Co-Combustion of Fast Pyrolysis Bio-Oil Derived from Coffee Bean Residue and Diesel in an Oil-Fired Furnace
Abstract
1. Introduction
2. Experimental
2.1. Preparation of Test Fuel
2.2. Furnace
2.3. Experimental Procedure
2.4. Furnace Preheating Process
3. Results and Discussion
3.1. Combustion Tuning
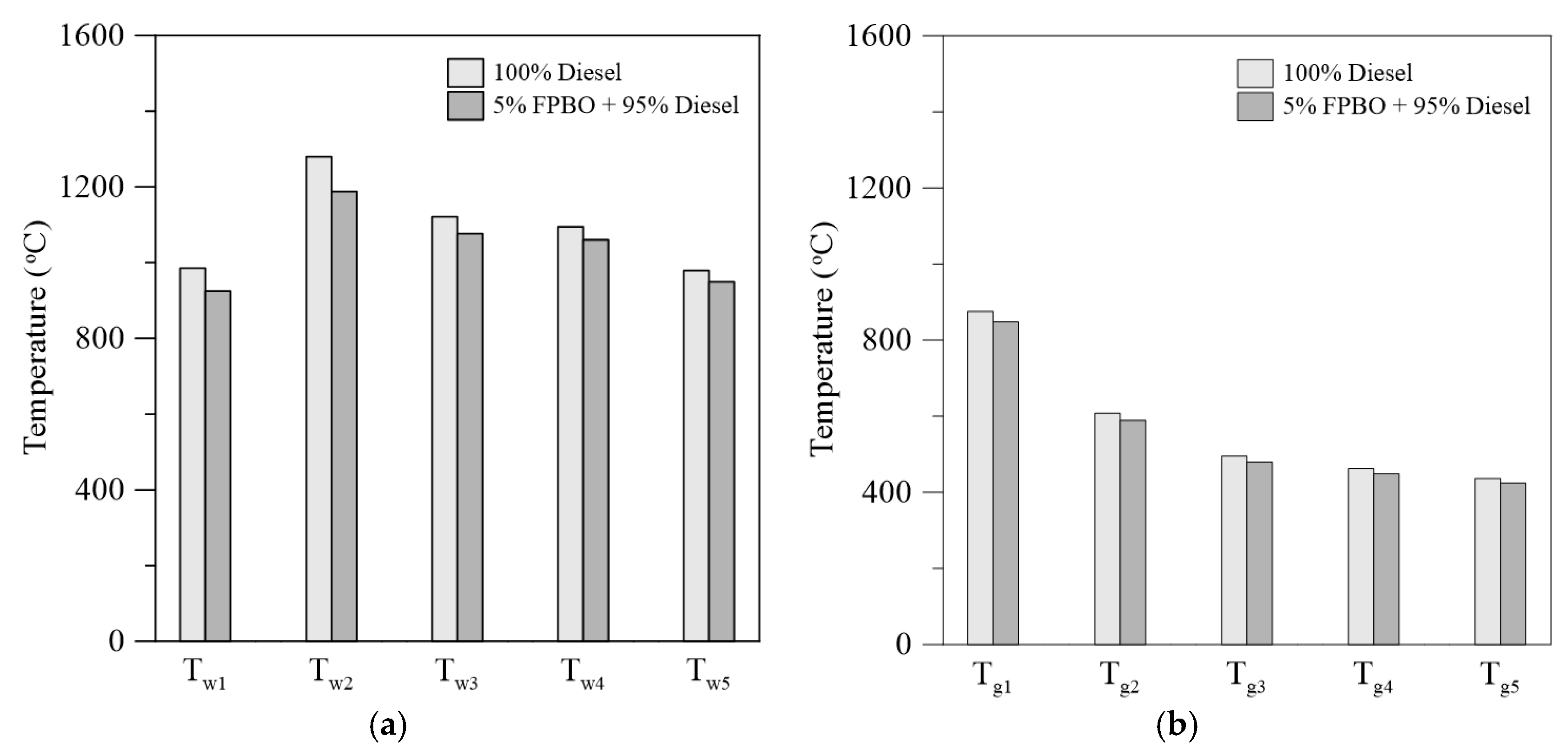
3.2. Temperature Distribution
3.3. Emissions
3.4. Combustion Efficiency
4. Conclusions
- (1)
- The air supply rates necessary to meet the minimum excess oxygen requirement were 246 and 256 Nm3/h, respectively, for pure diesel and the blend of 5% bio-oil + 95% diesel.
