Abstract
A greener synthesis protocol for noble nanometals is developed using vitamin B12 as a reducing and capping agent in conjunction with the use of microwaves. Successful assembly of nanoparticles or microparticles with varied shapes and sizes have been demonstrated. The synthesized Ag, Au, and Pd samples were thoroughly characterized with X-ray diffraction, scanning electron microscopy, transmission electron microscopy, high resolution transmission microscopy, and UV-visible spectrophotometry, confirming that metallic Ag, Au, and Pd were synthesized by the green chemistry method.
1. Introduction
Noble metals such as gold (Au), silver (Ag), and palladium (Pd) have been widely used for many applications, including catalysis, electronics, photonics, optoelectronics, sensing, and pharmaceuticals [1,2,3,4,5]. In order to synthesize noble nanometals, various methods have been established, including a polyol process, sodium borohydride (NaBH4) reduction, and photoreduction [6,7,8,9,10,11,12]. Nevertheless, these conventional synthesis methods have several disadvantages, including the use of noxious reagents and volatile organic solvents as well as the production of hazardous by-products [6,7,8,9,10]. Therefore, it is of great importance to eliminate the use of toxic reducing agents for the synthesis of noble metal nanoparticles.
Several efforts have been made recently to utilize naturally occurring reducing compounds, namely vitamins and polyphenolic extracts of tea and fruit [13,14,15,16,17,18]. For example, vitamin B1 effectively reduced Pd ions and the structures of the ensuing Pd nanoparticles could be well controlled as nanobelts, nanoplates, and nanotrees at different concentrations of palladium precursors [17]. Vitamin B2 was used as a reducing and capping agent for the synthesis of metal nanoparticles [18]. In view of its antioxidative properties, water-soluble vitamin B12 is used now in the present work to synthesize Ag, Au, and Pd metal nanoparticles [19,20].
In addition to the use of greener reagents, alternative or renewable energy sources show significant promise in helping to reduce the amount of by-product formation and energy used. Not only do they safeguard against these harmful by-products, but the use of alternative energy helps to preserve many of the natural resources that we currently use [21]. For example, Komerneni et al. [22] reported that hematite could be synthesized with a microwave (MW)-assisted hydrothermal method and it is 36 times faster compared to a conventional synthesis. Microwave heating has emerged as an alternative and powerful energy source for nanomaterial synthesis [23], which can accomplish chemical transformations in a short span of time (e.g., minutes instead of hours or days) since enough energy for the chemical reaction can be directly provided by molecular vibrations due to MW [24]. A variety of highly crystalline nanomaterials with uniform sizes such as titanium dioxide, copper, and iron oxides have been expeditiously synthesized in minutes [25,26,27]. The fusion of both the use of safer reagents and MW heating ideally suits the development of a sustainable technology to create noble nanometals of uniform, smaller size by reducing or eliminating the formation of undesired wastes.
In this study, vitamin B12 was used as both a reducing and capping agent for the synthesis of Ag, Au, and Pd nanoparticles in conjunction with MW irradiation. The synthesized samples were thoroughly characterized by X-ray diffraction (XRD) analysis, scanning electron microscopy (SEM), transmission electron microscopy (TEM), UV-visible spectroscopy, and high resolution-transmission electron microscopy (HR-TEM). The MW irradiation was critical to synthesizing noble metals using vitamin B12; no particle formation was discerned at room temperature and oil bath heating at 100 °C without the use of MW irradiation.
2. Experimental Section
Vitamin B12 (Cobalamin, Sigma-Aldrich, St. Louis, MO, USA) 0.1% w/w solution was prepared using MilliQ water. For the synthesis of Ag, 0.1 M silver nitrate (AgNO3, Sigma-Aldrich, 99%) was mixed with vitamin B12 solution (see Table 1). For the synthesis of Au, 0.01 M gold (III) chloride (AuCl3, Sigma-Aldrich, 99%) solution was added to the vitamin B12 solution. For the synthesis of Pd, 0.1 M palladium acetate (Pd(O2CCH3)2, Sigma-Aldrich, 98%) was admixed with vitamin B12 solution. All prepared solutions were hand-shaken for 1 min and then placed in a CEM Discover focused MW synthesis system and irradiated at 100 °C for varying irradiation times; the experimental conditions are summarized in Table 1.
