Creep Mechanical Properties of Marble Under Graded Unloading Conditions
Abstract
1. Introduction
2. Materials and Methods
2.1. Sample Preparation and Test Equipment
2.2. Experimental Protocol Design
- (1)
- Conventional triaxial loading test
- (2)
- Triaxial unloading test
- (3)
- Graded unloading confining pressure and deviatoric stress creep test
- Apply confining pressure (σ3) to the target initial value (e.g., 15 MPa) at a constant rate.
- Increase axial stress (σ1) to achieve an initial deviatoric stress (q = σ1–σ3) equal to 40% of the peak deviatoric stress under the initial confining pressure. Hold this state constant for 24 h to observe creep.
- Reduce σ3 by a predetermined amount (e.g., 1 MPa) at a constant rate (1.5 MPa/min). Note that σ1 is kept constant during this phase.
- After the confining pressure reduction is complete, immediately increase σ1 to raise the deviatoric stress by an additional 10% of the initial peak deviatoric stress. Hold this new state constant for another 24 h.
3. Analysis of the Creep Characteristics of Marble Under Stepwise Unloading
3.1. Evolutionary Characteristics of Creep Deformation
3.2. Analysis of Creep Rate Characteristics and Mechanism
3.3. Analysis of Deformation Characteristics Comparison
- (1)
- Comparison of different unloading amounts under the same initial confining pressure
- (2)
- Comparison under the same unloading ratio condition at different initial confining pressures
- (3)
- Comparison under the same unloading amount condition under different initial confining pressures
3.4. Long-Term Intensity Characteristics
3.5. The Failure Characteristics of Marble Under Staged Unloading Conditions
4. Construction and Verification of the Creep Constitutive Model
4.1. Model Construction
4.2. Model Validation
4.2.1. Parameter Confirmation Method
4.2.2. Validation Results and Comparison
5. Conclusions
- (1)
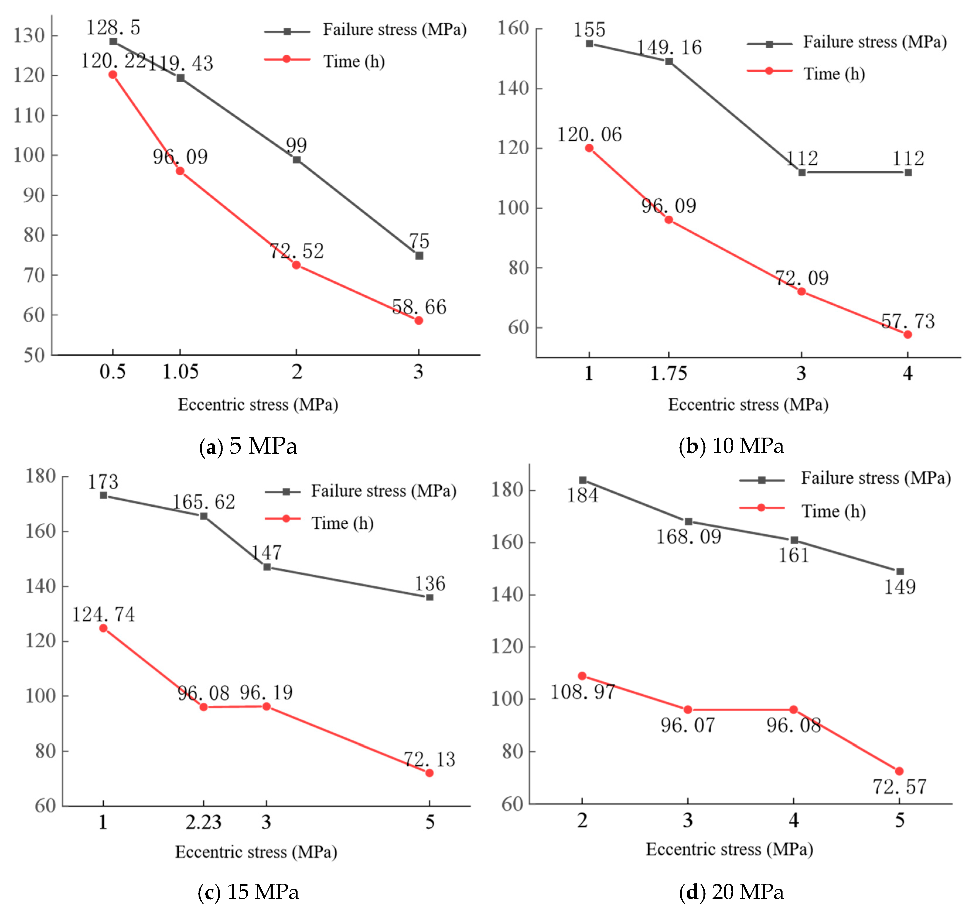
- Under the path of unloading confining pressure and deviatoric stress, the creep process of marble can be divided into three stages: attenuation creep, steady creep, and acceleration creep. As shown in Figure 3 and Figure 4, with increasing confining pressure unloading magnitude, the creep failure stress decreases significantly, and the total test duration is markedly shortened. This indicates that unloading of confining pressure is a key factor controlling the long-term stability of marble.
- (2)
- The creep rate analysis (Figure 5) shows that under small unloading conditions, the creep rate initially decreases and then increases with stress level; under large unloading conditions, it increases monotonically. This reflects that confining pressure unloading significantly weakens the stability of the rock mass during creep, with larger unloading steps accelerating failure.