- (2)
- Combustion instability did not occur during the co-firing test without any modifications to the combustion system.
- (3)
- At a fixed fuel flow rate (20 L/h), burning the blend of 5% bio-oil + 95% diesel resulted in a slightly lower temperature in the combustion chamber than burning pure diesel, since the fast pyrolysis bio-oil has a lower calorific value and a high oxygen content of as much as 56.31 wt %. This indicates that similar furnace temperature distributions, and thus heating characteristics, were obtained during the co-firing test.
- (4)
- Compared with burning pure diesel, comparable NO emissions (smaller than 57 ppm) were obtained for burning the blend of 5% bio-oil + 95% diesel, and lower net CO2 emissions were achieved because biomass is both carbon neutral and renewable. Moreover, the CO concentrations under these two burning conditions were very low (less than 35 ppm) because of the minimum excess oxygen operating conditions required to achieve complete combustion.
- (5)
- The SO2 emissions for burning the blend of 5% bio-oil + 95% diesel and diesel alone were nearly zero (smaller than 6 ppm) since both the bio-oil and diesel have a low sulfur content.
Acknowledgments
Author Contributions
Conflicts of Interest
References
- Demrbaş, A. Fuel and combustion properties of bio-wastes. Energy Sources 2005, 27, 451–462. [Google Scholar] [CrossRef]
- Park, J.K.; Park, S.; Kim, M.; Ryu, C.; Baek, S.H.; Kim, Y.J.; Lim, H.H.; Park, H.Y. CFD analysis of combustion characteristics for fuel switching to bioliquid in oil-fired power plant. Fuel 2015, 159, 324–333. [Google Scholar] [CrossRef]
- Hassan, E.B.; Abou-Yousef, H.; Steele, P.; El-Giar, E. Characterization of bio-oils from the fast pyrolysis of white oak and sweetgum. Energy Sources Part A 2016, 38, 43–50. [Google Scholar] [CrossRef]
- Bridgwater, A.V. Review of fast pyrolysis of biomass and product upgrading. Biomass Bioenergy 2012, 38, 68–94. [Google Scholar] [CrossRef]
- Bridgwater, A.V.; Meier, D.; Radlein, D. An overview of fast pyrolysis of biomass. Org. Geochem. 1999, 30, 1479–1493. [Google Scholar] [CrossRef]
- Goyal, H.B.; Seal, D.; Saxena, R.C. Bio-fuels from thermochemical conversion of renewable resources: A review. Renew. Sustain. Energy Rev. 2008, 12, 504–517. [Google Scholar] [CrossRef]
- Chiaramonti, D.; Oasmaa, A.; Solantausta, Y. Power generation using fast pyrolysis liquids from biomass. Renew. Sustain. Energy Rev. 2007, 11, 1056–1086. [Google Scholar] [CrossRef]
- Brammer, J.G.; Lauer, M.; Bridgwater, A.V. Opportunities for biomass-derived “bio-oil” in European heat and power markets. Energy Policy 2006, 34, 2871–2880. [Google Scholar] [CrossRef]
- Zheng, J.L.; Kong, Y.P. Spray combustion properties of fast pyrolysis bio-oil produced from rice husk. Energy Convers. Manag. 2010, 51, 182–188. [Google Scholar] [CrossRef]
- Laesecke, J.; Ellis, N.; Kirchen, P. Production, analysis and combustion characterization of biomass fast pyrolysis oil–Biodiesel blends for use in diesel engines. Fuel 2017, 199, 346–357. [Google Scholar] [CrossRef]