Table 1.
Experimental conditions for the synthesis of Ag, Au, and Pd a.
| Sample | Metal Precursor (mL) | Amount of Vitamin B12 (mL) | Irradiation Time (min) | |
|---|---|---|---|---|
| Ag | 1 | 1 | 5 | 3 |
| 2 | 2 | 4 | 6 | |
| Au | 1 | 1 | 5 | 3 |
| 2 | 2 | 4 | 6 | |
| Pd | 1 | 1 | 5 | 3 |
| 2 | 2 | 4 | 6 | |
a All experiments were conducted at 100 °C.
After MW irradiation, samples were cooled down to room temperature and then characterized. Scanning electron microscopy (SEM, Philips XL 30 ESEM-FEG, Eindhoven, The Netherlands) and transmission electron microscopy (TEM, Philips CM 20, Eindhoven, The Netherlands) were performed to investigate the surface morphology of the synthesized samples. In order to obtain detailed lattice information, high resolution TEM (HR-TEM, JEM-2010F, JEOL, Tokyo, Japan) was employed with a field emission gun at 200 kV. The samples were prepared by dispersing in isopropyl alcohol (99.8%, PHARMCO-AAPER, Brookfield, CT, USA) and sonication using a 2510R-DH sonicator (Bransonic, Danbury, CT, USA) for 20 min. The samples were dropped on a TEM copper grid (FCF400-Cu, EMS, Hatfield, PA, USA) and then air-dried. The obtained images of SEM, TEM, and HR-TEM were analyzed using the software ImageJ (National Institute of Health, Bethesda, MD, USA). UV absorption spectra were obtained using a UV-visible spectrophotometer (Cary 50 Conc, Varian, Agilent, Santa Clara, CA, USA). The XRD pattern was obtained using PANalytical Xpert Pro θ-2θ diffractometer (Almelo, The Netherlands) with Cu Kα radiation (λ = 1.5406 Å) in the two theta range from 20° to 80°. The pattern analysis was performed using the Jade + software v.7 or later (MDI, Inc., Livermore, CA, USA) by following the ASTM D934-80 procedure. Reference patterns were from the 2002 PDF-2 release from the ICDD (International Center for Diffraction Data, Newtown Square, PA, USA).
3. Results and Discussion
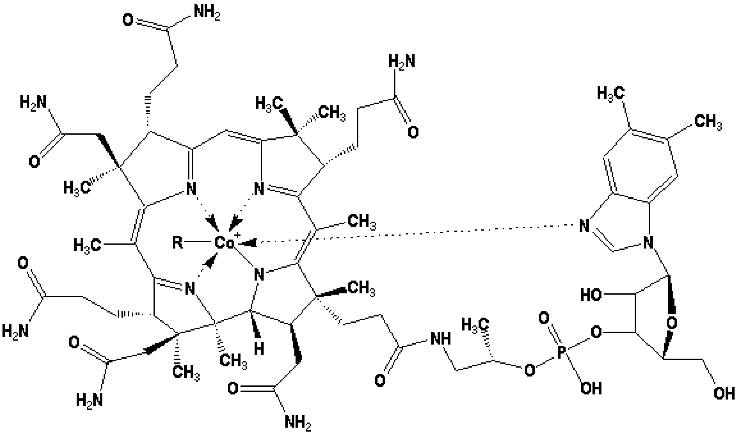
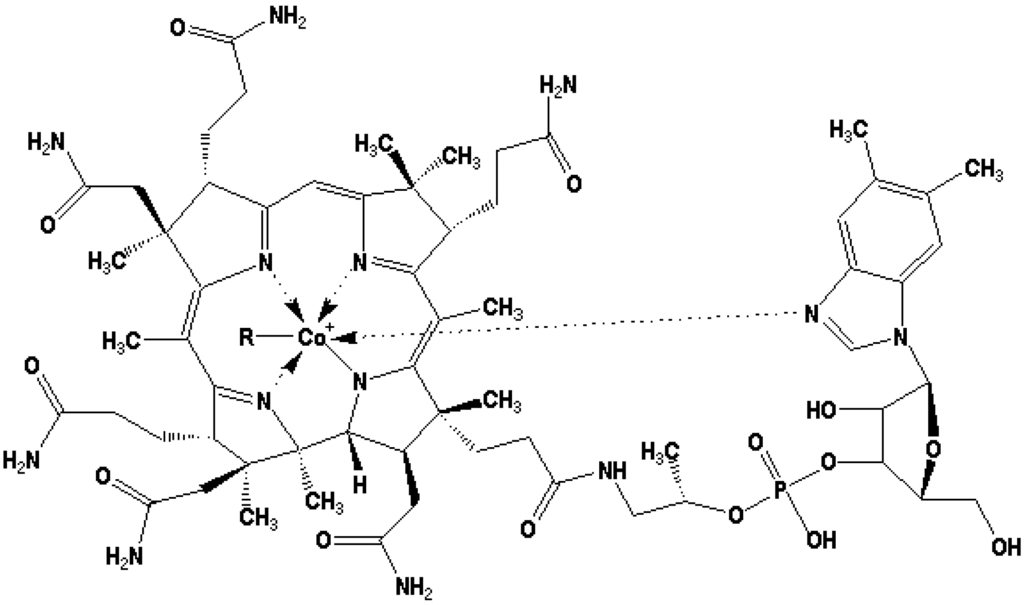
