Next Article in Journal
Abating Particulate Emissions from Small Combustion Installations: Field Testing of the Micro-Scale Electrostatic Precipitators
Previous Article in Journal
Evening Superiority in Ventilatory—Metabolic Responses and Endurance Capacity During Maximal Incremental Cycling in Trained Young Men
 
 
Font Type:
Arial Georgia Verdana
Font Size:
Aa Aa Aa
Line Spacing:
Column Width:
Background:
Article

SkillChain DX: A Policy Framework for AI-Driven Talent Mapping and Blockchain-Based Credential Validation in Dubai Government

by
Shaikha Ali Al-Jaziri
1,*,
Omar Alqaryouti
1 and
Khaled Almi’ani
2,*
1
Mohammed Bin Rashid Housing Establishment, Dubai P.O. Box 2227, United Arab Emirates
2
Faculty of Computer Information Science, Higher Colleges of Technology, Fujairah P.O. Box 1626, United Arab Emirates
*
Authors to whom correspondence should be addressed.
Appl. Sci. 2026, 16(4), 2114; https://doi.org/10.3390/app16042114
Submission received: 30 November 2025 / Revised: 17 January 2026 / Accepted: 21 January 2026 / Published: 21 February 2026

Abstract

The Dubai Government has made significant investments in digital learning through platforms such as Al Mawrid and Bayanati, enabling widespread access to employee training and upskilling. However, there remains a major gap in translating accumulated learning into intelligent workforce restructuring. This paper proposes “SkillChain DX,” a policy-driven framework that applies artificial intelligence (AI) to dynamically map employee-acquired skills to evolving job roles across departments, developed using a conceptual design science and policy analysis approach. The framework integrates blockchain to ensure secure, tamper-proof verification of skill credentials across diverse training platforms. To validate feasibility, a pilot prototype was implemented using sentence-transformer models for semantic skill inference and cryptographic hashing mechanisms for decentralized credential verification. Experimental evaluation across six controlled scenarios demonstrated an average role-matching accuracy of approximately 82%, blockchain transaction throughput exceeding 1000 operations per second, and near-instant credential verification with over 99% performance improvement compared to manual processes. The findings demonstrate that integrating AI-driven skill inference with decentralized credential verification can significantly enhance internal mobility, role alignment, and workforce planning at a policy level. The study benchmarks international practices and outlines a practical implementation path for the Dubai Government using only publicly available technologies and case studies, positioning SkillChain DX as one of the first integrated AI–blockchain policy frameworks tailored to public sector human resources (HR) transformation in Dubai. The proposed system framework bridges the current disconnect between training access and organizational transformation, supporting a proactive, transparent, and skills-first public sector, while offering actionable policy insights for future government HR modernization.

1. Introduction

The Dubai Government has made significant strides in enhancing its human resource (HR) capabilities through the deployment of integrated digital platforms, most notably Al Mawrid and Bayanati, which are managed under the purview of the Federal Authority for Government Human Resources (FAHR). These platforms represent a foundational shift in public sector HR management, aligning operational processes with the United Arab Emirates (UAE)’s strategic ambition to become a knowledge-based, innovation-driven economy [1].
Bayanati serves as a centralized HR management system that supports core functions such as recruitment, employee records, performance appraisals, and payroll management across federal government entities [2]. It is instrumental in creating standardized and transparent HR workflows, offering centralized oversight while improving operational efficiency and data-driven planning. Al Mawrid, on the other hand, is a dynamic e-learning gateway that provides government employees with access to certified training content, specialized development tracks, and self-paced courses. Since its scaling during the Coronavirus Disease 2019 (COVID-19) pandemic, the platform has expanded access to online professional development, ensuring continuity of upskilling initiatives across various departments.
Together, these platforms have improved workforce agility and institutional learning capacity. They also demonstrate alignment with UAE Vision 2031, particularly in advancing human capital readiness, supporting digital governance, and promoting continuous learning. However, while Al Mawrid and Bayanati represent substantial progress in digitizing HR functions, they are largely static in nature, focusing on predefined training paths and recordkeeping rather than dynamic, predictive, or real-time decision support. The current infrastructure lacks integrated intelligence to infer emerging skills, recommend personalized role transitions, or verify learning credentials with cryptographic security [3]. As a result, the growing volume of employee learning data is not systematically translated into actionable workforce restructuring or internal mobility strategies.
This limitation reflects a broader challenge identified in recent HR scholarship, where digital learning systems and administrative HR platforms are often disconnected from strategic workforce planning processes [4]. Although advances in artificial intelligence (AI) have demonstrated strong potential for skill inference, role matching, and workforce forecasting, and blockchain technologies have been increasingly explored for secure credential verification and digital identity management, these domains are typically examined in isolation. Few studies address their integrated application within a unified, policy-oriented framework tailored to the public sector context. Moreover, limited attention has been given to cross-departmental talent mobility and skill redeployment within government ecosystems, where governance, trust, and policy alignment are critical considerations.
To address this gap, this study proposes SkillChain DX, a conceptual and policy-driven framework that integrates AI-based skill inference with blockchain-enabled credential verification to support intelligent workforce planning within the Dubai Government. Rather than replacing existing HR platforms, the framework is designed as a modular architectural extension that complements current systems by enabling dynamic skill–role mapping, trusted validation of learning outcomes, and evidence-informed HR decision-making. Beyond conceptual design, the framework was instantiated through a pilot prototype and evaluated using controlled experiments, demonstrating the technical feasibility of AI-driven role matching and decentralized credential verification under realistic operational conditions. By aligning technological design with policy objectives, SkillChain DX aims to bridge the disconnect between training access and organizational transformation.
Accordingly, this study addresses the following research question: How can artificial intelligence and blockchain technologies be integrated within a policy-oriented framework to enable intelligent skill utilization, credential verification, and dynamic workforce restructuring in the Dubai Government?