- (3)
- The long-term strength of marble was determined using the isochronous stress–strain curve method (Table 2). As initial confining pressure increases and unloading magnitude increases, the ratio of long-term strength to failure strength generally decreases (ranging from 0.86 under uniaxial conditions to 0.73–0.80 under unloading conditions), reflecting the reduction in the time-dependent strength margin under unloading conditions.
- (4)
- Based on the graded unloading creep test results, a three-dimensional non-stationary Nishihara creep model was validated for the specific stress path of stepwise confining pressure unloading with synchronous axial stress loading. The model effectively captures the full creep process of marble under this path. From an engineering perspective, it provides a theoretical basis for predicting long-term convergence deformation in deep excavations. By incorporating in situ stress fields and excavation sequences, the model can help estimate optimal timing for secondary lining installation and assess long-term tunnel serviceability, offering a quantitative tool for design and safety assessment in similar rock masses.
Author Contributions
Funding
Institutional Review Board Statement
Informed Consent Statement
Data Availability Statement
Acknowledgments
Conflicts of Interest
References
- Xiong, Z.; Lu, H.; Wang, M.; Qian, Q.; Rong, X. Research progress on safety risk management of large-scale geotechnical engineering construction in China. Rock Soil Mech. 2018, 39, 3703–3716. [Google Scholar]
- Yang, C.; Wang, G.; Wang, J.; Yin, L.; Mao, H. Study on rock mechanics and seepage characteristics of Beishan preselected area in Gansu. Rock Mech. Eng. 2006, 25, 825–832. [Google Scholar]
- Wang, M.; Zhou, Z.; Qian, Q. Structure, deformation and failure of deep rock mass. J. Rock Mech. Eng. 2006, 25, 448–455. [Google Scholar]
- Su, Y. Fractional creep constitutive model of rock considering time-dependent damage. J. Yangtze River Sci. Res. Inst. 2022, 39, 92–97. [Google Scholar]
- Gao, Y.; Zhou, H.; Zhang, C.; Chen, J.; He, S.; Liu, N. Theoretical study on aging strength of hard brittle rock. J. Rock Mech. Eng. 2018, 37, 671–678. [Google Scholar]
- Huang, B.; Zhang, N.; Jing, H.; Kan, J.; Meng, B.; Li, N.; Xie, W.; Jiao, J. Theory of peripheral rock rheology and large deformation of structural instability in deep well mining roadways. J. Coal 2020, 45, 911–926. [Google Scholar]
- Hadiseh, M.; Rassoul, A. Mechanical behavior of salt rock under uniaxial compression and creep tests. Int. J. Rock Mech. Min. Sci. 2018, 110, 19–27. [Google Scholar]
- Zhang, J.; Yang, Z.; Du, R.; Xiang, X.; Chen, Y. Research on the Deformation Characteristics of Tunnel Structures Based on Anisotropic Creep Properties. Chin. J. Undergr. Space Eng. 2025, 21, 917–928. [Google Scholar]