- Ghanbari, M.; Najafi, G.; Ghobadian, B.; Yusaf, T.; Carlucci, A.P.; Kiani, M.K.D. Performance and emission characteristics of a CI engine using nano particles additives in biodiesel-diesel blends and modeling with GP approach. Fuel 2017, 202, 699–716. [Google Scholar] [CrossRef]
- Ge, J.C.; Yoon, S.K.; Kim, M.S.; Choi, N.J. Application of canola oil biodiesel/diesel blends in a common rail diesel engine. Appl. Sci. 2016, 7, 34. [Google Scholar] [CrossRef]
- Tamilselvan, P.; Nallusamy, N.; Rajkumar, S.A. comprehensive review on performance, combustion and emission characteristics of biodiesel fuelled diesel engines. Renew. Sustain. Energy Rev. 2017, 79, 1134–1159. [Google Scholar] [CrossRef]
- Elsanusi, O.A.; Roy, M.M.; Sidhu, M.S. Experimental investigation on a diesel engine fueled by diesel-biodiesel blends and their emulsions at various engine operating conditions. Appl. Energy 2017, 203, 582–593. [Google Scholar] [CrossRef]
- Yang, S.I.; Hsu, T.C.; Wu, C.Y.; Chen, K.H.; Hsu, Y.L.; Li, Y.H. Application of biomass fast pyrolysis part II: The effects that bio-pyrolysis oil has on the performance of diesel engines. Energy 2014, 66, 172–180. [Google Scholar] [CrossRef]
- Hou, S.S.; Huang, W.C.; Rizal, F.M.; Lin, T.H. Co-Firing of fast pyrolysis bio-oil and heavy fuel oil in a 300-kWth furnace. Appl. Sci. 2016, 6, 326. [Google Scholar] [CrossRef]
- Huang, W.C.; Hou, S.S.; Lin, T.H. Combustion characteristics of a 300 kWth oil-fired furnace using castor oil/diesel blended fuels. Fuel 2017, 208, 71–81. [Google Scholar] [CrossRef]
- Zeb, H.; Park, J.; Riaz, A.; Ryu, C.; Kim, J. High-yield bio-oil production from macroalgae (Saccharina japonica) in supercritical ethanol and its combustion behavior. Chem. Eng. J. 2017, 327, 79–90. [Google Scholar] [CrossRef]
- Lee, S.W.; Herage, T.; Young, B. Emission reduction potential from the combustion of soy methyl ester fuel blended with petroleum distillate fuel. Fuel 2004, 83, 1607–1613. [Google Scholar] [CrossRef]
- Daho, T.; Vaitilingom, G.; Sanogo, O.; Ouiminga, S.K.; Zongo, A.S.; Piriou, B.; Koulidiati, J. Combustion of vegetable oils under optimized conditions of atomization and granulometry in a modified fuel oil burner. Fuel 2014, 118, 329–334. [Google Scholar] [CrossRef]
- Park, J.K.; Park, S.; Ryu, C.; Baek, S.H.; Kim, Y.J.; Park, H.Y. CFD analysis on bioliquid co-firing with heavy fuel oil in a 400 MWe power plant with a wall-firing boiler. Appl. Therm. Eng. 2017, 124, 1247–1256. [Google Scholar] [CrossRef]
- Raclavska, H.; Juchelkova, D.; Roubicek, V.; Matysek, D. Energy utilisation of biowaste—Sunflower-seed hulls for co-firing with coal. Fuel Process. Technol. 2011, 92, 13–20. [Google Scholar] [CrossRef]
- Hou, S.S.; Rizal, F.M.; Lin, T.H.; Yang, T.Y.; Wan, H.P. Microexplosion and ignition of droplets of fuel oil/bio-oil (derived from lauan wood) blends. Fuel 2013, 113, 31–42. [Google Scholar] [CrossRef]
- Zhang, M.; Wu, H. Stability of emulsion fuels prepared from fast pyrolysis bio-oil and glycerol. Fuel 2017, 206, 230–238. [Google Scholar] [CrossRef]