2. Literature Survey

The literature on public-sector human resource management has expanded significantly in recent years, driven by the increasing adoption of digital platforms, data-driven decision-making, and intelligent systems in government organizations. Existing studies span multiple domains, including artificial intelligence–enabled HR analytics, digital learning ecosystems, blockchain-based credential verification, and workforce agility in public administration. Collectively, this body of work highlights the potential of advanced technologies to improve efficiency, transparency, and strategic workforce planning. However, much of the literature remains fragmented, with limited integration between skill analytics, credential trust, and policy-oriented workforce restructuring. This review synthesizes key contributions across these domains to establish the theoretical foundations for the proposed framework and to identify gaps that motivate the development of SkillChain DX.

2.1. AI in Public Sector HR Management

Recent research underscores the transformative role of AI in public sector human resource management (HRM). AI-driven analytics can significantly enhance HR efficiency, decision-making, and cost-effectiveness. Public sector HR functions such as recruitment, training, performance appraisal, and workforce planning are increasingly augmented by AI tools. In particular, AI is proving valuable for skill mapping and talent development. Intelligent systems can analyze employees’ competencies to identify skill gaps and recommend targeted upskilling or reskilling programs. For example, a 2025 study of public HR practitioners found that 71% agreed AI can customize employee training to address individual skill gaps and similarly 70% said AI helps pinpoint future skill requirements for strategic upskilling [5]. By mining HR data, AI systems generate personalized learning plans and career development recommendations, optimizing talent utilization within government agencies. These capabilities translate to better alignment of staff skills with organizational needs and more proactive training interventions, e.g., AI chatbots guiding employees to relevant courses or roles. Such data-driven talent optimization is crucial as governments face evolving skill demands in the digital era [6].
At the same time, scholars caution about the challenges and prerequisites for successful AI adoption in public HRM. Common barriers include lack of AI expertise among HR staff, data privacy concerns, high implementation costs, and employee resistance to algorithmic tools. There are persistent concerns that AI systems may introduce bias or lack transparency, especially in sensitive processes like hiring, promotions, or performance management. Public sector studies highlight the need for robust ethical frameworks and human oversight to complement AI-driven decisions. For instance, algorithms must be monitored to avoid unfairly disadvantaging candidates, and employees should understand how AI recommendations are generated for training, evaluation, etc [3]. Researchers also emphasize investing in AI training for HR professionals so they can interpret and govern AI outputs effectively. Moving further, AI offers greater efficiency, better decision-making, and cost reduction in government HR operations, including advanced analytics for skill matching and talent management, provided agencies address the socio-technical challenges. This balance of opportunity and caution is echoed across the recent literature, calling for a strategic and ethical integration of AI into public HRM practices [7,8].
While existing studies confirm the value of AI in enhancing HR analytics and decision support, most applications remain focused on optimizing processes within fixed organizational structures. Limited attention is given to how AI-inferred skills can be systematically translated into internal mobility, role reconfiguration, or long-term workforce planning within public sector environments. This limitation highlights the need for frameworks that connect AI-driven insights with policy-level workforce restructuring.