Vitamin B12 comprises a Corrin ring in which a cobalt atom is bound to four nitrogen molecules (molecular structure shown in Figure 1) [28]; the redox potential of cob(II)alamin/cob(I)alamin being 0.49 V at pH 7 [29]. The formation of metallic Ag, Au, and Pd nanoparticles via this greener method was scrutinized by XRD analysis. Figure 2 shows XRD patterns of the synthesized samples; Ag, Au, and Pd samples were well crystallized during the synthesis process using vitamin B12 under both 3 min and 6 min of MW irradiation, thus indicating that vitamin B12 effectively reduced metal ions in the solution. However, control reactions carried out at room temperature and 100 °C (oil bath heating) did not yield specified products. For Ag samples, the peaks corresponding to (111), (200), and (220) planes were observed at 2θ = 38.2, 44.4 and 64.66°, respectively (see Figure 2a). As shown in Figure 2b for Au, the peaks at 2θ = 38.17, 44.37, 64.56 and 77.55° were observed, which correspond to (111), (200), (220), and (311) planes, respectively. Peaks corresponding to (111), (200), and (220) planes of Pd were observed at 2θ = 40.15, 46.70 and 68.18°, respectively, for Pd samples (see Figure 2c).
Figure 1.
The molecular structure of vitamin B12.
Figure 1.
The molecular structure of vitamin B12.

Figure 2.
XRD patterns of synthesized samples: (a) Ag; (b) Au; (c) Pd; and (d) all samples treated at 100 °C without the MW irradiation.
Figure 2.
XRD patterns of synthesized samples: (a) Ag; (b) Au; (c) Pd; and (d) all samples treated at 100 °C without the MW irradiation.

Interestingly, no metallic nanoparticles were observed with conventional heating at 100 °C (see Figure 2d). Also, no particles formed in the samples aged for 24 h at room temperature or without MW treatment (see supplemental Figure S1). These results surmise that the MW irradiation is crucial for the synthesis of noble metal particles using vitamin B12. UV-visible absorption of the synthesized samples and vitamin B12 was investigated (Figure 3). It can be seen from Figure 3b that the absorbance at wavelengths ranging from 500 to 570 nm increased due to surface plasmon resonance (SPR) of silver nanoparticles [30] compared to that of vitamin B12; Ag nanoparticles normally exhibit resonance peaks at 400–450 nm.
Figure 3.
UV-visible absorbance for (a) vitamin B12, and synthesized (b) Ag NPs; (c) Au NPs; and (d) Pd NPs.
Figure 3.
UV-visible absorbance for (a) vitamin B12, and synthesized (b) Ag NPs; (c) Au NPs; and (d) Pd NPs.