- Zhu, Z.; Toor, S.S.; Rosendahl, L.; Yu, D.H.; Chen, G.Y. Influence of alkali catalyst on product yield and properties via hydrothermal liquefaction of barley straw. Energy 2015, 80, 284–292. [Google Scholar] [CrossRef]
- Xu, C.B.; Lancaster, J. Conversion of secondary pulp/paper sludge powder to liquid oil products for energy recovery by direct liquefaction in hot-compressed water. Water Res. 2008, 42, 1571–1582. [Google Scholar] [CrossRef] [PubMed]
- Musatto, S.I.; Machado, E.M.S.; Martins, S.; Texeira, J.A. Production, composition and application of coffee and its industrial residues. Food Bioprocess Technol. 2011, 4, 661–672. [Google Scholar] [CrossRef]
- Bok, J.P.; Choi, H.S.; Choi, Y.S.; Park, H.C.; Kim, S.J. Fast pyrolysis of coffee grounds: Characteristics of product yields and biocrude oil quality. Energy 2012, 47, 17–24. [Google Scholar] [CrossRef]
- Yang, S.I.; Wu, M.S.; Wu, C.Y. Application of biomass fast pyrolysis part I: Pyrolysis characteristics and products. Energy 2014, 66, 162–171. [Google Scholar] [CrossRef]
- Teng, H.; Huang, T.S. Control of NOx emissions through combustion modifications for reheating furnaces in steel plants. Fuel 1996, 75, 149–156. [Google Scholar] [CrossRef]
- Griffin, W.C. Classification of surface-active agents by HLB. J. Cosmet. Sci. 1949, 1, 311–326. [Google Scholar]
- Wu, K.K.; Chang, Y.C.; Chen, C.H.; Chen, Y.D. High-efficiency combustion of natural gas with 21–30% oxygen-enriched air. Fuel 2010, 89, 2455–2462. [Google Scholar] [CrossRef]
- Zhou, W.; Jiang, J.; Duan, L; Hao, J. Evolution of submicrometer organic aerosols during a complete residential coal combustion process. Environ. Sci. Technol. 2016, 50, 7861–7869. [Google Scholar] [CrossRef] [PubMed]








| Element Analysis | Oily Phase | Aqueous Phase |
|---|---|---|
| Carbon (wt %) | 42.56 | 23.54 |
| Hydrogen (wt %) | 4.32 | 5.41 |
| Nitrogen (wt %) | 0.62 | 0.77 |
| Oxygen (wt %) | 46.19 | 66.31 |
| Water content (wt %) | 22.0 | 87.0 |
| pH | 3.6 | 3.6 |
| Viscosity@40 °C (cP) | 221.0 | 0.75 |
| Lower heating value (LHV) (MJ/Kg) | 21.59 | 8.32 |
| Peak No. | (min) | Component | Area (%) | |
|---|---|---|---|---|
| Oily Phase | Aqueous Phase | |||
| 1 | 1.3 | Water | 0.61 | 15.29 |
| 2 | 1.6 | Acetone | 0.14 | 0.99 |
| 3 | 1.8 | Hydroxy-acetaldehyde | 0.08 | 0.27 |
| 4 | 1.9 | Acetic acid | 0.16 | 2.10 |
| 5 | 2.6 | 1-Hydroxy-2-propanone | 0.16 | 1.72 |
| 6 | 3 | Propionic acid | 0.21 | 0.64 |
| 7 | 3.9 | Pyridine | 0.11 | 0.24 |
| 8 | 4.6 | 1-Hydroxy-2-butanone | 0.06 | 0.17 |
| 9 | 5 | 2-Hydroxytetrahydrofuran | 0.05 | 0.13 |
| 10 | 5.2 | Cyclopentanone | 0.06 | 0.16 |
| 11 | 5.4 | Butyric acid | 0.08 | 0.17 |
| 12 | 6.3 | 2-Cyclopenten-1-one | 0.05 | 0.24 |
| 13 | 6.8 | Furfuryl alcohol | 0.23 | 0.88 |
| 14 | 7.7 | Butyrolactone | 0.24 | 0.71 |
| 15 | 8.4 | 3-Methyl-2-cyclopenten-1-one | 0.17 | 0.32 |
| 16 | 8.7 | Phenol | 0.52 | 0.53 |
| 17 | 9.2 | 2-Hydroxy-3-methyl-2-cyclopenten-1-one | 0.34 | 0.72 |
| 18 | 9.3 | 2,3-Dimethyl-2-cyclopenten-1-one | 0.21 | 0.33 |
| 19 | 9.4 | Cresol | 0.38 | 0.37 |
| 20 | 9.8 | 2-Methoxyphenol | 1.05 | 1.78 |