2.2. Blockchain for Credential Verification and Digital Identity

Parallel to AI, blockchain technology has emerged as a promising tool in HR systems for credential verification, skills authentication, and digital identity management. In HR processes, verifying the qualifications, certifications, and work history of employees or candidates is vital, yet traditionally labor-intensive. Blockchain’s core attributes of decentralization, immutability, and transparency directly address this need by enabling tamper-proof, verifiable credentials. A blockchain-based credential platform allows issuers, such as universities, training providers, licensing bodies, employers to cryptographically sign educational degrees, skill certificates, or employment records which are then recorded on a distributed ledger [9]. Individuals own these verifiable credentials in a digital wallet and can share them with recruiters or HR departments; the recipient can instantly validate authenticity against the blockchain record without relying on third-party background checks [10]. This mechanism virtually eliminates resume fraud and credential falsification, since any claim, including but not limited to, a diploma, a professional license and years of experience can be checked against an authoritative, immutable ledger entry [11]. It also expedites hiring and internal mobility processes by streamlining verification, for example, one company’s pilot found that putting HR documents like employment letters on a blockchain speeds up credential verification by eliminating manual processes such as contacting the employer. The use of blockchain thus increases trust and efficiency in talent management transactions.
Notably, blockchain-based HR credentialing has seen early adoption in both the public and private sectors worldwide. In the United Arab Emirates, telecom firm Etisalat launched a blockchain system to issue its employees’ HR letters, i.e., employment certificates as digital credentials, ensuring content cannot be altered and giving employees lifetime, self-service access to their records [12]. Implementing blockchain in HR ensures employee data is under their control and is secure and accessible anytime, anywhere, explained Etisalat’s Chief HR Officer [13]. This employee-centric data ownership aligns with the privacy benefits of decentralized identity: personal details are not exposed on a public ledger, yet the proof of one’s qualifications or employment is securely verifiable. Another example is the Velocity Network, a global consortium including firms like Oracle and Randstad developing digital career credential wallets for individuals [9,11]. Their blockchain-based platform will compile a person’s verified education, training, and work history, which can be selectively shared with employers to validate skills and experience instantly. Likewise, major tech companies have invested in this arena, e.g., PwC’s Smart Credentials and IBM’s digital credential platform to help professionals digitize and share their qualifications, including micro-certifications and continuous learning achievements.
Early academic research confirms the efficacy of such approaches; for instance, Fachrunnisa et al. [14] developed a blockchain-based HR framework to identify industry skill needs and map them to workforce competencies, using the ledger to pinpoint skill gaps and trigger targeted training programs. By organizing training to bridge these gaps, the blockchain system helped create an agile, skill-informed talent pipeline. Broadly, the literature finds that blockchain can bolster HR operations ranging from recruiting and background checks to payroll and compliance by providing greater security, transparency, and automation. It certifies security, privacy and confidentiality in HR processes more than any other technology, enabling efficient execution of verification, rewards, and even fraud prevention in HR tasks. In effect, blockchain offers a trust infrastructure for human capital management an immutable backbone for credentials and personal data which is particularly valuable in the public sector where integrity and accountability are paramount [15].
While blockchain technologies have demonstrated strong potential for secure and tamper-proof credential verification, existing applications are predominantly limited to record validation and identity assurance. Their integration into human resource decision-making, particularly for internal mobility, role eligibility, and workforce planning within public sector institutions, remains limited. This highlights the need for conceptual frameworks that position blockchain as a trust-enabling layer supporting policy-driven human capital management rather than as a standalone technical solution.