However, in the present study, the shift in resonance peak is due to the formation of different shapes of particles in the presence of vitamin B12. The absorbance for the sample subjected to MW irradiation for 6 min was higher than the sample that was heated for 3 min. These results are in good agreement with the XRD analysis (see Figure 2a), as well as with earlier reports exhibiting the SPR effect of Ag nanoparticles at wavelengths ranging from 500 to 570 nm [30]. For Au nanoparticles, a slight increase of the absorbance at wavelengths ranging from 520 to 550 nm was noticed compared to that of vitamin B12, due to the localized surface plasmon resonance of Au (Figure 3c). This indicates that the formation of Au is in accordance with outcomes from XRD analysis (see Figure 2b) and earlier documented research [31,32]. For Pd samples, the specific light absorption patterns were not discerned due to the background light absorbance of vitamin B12 (see Figure 3d), but decreased absorbance around 560–570 nm was observed; Jarret et al. reported that decreased absorbance accompanied the oxidation of cob(I)alamin to cob(II)alamin [29]. Cob(I)alamin is one of the intermediates of vitamin B12 produced by the reduction of Co(III)-based cobalamins or cob(II)alamin [33]. Based on this observation, it may indicate that the released electron from the cobalamin oxidation can be used for the reduction of Pd ions.
In order to investigate morphological properties of the synthesized Ag, Au, and Pd samples, SEM and TEM analyses were performed. Figure 4, Figure 5 and Figure 6 show the SEM and TEM images of each sample of Ag, Au, and Pd. As shown in Figure 4a and Figure 4b, for Ag samples, large aggregates with irregular shapes and diameters ranging from 70 to 600 nm were synthesized using vitamin B12. TEM images show the formation of nanoparticles and large aggregates synthesized using vitamin B12. Nanoparticles with diameters less than 30 nm were observed in the sample treated with MW irradiation for 6 min (see red rectangles in Figure 4d).
Figure 4.
SEM (a,b), and TEM (c,d) images of synthesized Ag; samples with the present method: (a,c) for Ag sample MW-heated for 3 min, and (b,d) for Ag sample irradiated for 6 min.
Figure 4.
SEM (a,b), and TEM (c,d) images of synthesized Ag; samples with the present method: (a,c) for Ag sample MW-heated for 3 min, and (b,d) for Ag sample irradiated for 6 min.

Figure 5a–d for Au samples reveal the formation of particles of irregular shapes and sizes; small nanoparticles with an average diameter of 40 ± 11.7 nm were obtained under MW irradiation for 3 min, whereas much larger particles with a size over 500 nm were formed after 6 min of irradiation. Spherical-, triangular-, and decahedron-shaped microparticles were observed. The TEM images reaffirmed the formation of nanoparticles and microparticles for different durations of MW irradiation. For the MW-heated 6 min sample, nanoparticles of an average diameter of 9.9 ± 2.2 nm formed with the irregular, large micro-sized particles (see red rectangle in Figure 4d); the increase in particle size is presumably due to longer MW exposure time and crystal growth of the particles.
Figure 5.
SEM (a,b), TEM (c,d) images of synthesized Au; samples with the green chemistry method: (a,c) for Au sample microwaved for 3 min, and (b,d) for Au sample microwaved for 6 min.
Figure 5.
SEM (a,b), TEM (c,d) images of synthesized Au; samples with the green chemistry method: (a,c) for Au sample microwaved for 3 min, and (b,d) for Au sample microwaved for 6 min.

The SEM and TEM images of synthesized Pd samples are shown in Figure 6a–d. In keeping with the general trend, larger aggregates of an average size of 220 ± 45 nm were formed for the samples treated under longer durations of MW irradiation (i.e., 6 min). In contrast, nanoparticles with an average diameter of 40.2 ± 7.3 nm were discerned in the sample irradiated by MW for 3 min (Figure 6a,c). Moreover, the TEM images show that the sample irradiated by MW for 6 min contained primary particles with two different average diameters of 43.9 ± 7.1 and 6.6 ± 2.1 nm (Figure 6b,d). As shown in Figure 4 and Figure 5, micro-sized and nano-sized particles coexist, especially for Ag and Au samples irradiated with MW for 6 min.; the growth of particles is possibly due to a longer reaction time since no surfactants were used to control their structures.