| 21 | 10.8 | Pyrocatechol | 1.52 | 2.32 |
| 22 | 11.3 | Hydroquinone | 0.35 | 0.47 |
| 23 | 11.5 | Methyl benzenediol | 0.92 | 1.07 |
| 24 | 11.9 | 2,6-Dimethoxy-phenol | 0.42 | 0.44 |
| 25 | 12.5 | Levoglucosan | 0.39 | 0.61 |
| 26 | 15 | Caffeine | 1.51 | 1.57 |
| 27 | 15.1 | Hexadecanenitrile | 0.85 | 0.33 |
| 28 | 15.4 | Palmitic acid | 6.22 | 0.42 |
| 29 | 16.2 | Linoleic acid | 1.63 | 0.22 |
| 30 | 16.4 | Stearic acid | 1.66 | 0.29 |
| Properties | Diesel | FPBO | 5% FPBO + 95% Diesel |
|---|---|---|---|
| Density (@20 °C) | 1.15 g/cm3 | 0.849 g/cm3 | |
| Density (@15 °C) | 0.8334 g/cm3 | ||
| Flash point | 74 oC | 79 °C | 75 °C |
| Pour point | −9 °C | −8 °C | −9 °C |
| Boiling point | 85–90 °C | ||
| Pyrolysis solids content | 1.15 wt % | ||
| Kinematic viscosity (@40 °C) | 2.763 cSt | 48 cSt | 4.98 cSt |
| Water content | 0.0 wt % | 54.5 wt % | 3.69 wt % |
| Water and sediment | 0.005 vol % | ||
| Ash content | 0.0 wt % | 1.21 wt % | 0.083 wt % |
| Carbon | 85.41 wt % | 33.05 wt % | 81.86 wt % |
| Hydrogen | 13.58 wt % | 4.87 wt % | 12.99 wt % |
| Oxygen | 0 wt % | 56.31 wt % | 3.81 wt % |
| Nitrogen | 0.45 wt % | 0.695 wt % | 0.47 wt % |
| Sulfur | 5.5 ppmw | 0.11 wt % | 0.008 wt % |
| Carbon residue | 0.08 wt % | ||
| pH | 3.6 | ||
| Lower heating value (LHV) | 43.13 MJ/kg | 14.41 MJ/kg | 41.19 MJ/kg |
| Higher heating value (HHV) | 46.01 MJ/kg | 16.40 MJ/kg | 44.00 MJ/kg |
| Fuel | 100% Diesel | 5% FPBO + 95% Diesel |
|---|---|---|
| Tw1 (°C) | 985.6 | 925.1 |
| Tw2 (°C) | 1279.2 | 1188.0 |
| Tw3 (°C) | 1120.9 | 1076.5 |
| Tw4 (°C) | 1094.8 | 1060.2 |
| Tw5 (°C) | 979.2 | 949.2 |
| Tg1 (°C) | 875.7 | 848.1 |
| Tg2 (°C) | 607.9 | 589.1 |
| Tg3 (°C) | 495.5 | 479.6 |
| Tg4 (°C) | 462.4 | 448.7 |
| Tg5 (°C) | 436.4 | 424.1 |
| O2 (%) | 4.1 | 5.2 |
| CO (ppm) | 20 | 34 |
| CO2 (%) | 12.0 | 11.2 |
| NO (ppm) | 45.9 | 56.1 |
| SO2 (ppm) | 5.2 | 4.9 |
© 2017 by the authors. Licensee MDPI, Basel, Switzerland. This article is an open access article distributed under the terms and conditions of the Creative Commons Attribution (CC BY) license (http://creativecommons.org/licenses/by/4.0/).
Share and Cite
Hou, S.-S.; Huang, W.-C.; Lin, T.-H. Co-Combustion of Fast Pyrolysis Bio-Oil Derived from Coffee Bean Residue and Diesel in an Oil-Fired Furnace. Appl. Sci. 2017, 7, 1085. https://doi.org/10.3390/app7101085
Hou S-S, Huang W-C, Lin T-H. Co-Combustion of Fast Pyrolysis Bio-Oil Derived from Coffee Bean Residue and Diesel in an Oil-Fired Furnace. Applied Sciences. 2017; 7(10):1085. https://doi.org/10.3390/app7101085
Chicago/Turabian StyleHou, Shuhn-Shyurng, Wei-Cheng Huang, and Ta-Hui Lin. 2017. "Co-Combustion of Fast Pyrolysis Bio-Oil Derived from Coffee Bean Residue and Diesel in an Oil-Fired Furnace" Applied Sciences 7, no. 10: 1085. https://doi.org/10.3390/app7101085
APA StyleHou, S.-S., Huang, W.-C., & Lin, T.-H. (2017). Co-Combustion of Fast Pyrolysis Bio-Oil Derived from Coffee Bean Residue and Diesel in an Oil-Fired Furnace. Applied Sciences, 7(10), 1085. https://doi.org/10.3390/app7101085