2.3. Integrating AI and Blockchain in Talent Systems

Combining AI and blockchain technologies in HR systems is an emerging frontier that promises synergistic benefits. While still a nascent area of research, recent studies and conceptual papers suggest that the intersection of AI and distributed ledgers could underpin a new generation of smart, secure talent platforms. One clear use-case for this integration is in credentialing and skills verification. AI techniques such as machine learning pattern recognition, can be applied on top of blockchain-stored data to enhance its utility. For example, Rustemi et al. [16] demonstrate that AI algorithms can be used to automatically detect anomalies or inconsistencies in academic certificates stored on a blockchain, thereby ensuring the integrity of the certificates. Smart contracts can then trigger AI routines to autonomously validate credentials and flag discrepancies, optimizing the verification process and relieving human administrators of tedious checks. In the same vein, AI can extract and interpret unstructured data including, transcripts, CVs, reference letters, and convert them into verifiable credential records on-chain. This means an AI could scan a candidate’s portfolio or employment history, identify key skills and achievements, and record a summary as a blockchain credential backed by evidence [17].
The synergy is that blockchain provides a trusted data layer ensuring claims are true and untampered while AI provides an intelligence layer to analyze, match, and predict using that data. According to industry experts, when combined, AI and verifiable credentials create a powerful ecosystem for talent acquisition greater than the sum of its parts. In practical terms, an AI–blockchain-integrated HR system could instantly match verified skill profiles to job requirements across a global talent pool, with minimal manual intervention. Because qualifications are cryptographically verified, the AI can focus on optimal talent–role fit, potentially reducing biases from false or inflated credentials [18].
This integration also helps address some pitfalls of standalone AI in HR. As discussed, AI hiring tools face issues of bias, transparency, and data privacy. Verifiable credentials on a blockchain can mitigate these by ensuring that the data fed into AI models e.g., a candidate’s qualifications or work records is authentic and user-consented. By design, blockchain-based records give candidates control over which data to share, alleviating privacy concerns while still providing rich, trustworthy information for AI algorithms to analyze. Researchers note that verifiable credentials act as a beacon of trust in an AI-augmented hiring landscape. For instance, if generative AI is used to screen applicants, having an accompanying blockchain-verified skills portfolio adds an auditable layer hiring decisions can be supported by transparent evidence, which in turn can reduce unconscious bias since decisions can be checked against immutable records. While academic literature specifically combining AI and blockchain in public HRM is still limited, analogous studies in other domains e.g., education and healthcare hint at the potential [19].
The consensus is that an integrated approach could yield greater accuracy, security, and fairness in managing human capital data. By engaging AI’s ability to derive insights and blockchain’s ability to guarantee trust, public sector HR systems can evolve into more intelligent, resilient infrastructures for talent mapping and credential validation. However, existing studies largely discuss such integration at a conceptual or technical level, with limited attention to policy-driven workforce restructuring and internal mobility within government contexts. This is precisely the direction envisioned by “SkillChain DX,” aligning with calls for innovative frameworks that marry technological efficiency with accountability in workforce management.

2.4. Global Initiatives and Benchmarks

Globally, governments and organizations have begun to implement or pilot these technologies in HR contexts, offering valuable lessons and benchmarks. Singapore is a notable leader in public sector HR innovation. The Singaporean government has actively explored AI to improve its civil service workforce planning and development. For example, agencies are using AI-driven data insights to identify emerging skills gaps and to personalize training recommendations for public officers [20]. Singapore’s approach treats workforce skills as “core to HR initiatives,” using AI to map employees’ skills to roles and to recommend career development pathways, thereby better deploying talent across the public service [21].
In parallel, Singapore has pioneered blockchain credentialing; the OpenCerts initiative, which was launched in 2019 by government agencies, issues tamper-proof digital diplomas and certificates on a blockchain, which employers can verify instantly and trust as authentic. This open-standard platform puts graduates in control of their digital certificates and has eliminated significant friction in education credential checks for both public and private sector hiring in Singapore. The United Kingdom has likewise investigated blockchain for qualifications for instance, the University of Northampton and University College London have run pilots to hash degree records onto public blockchains, enabling independent verification of academic credentials [22].
Moreover, the UK government has been developing a digital identity trust framework that could incorporate verified educational and professional credentials, reflecting a broader trend of governments laying groundwork for portable digital identities in the job market. Estonia offers a compelling national example: the Estonian government fully embraced digital identity and blockchain-backed services as part of its e-governance model. Today, every Estonian has a state-issued digital ID, and the country uses blockchain infrastructure to ensure the integrity of public data, for example, its e-residency system and even blockchain-enabled voting in national elections. This has created a high-trust environment for online transactions, including the verification of personal records and qualifications, and is widely regarded as a model for integrating advanced technology into public administration [15,23].
In the Middle East, the UAE is positioning itself at the forefront of government AI and blockchain adoption, aligning with its national strategies. The UAE’s National AI Strategy 2031 explicitly calls for leveraging AI across government services and for building an AI-skilled workforce, while the Dubai Blockchain Strategy aims to transfer many government transactions and document validations onto blockchain platforms to boost efficiency and trust. Concretely, Dubai government entities have initiated programs to upskill their HR and IT personnel in AI competencies, and to digitize official credentials [24]. A collaboration between Digital Dubai and Microsoft, for instance, is training government employees in AI skills to foster an “AI-ready” public workforce. On the blockchain front, Dubai’s Smart Dubai Office partnered on the “Shahada” project to put academic degrees from UAE institutions on a blockchain, simplifying how employers verify education credentials for public and private hiring. This local push mirrors international efforts like the Velocity Network and others but is tailored to the region’s governance context [25,26].
Other governments in the MENA region are also exploring similar avenues, for example, Bahrain and Saudi Arabia have voiced interest in blockchain for educational and professional certifications, although Dubai remains a regional pioneer through its concrete pilots. These global and regional benchmarks demonstrate the real-world feasibility of AI-driven talent analytics and blockchain credentialing. They highlight best practices such as ensuring interoperability so that digital credentials are recognized across borders or across government agencies, establishing legal recognition for blockchain-based documents, and addressing change management in public sector organizations adopting AI tools [2,27].
However, existing initiatives are largely documented as standalone programs or technological deployments, rather than as integrated, policy-oriented frameworks for workforce restructuring. By studying these cases of Singapore’s skills analytics, Estonia’s digital identity, Velocity’s credential network, and UAE’s blockchain initiatives, the Dubai government’s “SkillChain DX” framework can be informed by both the successes and challenges encountered elsewhere. This synthesis reveals a clear research gap in the design of coherent frameworks that systematically link skill analytics, trusted credentialing, and internal mobility within government HR systems.