In order to investigate the crystal phase in detail, HR-TEM analysis was performed on the synthesized samples. For the Ag sample, the lattice spacing of 0.145 nm was measured, which corresponds to the (220) plane of Ag (see Figure 7a) [34,35]. As shown in Figure 7b, the measured lattice spacing of 0.236 nm, corresponding to the (111) plane of Au, indicated that Au cations were well reduced via this method [36]. Additionally, as shown in Figure 7c, the lattice spacing of 0.137 nm was in good agreement with the lattice spacing of the (220) plane of Pd. [37] These HR-TEM analysis results corroborated the XRD analysis, thus reaffirming the prowess of this vitamin B12 synthesis method to produce noble nanometals under MW irradiation conditions.
Based on the results, we postulate a plausible mechanism for the synthesis of metal nanoparticles. Metal ions could be reduced using vitamin B12 due to the reduction and oxidation of cobalamin from cob(I)alamin to cob(II)alamin under MW irradiation. Metal nanoparticles are produced by the polyol method with MW assistance, a common method for the synthesis of metal nanoparticles via reduction [38,39,40] due to hydroxyl groups of vitamin B12.
Figure 6.
SEM (a,b), TEM (c,d) images of synthesized Pd samples; with the green chemistry method: (a,c) for the Pd sample MW-irradiated; for 3 min, and (b,d) for the Pd sample irradiated for 6 min.
Figure 6.
SEM (a,b), TEM (c,d) images of synthesized Pd samples; with the green chemistry method: (a,c) for the Pd sample MW-irradiated; for 3 min, and (b,d) for the Pd sample irradiated for 6 min.

Figure 7.
HR-TEM analysis for synthesized samples: (a) Ag NPs; (b) Au NPs; and (c) Pd NPs.
Figure 7.
HR-TEM analysis for synthesized samples: (a) Ag NPs; (b) Au NPs; and (c) Pd NPs.

4. Conclusions
Noble metal nanoparticles or microparticles were successfully synthesized via the MW-assisted method using vitamin B12, which played the dual role of a reducing and capping agent. The synthesized Ag, Au, and Pd samples were thoroughly characterized with XRD, SEM, TEM, HR-TEM, and UV-visible spectrophotometry; XRD analysis indicated the crystalline phase and confirmed the formation of metallic Ag, Au, and Pd. No nanometal or microparticles were formed without MW irradiation at room temperature (for 24 h) and/or 100 °C. However, upon heating in the MW at 100 °C, the duration of MW irradiation was a key to control the shape and size of the formed metal particles. Since noble nanometals such as Pd, Ag, and Au have been widely used as sensing materials, catalysts, and non-toxic drug carriers due to their unique properties [41,42,43,44], these synthesized metal nanoparticles could find potential applications in numerous areas of sensing, catalytic processes, and clinical applications.
Supplementary Materials
X.R.D. patterns of synthesized Ag, Au, and Pd samples at room temperature without microwave irradiation.
Acknowledgments
R.B. Nasir Baig was supported by the Postgraduate Research Program at the National Risk Management Research Laboratory administered by the Oak Ridge Institute for Science and Education through an interagency agreement between the U.S. Department of Energy and the U.S. Environmental Protection Agency.
Author Contributions
Performing the experiment: Varun Nagendra, R. B. Nasir Baig; Characterizing synthesized materials: Changseok Han, Mallikarjuna N. Nadagouda; Drafting of manuscript: Changseok Han, Varun Nagendra, R. B. Nasir Baig; Critical revision: Rajender S. Varma, Mallikarjuna N. Nadagouda; Planning and supervision of the research: Rajender S. Varma, Mallikarjuna N. Nadagouda.
Conflicts of Interest
The authors declare no conflict of interest.
Disclaimer
The U.S. Environmental Protection Agency, through its Office of Research and Development, funded and managed, or partially funded and collaborated in, the research described herein. It has been subjected to the Agency’s administrative review and has been approved for external publication. Any opinions expressed in this paper are those of the author(s) and do not necessarily reflect the views of the Agency, therefore, no official endorsement should be inferred. Any mention of trade names or commercial products does not constitute endorsement or recommendation for use.
