Information Retrieval | 
| DCASE | Detection and Classification of Acoustic Scenes and Events | 
| ASC | Acoustic Scene Classification | 
| AED | Acoustic Event Detection | 
| MFCC | Mel-Frequency Cepstral Coefficients | 
| DOA | Direction of Arrival | 
| DirAC | Directional Audio Coding | 
| GMM | Gaussian Mixture Model | 
| E/D | Elevation/Diffuseness | 
| ROC | Receiver Operating Characteristic | 
| AUC | Area Under the Curve | 
References
- Wang, D. Computation Auditory Scene Analysis: Principles, Algorithms and Applications; Wiley: Hoboken, NJ, USA, 2006. [Google Scholar]
- Cherry, C. On Human Communication: A Review, a Survey, and a Criticism; MIT Press: Cambridge, MA, USA, 1978. [Google Scholar]
- Raś, Z. Advances in Music Information Retrieval; Springer-Verlag: Berlin/Heidelberg, Germany, 2010. [Google Scholar]
- The Magic that Makes Spotify’S Discover Weekly Playlists So Damn Good. Available online: https://qz.com/571007/the-magic-that-makes-spotifys-discover-weekly-playlists-so-damn-good/ (accessed on 18 September 2017).
- Stowell, D.; Giannoulis, D.; Benetos, E.; Lagrange, M.; Plumbley, M.D. Detection and Classification of Acoustic Scenes and Events. IEEE Trans. Multimed. 2015, 17, 1733–1746. [Google Scholar] [CrossRef]
- Barchiesi, D.; Giannoulis, D.; Stowell, D.; Plumbley, M.D. Acoustic Scene Classification: Classifying environments from the sounds they produce. IEEE Signal Process. Mag. 2015, 32, 16–34. [Google Scholar] [CrossRef]
- Adavanne, S.; Parascandolo, G.; Pertilä, P.; Heittola, T.; Virtanen, T. Sound Event Detection in Multisource Environments Using Spatial and Harmonic Features. In Proceedings of the Detection and Classification of Acoustic Scenes and Events, Budapest, Hungary, 3 September 2016. [Google Scholar]
- Eghbal-Zadeh, H.; Lehner, B.; Dorfer, M.; Widmer, G. CP-JKU Submissions for DCASE-2016: A Hybrid Approach Using Binaural I-Vectors and Deep Convolutional Neural Networks. In Proceedings of the Detection and Classification of Acoustic Scenes and Events, Budapest, Hungary, 3 September 2016. [Google Scholar]
- Nogueira, W.; Roma, G.; Herrera, P. Sound Scene Identification Based on MFCC, Binaural Features and a Support Vector Machine Classifier; Technical Report; IEEE AASP Challenge on Detection and Classification of Acoustic Scenes and Events; IEEE: Piscataway, NJ, USA, 2013; Available online: http://c4dm.eecs.qmul.ac.uk/sceneseventschallenge/abstracts/SC/NR1.pdf (Accessed on 6 January 2017).
- Mel Frequency Cepstral Coefficient (MFCC) Tutorial. Available online: http://practicalcryptography.com/miscellaneous/machine-learning/guide-mel-frequency-cepstral-coefficients-mfccs/ (accessed on 18 September 2017).
- Brown, A.L. Soundscapes and environmental noise management. Noise Control Eng. J. 2010, 58, 493–500. [Google Scholar] [CrossRef]
- Bunting, O.; Stammers, J.; Chesmore, D.; Bouzid, O.; Tian, G.Y.; Karatsovis, C.; Dyne, S. Instrument for Soundscape Recognition, Identification and Evaluation (ISRIE): Technology and Practical Uses. In Proceedings of the EuroNoise, Edinburgh, UK, 26–28 October 2009. [Google Scholar]
- Bunting, O.; Chesmore, D. Time frequency source separation and direction of arrival estimation in a 3D soundscape environment. Appl. Acoust. 2013, 74, 264–268. [Google Scholar] [CrossRef]
- International Standards Organisation. ISO 12913-1:2014—Acoustics—Soundscape—Part 1: Definition and Conceptual Framework; International Standards Organisation: Geneva, Switzerland, 2014. [Google Scholar]
- Davies, W.J.; Bruce, N.S.; Murphy, J.E. Soundscape Reproduction and Synthesis. Acta Acust. United Acust. 2014, 100, 285–292. [Google Scholar] [CrossRef]
- Guastavino, C.; Katz, B.F.; Polack, J.D.; Levitin, D.J.; Dubois, D. Ecological Validity of Soundscape Reproduction. Acta Acust. United Acust. 2005, 91, 333–341. [Google Scholar]
- Liu, J.; Kang, J.; Behm, H.; Luo, T. Effects of landscape on soundscape perception: Soundwalks in city parks. Landsc. Urban Plan. 2014, 123, 30–40. [Google Scholar] [CrossRef]
- Axelsson, Ö.; Nilsson, M.E.; Berglund, B. A principal components model of soundscape perception. J. Acoust. Soc. Am. 2010, 128, 2836–2846. [Google Scholar] [CrossRef] [PubMed]
- Harriet, S.; Murphy, D.T. Auralisation of an Urban Soundscape. Acta Acust. United Acust. 2015, 101, 798–810. [Google Scholar] [CrossRef]
- Lundén, P.; Axelsson, Ö.; Hurtig, M. On urban soundscape mapping: A computer can predict the outcome of soundscape assessments. In Proceedings of the Internoise, Hamburg, Germany, 21–24 August 2016; pp. 4725–4732. [Google Scholar]
- Aletta, F.; Kang, J.; Axelsson, Ö. Soundscape descriptors and a conceptual framework for developing predictive soundscape models. Landsc. Urban Plan. 2016, 149, 65–74. [Google Scholar] [CrossRef]