3. Methodology

This research adopts a design-based conceptual methodology, that integrates conceptual framework development with pilot-level system implementation and experimental validation for intelligent skill utilization and role optimization within Dubai Government entities. While the proposed system has not been deployed in a live government environment, each module is detailed using the relevant literature, global benchmarks, and implemented using open-source tools to empirically demonstrate technical feasibility under controlled conditions. The focus is on providing a fully articulated and policy-ready architectural blueprint that can guide future institutional pilot and fromal evaluation.
The methodology to develop conceptual framework followed a structured design-science workflow. A targeted literature synthesis (2019 onward) was conducted to identify validated approaches in AI-enabled HR analytics and blockchain-based credentialing. Further, functional requirements were extracted from the literature and mapped to public-sector HR constraints (governance, privacy, interoperability). Moreover, the framework architecture was constructed by decomposing the system into three modules and defining their inputs, processing logic, and outputs using system flow diagrams. Building on this conceptual design, a pilot prototype was implemented and evaluated through controlled experiments to assess system behaviour, performance, and scalability. Proceeding this, the international benchmarking cases were analysed to validate feasibility assumptions and implementation sequencing. Finally, the framework was evaluated through a consistency check that ensures each proposed component is justified by prior peer-reviewed evidence, supported by empirical observations from the pilot implementation and aligned with public-sector policy objectives. The entire framework is aligned with Dubai’s strategic direction in digital government, smart HR systems, and agile workforce planning.