References
- Li, Y.; Wuand, Y.; Ong, B.S. Facile synthesis of silver nanoparticles useful for fabrication of high-conductivity elements for printed electronics. J. Am. Chem. Soc. 2005, 127, 3266–3267. [Google Scholar] [CrossRef] [PubMed]
- McFarland, A.D.; Van Duyne, R.P. Single silver nanoparticles as real-time optical sensors with zeptomole sensitivity. Nano Lett. 2003, 3, 1057–1062. [Google Scholar] [CrossRef]
- Giljohann, D.A.; Seferos, D.S.; Daniel, W.L.; Massich, M.D.; Patel, P.C.; Mirkin, C.A. Gold nanoparticles for biology and medicine. Angew. Chem. Int. Ed. 2010, 49, 3280–3294. [Google Scholar] [CrossRef] [PubMed]
- Doucet, H.; Hierso, J.C. Palladium coupling catalysts for pharmaceutical applications. Curr. Opin. Drug. Discov. Devel. 2007, 10, 672–690. [Google Scholar] [PubMed]
- Iliopoulos, K.; Chatzikyriakos, G.; Demetriou, M.; Krasia-Christoforou, T.; Couris, S. Preparation and nonlinear optical response of novel palladium-containing micellar nanohybrids. Opt. Mater. 2011, 33, 1342–1349. [Google Scholar] [CrossRef]
- Malina, D.; Sobczak-Kupiec, A.; Wzorek, Z.; Kowalski, Z. Silver nanoparticles synthesis with different concentrations of polyvinylpyrrolidone. Dig. J. Nanomater. Biostrutures 2012, 7, 1527–1534. [Google Scholar]
- Rashid, M.U.; Bhuiyan, M.K.H.; Quayum, M.E. Synthesis of silver nano particles (Ag-NPs) and their uses for quantitative analysis of vitamin C tablets. Dhaka Univ. J. Pharm. Sci. 2013, 12, 29–33. [Google Scholar] [CrossRef]
- Mazumdar, H.; Ahmed, G.U. Synthesis of silver nanoparticles and its adverse effect germination. Int. J. Adv. Biotechnol. Res. 2012, 2, 404–413. [Google Scholar]
- Khanna, P.K.; Singh, N.; Charan, S.; Subbarao, V.V.V.S.; Gokhale, R.; Mulik, U.P. Synthesis and characterization of Ag/PVA nanocomposite by chemical reduction method. Mater. Chem. Phys. 2005, 93, 117–121. [Google Scholar] [CrossRef]
- Guzman, M.; Dille, J.; Godet, S. Synthesis and antibacterial activity of silver nanoparticles against gram-positive and gram-negative bacteria. Nanomed. Nanotechnol. 2012, 8, 37–45. [Google Scholar] [CrossRef] [PubMed]
- Nguyen, V.L.; Nguyen, D.C.; Hirata, H.; Ohtaki, M.; Hayakawa, T.; Nogami, M. Chemical synthesis and characterization of palladium nanoparticles. Adv. Nat. Sci.: Nanosci. Nanotechnol. 2010, 1, 035012. [Google Scholar] [CrossRef]
- Cookson, J. The preparation of palladium nanoparticles. Platin. Met. Rev. 2012, 2, 83–98. [Google Scholar] [CrossRef]
- Dinn, J.; Liu, J.L.; Bashir, S. Use of natural products as green reducing agents to fabricate highly effective nanodisinfectants. J. Agric. Food Chem. 2013, 61, 2019–2027. [Google Scholar] [CrossRef] [PubMed]
- Nadagouda, M.N.; Castle, A.B.; Murdock, R.C.; Hussain, S.M.; Varma, R.S. In vitro biocompatibility of nanoscale zerovalent iron particles (NZVI) synthesized using tea polyphenols. Green Chem. 2010, 12, 114–122. [Google Scholar] [CrossRef]
- Nadagouda, M.N.; Speth, T.F.; Varma, R.S. Microwave-assisted green synthesis of silver nanostructures. Acc. Chem. Res. 2011, 44, 469–478. [Google Scholar] [CrossRef] [PubMed]
- Nadagouda, M.N.; Varma, R.S. Green synthesis of silver and palladium nanoparticles at room temperature using coffee and tea extract. Green Chem. 2008, 10, 859–862. [Google Scholar] [CrossRef]