- Mohammadreza, A.; Hossein, M.; Amin, H.P.; Leandro, R.A. Estimating time-to-failure and long-term strength of rocks based on creep strain rate model. Rock Mech. Rock Eng. 2025, 58, 4207–4223. [Google Scholar]
- Zhao, Y.; Niu, X.; Qi, X.; Hua, Y. Creep Long-Term Strength of Marble Under Coupling Effect of Hydration Freezing-Thaw. J. Jilin Univ. (Earth Sci. Ed.) 2025, 55, 188–198. [Google Scholar]
- Mishra, B.; Verma, P. Uniaxial and triaxial single and multistage creep tests on coal-measure shale rocks. Int. J. Coal Geol. 2015, 137, 55–65. [Google Scholar] [CrossRef]
- Zhao, N.; Zhang, Y.B.; Wang, L. Experimental study on multi-scale evolution of creep rupture of sandstone. J. Appl. Mech. 2023, 40, 87–95. [Google Scholar]
- Li, Z.; Zhou, J.; Zhang, D.; Zhang, L.; Zeng, Q.; Yang, Z.; Fu, Y. Experimental study on the influence of dry-wet cycle on creep characteristics of argillaceous siltstone in longyou grottoes. J. Eng. Geol. 2024, 32, 2003–2016. [Google Scholar]
- Guo, Y.; Wang, S.; Li, J.; Hu, P.; Wang, X. Creep Characteristics of Saturated Sandstone under Different Water Pressures by Stepwise Loading. Chin. J. Undergr. Space Eng. 2025, 21, 910–916. [Google Scholar]
- Hu, M.; Xiao, B.; Lu, Y.; Zhang, Y.; Zhang, Y. Creep tests and creep model for reconstituted over-consolidated saturated clay. Chin. J. Geotech. Eng. 2023, 45, 6–10. [Google Scholar]
- Shi, W.; Xu, X.; Huang, T.; Xiang, L.; Lei, X. Unloading creep test and long-term strength of soft rock under different initial stresses. Sci. Technol. Eng. 2022, 22, 11577–11584. [Google Scholar]
- Zhou, R.; Cheng, H.; Cai, H.; Liu, T. Creep characteristics and creep modeling of siltstone under triaxial compression and graded unloading conditions. J. Rock Mech. Eng. 2022, 41, 1136–1147. [Google Scholar]
- Yan, Z.; Xia, C.; Li, H. Study on rheological law of Jinping marble under graded unloading conditions. Chin. J. Rock Mech. Eng. 2008, 27, 2153–2159. [Google Scholar]
- Ni, J.; Li, S.; Hang, Y.; Wei, Y. Experimental study on creep behavior of saturated soft clays under loading and unloading conditions. J. Eng. Geol. 2019, 27, 1262–1269. [Google Scholar]
- Liu, X.; Li, S.; Zhou, Y.; Li, Y.; Wang, W. Study on creep properties and long-term strength of high-stress muddy siltstone. J. Rock Mech. Eng. 2020, 39, 138–146. [Google Scholar]
- Guo, X.; Li, W. Mechanical Properties and Damage Analysis of Cyclic Freeze-thaw Creep of Saturated Rock. Sci. Technol. Eng. 2024, 24, 7584–7591. [Google Scholar]
- GB/T 50266-2013; Standard for Test Methods of Engineering Rock Mass. Ministry of Housing and Urban-Rural Development of the People’s Republic of China: Beijing, China, 2013.