- Bunting, O. Sparse Seperation of Sources in 3D Soundscapes. Ph.D. Thesis, University of York, York, UK, 2010. [Google Scholar]
- Aucouturier, J.J.; Defreville, B.; Pachet, F. The Bag-of-frames Approach to Audio Pattern Recognition: A Sufficient Model for Urban Soundscapes But Not For Polyphonic Music. J. Acous. Soc. Am. 2007, 122, 881–891. [Google Scholar] [CrossRef] [PubMed]
- Lagrange, M.; Lafay, G. The bag-of-frames approach: A not so sufficient model for urban soundscapes. J. Acoust. Soc. Am. 2015, 128. [Google Scholar] [CrossRef] [PubMed]
- Mesaros, A.; Heittola, T.; Virtanen, T. TUT Database for Acoustic Scene Classification and Sound Event Detection. In Proceedings of the 24th European Signal Processing Conference (EUSIPCO), Budapest, Hungary, 28 August–2 September 2016. [Google Scholar]
- Joachim Thiemann, N.I.; Vincent, E. The Diverse Environments Multi-channel Acoustic Noise Database (DEMAND): A database of multichannel environmental noise recordings. In Proceedings of the Meetings on Acoustics, Montreal, QC, Canada, 2–7 June 2013; Volume 19. [Google Scholar]
- MH Acoustics. em32 Eigenmike® Microphone Array Release Notes; MH Acoustics: Summit, NJ, USA, 2013. [Google Scholar]
- Bates, E.; Gorzel, M.; Ferguson, L.; O’Dwyer, H.; Boland, F.M. Comparing Ambisonic Microphones—Part 1. In Proceedings of the Audio Engineering Society Conference: 2016 AES International Conference on Sound Field Control, Guildford, UK, 18–20 July 2016. [Google Scholar]
- Bates, E.; Dooney, S.; Gorzel, M.; O’Dwyer, H.; Ferguson, L.; Boland, F.M. Comparing Ambisonic Microphones—Part 2. In Proceedings of the 142nd Convention of the Audio Engineering Society, Berlin, Germany, 20–23 May 2017. [Google Scholar]
- MH Acoustics. Eigenbeam Data Specification for Eigenbeams Eigenbeam Data Specification for Eigenbeams Eigenbeam Data Specification for Eigenbeams Eigenbeam Data: Specification for Eigenbeams; MH Acoustics: Summit, NJ, USA, 2016. [Google Scholar]
- Soundfield. ST350 Portable Microphone System User Guide; Soundfield: London, UK, 2008. [Google Scholar]
- Van Grootel, M.W.W.; Andringa, T.C.; Krijnders, J.D. DARES-G1: Database of Annotated Real-world Everyday Sounds. In Proceedings of the NAG/DAGA Meeting, Rotterdam, The Netherlands, 23–26 March 2009. [Google Scholar]
- Samsung Gear 360 Camera. Available online: http://www.samsung.com/us/support/owners/product/gear-360-2016 (accessed on 8 September 2017).
- UK Data Service—Recommended Formats. Available online: https://www.ukdataservice.ac.uk/manage-data/format/recommended-formats (accessed on 11 September 2017).
- Pulkki, V. Directional audio coding in spatial sound reproduction and stereo upmixing. In Proceedings of the AES 28th International Conference, Pitea, Sweden, 30 June–2 July 2006. [Google Scholar]
- Pulkki, V. Spatial Sound Reproduction with Directional Audio Coding. J. Audio Eng. Soc. 2007, 55, 503–516. [Google Scholar]
- Pulkki, V.; Laitinen, M.V.; Vilkamo, J.; Ahonen, J.; Lokki, T.; Pihlajamäki, T. Directional audio coding—Perception-based reproduction of spatial sound. In Proceedings of the International Workshop on the Principle and Applications of Spatial Hearing, Miyagy, Japan, 11–13 November 2009. [Google Scholar]
- Kallinger, M.; Kuech, F.; Shultz-Amling, R.; Galdo, G.D.; Ahonen, J.; Pulkki, V. Analysis and adjustment of planar microphone arrays for application in Directional Audio Coding. In Proceedings of the 124th Convention of the Audio Engineering Society, Amsterdam, The Netherlands, 17–20 May 2008. [Google Scholar]
- Green, M.C.; Murphy, D. Acoustic Scene Classification Using Spatial Features. In Proceedings of the Detection and Classification of Acoustic Scenes and Events, Munich, Germany, 16–17 November 2017. [Google Scholar]







© 2017 by the authors. Licensee MDPI, Basel, Switzerland. This article is an open access article distributed under the terms and conditions of the Creative Commons Attribution (CC BY) license (http://creativecommons.org/licenses/by/4.0/).
Share and Cite
Green, M.C.; Murphy, D. EigenScape: A Database of Spatial Acoustic Scene Recordings. Appl. Sci. 2017, 7, 1204. https://doi.org/10.3390/app7111204
Green MC, Murphy D. EigenScape: A Database of Spatial Acoustic Scene Recordings. Applied Sciences. 2017; 7(11):1204. https://doi.org/10.3390/app7111204
Chicago/Turabian StyleGreen, Marc Ciufo, and Damian Murphy. 2017. "EigenScape: A Database of Spatial Acoustic Scene Recordings" Applied Sciences 7, no. 11: 1204. https://doi.org/10.3390/app7111204
APA StyleGreen, M. C., & Murphy, D. (2017). EigenScape: A Database of Spatial Acoustic Scene Recordings. Applied Sciences, 7(11), 1204. https://doi.org/10.3390/app7111204
 
         
                                                