- Nadagouda, M.N.; Polshettiwar, W.; Varma, R.S. Self-assembly of palladium nanoparticles: Synthesis of nanobelts, nanoplates and nanotrees using vitamin B1, and their application in carbon-carbon coupling reactions. J. Mater. Chem. 2009, 19, 2026–2031. [Google Scholar] [CrossRef]
- Nadagouda, M.N.; Varma, R.S. Risk Reduction via Greener Synthesis of Noble Metal Nanostructures and Nanocomposites. In Nanomaterials: Risks and Benefits; Linkov, I., Steevens, J., Eds.; Springer: Dordrecht, The Netherlands, 2009. [Google Scholar]
- Birch, C.S.; Brasch, N.E.; McCaddon, A.; Williams, J.H.H. A novel role for vitamin B12: Cobalamins are intracellular antioxidants in vitro. Free Radic. Biol. Med. 2009, 47, 184–188. [Google Scholar] [CrossRef] [PubMed]
- Manzanares, W.; Hardy, G. Vitamin B12: The forgotten micronutrient for critical care. Curr. Opin. Clin. Nutr. Metab. Care 2010, 13, 662–668. [Google Scholar] [CrossRef] [PubMed]
- Chen, W.; Cai, W.; Lei, Y.; Zhang, L. A sonochemical approach to the confined synthesis of palladium nanoparticles in mesoporous silica. Mater. Lett. 2001, 50, 53–56. [Google Scholar] [CrossRef]
- Komarneni, S.; Menon, V.C.; Li, Q.H. Synthesis of ceramic powders by novel microwave-hydrothermal processing. Ceram. Trans. 1996, 62, 1042–1122. [Google Scholar]
- Polshettiwar, V.; Nadagouda, M.N.; Varma, R.S. Microwave-assisted chemistry: A rapid and sustainable route to synthesis of organics and nanomaterials. Aust. J. Chem. 2009, 62, 16–26. [Google Scholar] [CrossRef]
- Baghbanzadeh, M.; Carbone, L.; Cozzoli, P.D.; Kappe, C.O. Microwave-assisted synthesis of colloidal inorganic nanocrystals. Angew. Chem. 2011, 50, 11312–11359. [Google Scholar] [CrossRef] [PubMed]
- Periyat, P.; Leyland, N.; McCormack, D.E.; Colreavy, J.; Corr, E.; Pillai, S.C. Rapid microwave synthesis of mesoporous TiO2 for electrochromic displays. J. Mater. Chem. 2010, 20, 3650–3655. [Google Scholar] [CrossRef]
- Polshettiwar, V.; Baruwati, B.; Varma, R.S. Self-assembly of metal oxides into three-dimensional nanostructures: Synthesis and application in catalysis. ACS Nano 2009, 3, 728–736. [Google Scholar] [CrossRef] [PubMed]
- Baruwati, B.; Nadagouda, M.N.; Varma, R.S. Bulk synthesis of monodisperse ferrite nanoparticles at water-organic interfaces under conventional and microwave hydrothermal treatment and their surface functionalization. J. Phys. Chem. C 2008, 112, 18399–18404. [Google Scholar] [CrossRef]
- Lexa, D.; Saveant, J.-M. The electrochemistry of vitamin B12. Acc. Chem. Res. 1983, 16, 235–243. [Google Scholar] [CrossRef]
- Jarret, J.T.; Choi, C.Y.; Matthews, R.G. Changes in protonation associated with substrate binding and cob(I)alamin formation of cobalamin-dependent methionine synthase. Biochemistry 1997, 36, 15739–15748. [Google Scholar] [CrossRef] [PubMed]
- Rupiasih, N.N.; Aher, A.; Gosavi, S.; Vidyasagar, P.B. Green synthesis of silver nanoparticles using latex extract of Thevetia peruviana: A novel approach towards poisonous plant utilization. J. Phys. Conf. Ser. 2013, 423, 012032. [Google Scholar] [CrossRef]