- Qian, Y.; Wu, Y.; Pei, W.; Zhu, Y. Strength and deformation characteristics of rock under different unloading rates. J. Water Conserv. Water Transp. Eng. 2020, 48–54. [Google Scholar] [CrossRef]
- Zhou, J.; Jing, M.; Fan, C.; Wang, J. Method for determining the long-term strength of Jinping marble under true triaxial stress. Chin. J. Rock Mech. Eng. 2023, 42, 3324–3330. [Google Scholar]
- Wang, Z.; Li, Y. Rock Mass Rheology Theory and Its Numerical Simulation; Science Press: Beijing, China, 2008; pp. 7–27. [Google Scholar]
- Zhang, X.; Lin, H.; Wang, Y.; Zhao, Y. Creep damage model of rock mass under multi-level creep load based on spatio-temporal evolution of deformation modulus. Arch. Civ. Mech. Eng. 2021, 21, 71. [Google Scholar] [CrossRef]
- Guan, S.; Wang, L.; Sun, C. Rock fractional order statistical damage rheological constitutive model. J. Liaoning Tech. Univ. (Nat. Sci. Ed.) 2021, 40, 518–524. [Google Scholar]














| Initial Confining Pressure/MPa | Unloading Magnitude per Step/MPa | Incremental Deviator Stress |
|---|---|---|
| 5 | 0.5, 2, 3 | 10% of the initial peak compressive stress |
| 10 | 1, 3, 4 | |
| 15 | 1, 3, 5 | |
| 20 | 2, 4, 5 |
| Initial Confining Pressure (MPa) | Long-Term Intensity (MPa) | Failure Strength (MPa) | Ratio |
|---|---|---|---|
| 0 | 66.23 | 77 | 0.86 |
| 5 | 87.21 | 119.43 | 0.73 |
| 75.94 | 99 | 0.77 | |
| 63.24 | 75 | 0.84 | |
| 10 | 113.84 | 149.16 | 0.76 |
| 96.06 | 112 | 0.86 | |
| 92.89 | 112 | 0.83 | |
| 15 | 122.39 | 165.62 | 0.74 |
| 116.23 | 147 | 0.79 | |
| 108.13 | 136 | 0.80 | |
| 20 | 141.20 | 184 | 0.77 |
| 135.07 | 168.09 | 0.80 | |
| 116.86 | 149 | 0.78 |
Disclaimer/Publisher’s Note: The statements, opinions and data contained in all publications are solely those of the individual author(s) and contributor(s) and not of MDPI and/or the editor(s). MDPI and/or the editor(s) disclaim responsibility for any injury to people or property resulting from any ideas, methods, instructions or products referred to in the content. |
© 2026 by the authors. Licensee MDPI, Basel, Switzerland. This article is an open access article distributed under the terms and conditions of the Creative Commons Attribution (CC BY) license.
Share and Cite
Guo, Y.; Yu, Z.; Wang, S.; Li, J.; Deng, H. Creep Mechanical Properties of Marble Under Graded Unloading Conditions. Appl. Sci. 2026, 16, 3315. https://doi.org/10.3390/app16073315
Guo Y, Yu Z, Wang S, Li J, Deng H. Creep Mechanical Properties of Marble Under Graded Unloading Conditions. Applied Sciences. 2026; 16(7):3315. https://doi.org/10.3390/app16073315
Chicago/Turabian StyleGuo, Yongcheng, Zhuo Yu, Shunan Wang, Jianlin Li, and Huafeng Deng. 2026. "Creep Mechanical Properties of Marble Under Graded Unloading Conditions" Applied Sciences 16, no. 7: 3315. https://doi.org/10.3390/app16073315
APA StyleGuo, Y., Yu, Z., Wang, S., Li, J., & Deng, H. (2026). Creep Mechanical Properties of Marble Under Graded Unloading Conditions. Applied Sciences, 16(7), 3315. https://doi.org/10.3390/app16073315