- Kornobis, K.; Ruud, K.; Kozlowski, P.M. Cob(I)alamin: Insight into the nature of electronically excited states elucidated via quantum chemical computations and analysis of absorption, CD and MCD data. J. Phys. Chem. A 2013, 117, 863–876. [Google Scholar] [CrossRef] [PubMed]
- Lee, P.C.; Meisel, D. Adsorption and surface-enhanced Raman of dyes on silver and god sols. J. Phys. Chem. 1982, 86, 3391–3395. [Google Scholar] [CrossRef]
- McFarland, A.D.; Haynes, C.L.; Mirkin, C.A.; Van Duyne, R.P.; Godwin, H.A. Color my nanoworld. J. Chem. Educ. 2004, 81, 544A–544B. [Google Scholar] [CrossRef]
- Patel, A.S.; Mohanty, T. Silver nanoclusters in BSA template a selective sensor for hydrogen peroxide. J. Mater. Sci. 2014, 49, 2136–2143. [Google Scholar] [CrossRef]
- Song, J.Y.; Kim, B.S. Rapid biological synthesis of silver nanoparticles using plant leaf extracts. Bioprocess. Biosyst. Eng. 2009, 32, 79–84. [Google Scholar] [CrossRef] [PubMed]
- Wang, C.; Hu, Y.; Lieber, C.M.; Sun, S. Ultrathin Au nanowires and their transport properties. J. Am. Chem. Soc. 2008, 130, 8902–8903. [Google Scholar] [CrossRef] [PubMed]
- Yoo, Y.; Yoon, I.; Lee, H.; Ahn, J.; Ahn, J.P.; Kim, B. Pattern-selective epitaxial growth of twin-free Pd nanowires from supported nanocrystal seeds. ACS Nano 2010, 4, 2919–2927. [Google Scholar] [CrossRef] [PubMed]
- Kim, K.; Jeong, S.; Moon, J. Synthesis of silver nanoparticles using the polyol process and the influence of precursor injection. Nanotechnology 2006, 17, 4019–4024. [Google Scholar] [CrossRef] [PubMed]
- Carroll, K.J.; Reveles, J.U.; Shultz, M.D.; Khanna, S.N.; Carpenter, E.E. Preparation of elemental Cu and Ni nanoparticles by the polyol method: An experimental and theoretical approach. J. Phys. Chem. C 2011, 115, 2656–2664. [Google Scholar] [CrossRef]
- Long, N.V.; Ohtaki, M.; Yuasa, M.; Yoshida, S.; Kuragaki, T.; Thi, C.M.; Nogami, M. Synthesis and self-assembly of gold nanoparticles by chemically modified polyol methods under experimental control. J. Nanometer. 2013, 2013, 793125. [Google Scholar]
- Shi, L.; Wang, A.; Zhang, T.; Zhang, B.; Su, D.; Li, H.; Song, Y. One-step synthesis of Au-Pd alloy nanodendrites and their catalytic activity. J. Phys. Chem. C 2013, 117, 12526–12536. [Google Scholar] [CrossRef]
- Sarina, S.; Zhu, H.; Jaatinen, E.; Xiao, Q.; Liu, H.; Jia, J.; Chen, C.; Zhao, J. Enhancing catalytic performance of palladium in gold and palladium alloy nanoparticles for organic synthesis reactions through visible light irradiation at ambient temperature. J. Am. Chem. Soc. 2013, 135, 5793–5801. [Google Scholar] [CrossRef] [PubMed]
- Conde, J.; Doria, G.; Baptista, P. Noble metal nanoparticles applications in cancer. J. Drug Deliv. 2012, 2012, 751075. [Google Scholar] [CrossRef] [PubMed]
- Doria, G.; Conde, J.; Veigas, B.; Giestas, L.; Almeida, C.; Assunҫão, M.; Rosa, J.; Baptista, P.V. Noble metal nanoparticles for biosensing applications. Sensors 2012, 12, 1657–1687. [Google Scholar] [CrossRef] [PubMed]
© 2015 by the authors; licensee MDPI, Basel, Switzerland. This article is an open access article distributed under the terms and conditions of the Creative Commons Attribution license (http://creativecommons.org/licenses/by/4.0/).