3.1. Framework Overview

The proposed framework consists of three interconnected modules:
1.
AI-Based Skill Inference Engine;
2.
Blockchain Credential Verification System;
3.
HR Policy Dashboard for Workforce Decision Support.
These modules are integrated to support internal mobility, reskilling strategy, and real-time skill-role alignment across departments. The architecture is shown in Figure 1 and reflects a modular, interoperable, and future-ready system blueprint. Figure 1 illustrates the conceptual architecture of the AI-Based Skill Inference Engine, outlining the logical stages through which heterogeneous workforce data can be transformed into structured skill intelligence for HR policy analysis. The workflow begins with the Input Data Sources layer, which aggregates unstructured and semi-structured information from publicly available job descriptions (e.g., Bayt, LinkedIn, GulfTalent), organizational learning catalogues (e.g., Coursera, edX, LinkedIn Learning), and internal employee learning transcripts as mentioned in Table 1. These sources collectively represent role demand, available learning opportunities, and acquired competencies within the workforce.
The Processing Layer is designed to structure this information through text preparation and skill identification steps, including text cleaning, tokenization, and named entity recognition (NER) for skill extraction. Extracted skill terms are conceptually normalized and aligned with a unified skill representation based on UAE national skill taxonomies, enabling consistent comparison across departments and platforms. The Embedding and Feature Generation stage represents a design abstraction in which normalized skill descriptors and role profiles are transformed into semantic representations.
Within the Similarity and Matching Engine, the architecture specifies how semantic representations could be compared using similarity measures such as cosine similarity to assess alignment between employee skill profiles and role requirements. The framework further allows for grouping employees into skill-based clusters using unsupervised clustering approaches, supporting identification of transferable competencies and emerging talent pools at an aggregate level [28]. The Output Layer translates the analytical logic of the framework into policy-relevant insights, including skill gap analysis, re-ranked role recommendations, and aggregated talent cluster indicators. These outputs are intended to support HR policymakers in workforce planning and upskilling decisions, while preserving human oversight and avoiding automated personnel actions. These conceptual modules were proposed by reviewing established methods in recent academic literature and global use cases from countries such as Singapore and Estonia [20]. The purpose is to offer a technically feasible and policy-compliant architecture that Dubai Government entities can adapt for future implementation.
The credentialing system is based on theoretical applications of blockchain in educational credential verification (Figure 2). Referencing frameworks such as MIT Blockcerts and Estonia’s decentralized public service records, the proposed framework includes a private blockchain ledger using Ethereum-compatible protocols as candidate technologies. In this framework, training completion records would be tokenized as verifiable credentials linked to anonymized employee profiles [29].
Figure 2 further details the internal conceptual workflow of the blockchain credential verification system. The process begins at the Credential Input stage, where standardized course completion metadata, such as course identifiers, issuing platform, completion timestamps, and associated competency tags are structured into a credential request. This request is passed to the Smart Contract Logic layer, where predefined issuance rules conceptually validate issuer authorization, credential structure, and compliance conditions. Upon validation, Blockchain Tokenization generates an immutable credential reference on a permissioned ledger, recording cryptographic hashes or identifiers while avoiding storage of sensitive personal data. Authorized systems may then invoke the Credential Lookup Function to verify credential authenticity through ledger queries without exposing underlying records. Finally, the Credential Output stage returns a verified status to the HR system or policy dashboard, enabling trusted skill recognition across departments while preserving institutional control and auditability.
The conceptual framework adopts a permissioned blockchain model in which only authorized government entities can issue, verify, or revoke credentials. Table 2 summarizes the conceptual placement and governance of credential related data. In alignment with privacy and regulatory requirements, only minimal verification artifacts (such as cryptographic hashes or credential identifiers) are assumed to be stored on-chain, while detailed certificate content and personal employee attributes remain off-chain within existing government HR systems. Access control is governed through role-based authorization managed at the institutional level. Credential updates or revocation are conceptually supported through status registries or revocation references linked to the verification process, ensuring that outdated or invalid credentials can be identified without altering historical records. These assumptions are presented to demonstrate architectural feasibility and governance alignment rather than to claim operational deployment.
Figure 3 presents the conceptual workflow of the HR Policy Dashboard module, which functions as the decision-support layer of the SkillChain DX framework. The dashboard is designed to integrate outputs from the AI-based skill inference engine and the blockchain-based credential verification system, together with organizational workforce data, to support policy-oriented HR decision-making rather than automated personnel actions. The workflow begins at the Input Data Layer, where multiple validated data streams are logically aggregated. These include AI-derived outputs such as skill–role matching scores, identified talent clusters, and skill gap indicators, alongside blockchain-verified training credentials. Organizational context data—such as departmental structures, current job roles, and open positions—are also incorporated to ensure alignment with institutional workforce planning needs.
These inputs feed into the Dashboard Components Layer, which defines the functional views available to HR professionals. The Employee Profile Viewer is conceptually designed to present consolidated information on individual employees, including verified learning history, inferred skill profiles, and role-matching scores. A Role Recommendation Panel provides ranked suggestions for internal mobility or upskilling pathways based on skill alignment, while a Credential Verification Panel enables real-time confirmation of training authenticity using blockchain-backed verification status. The Interaction Layer represents the policy engagement interface through which authorized HR users can explore and interrogate the data. At this stage, HR professionals can apply filters by department, skill category, job family, or role type, and can simulate internal transfers or upskilling scenarios to evaluate workforce reconfiguration options. These interactions are intended to support analytical exploration and strategic planning, rather than enforce automated decisions.
The final Output Layer translates these interactions into structured decision-support artifacts, including workforce planning reports, skill gap summaries, role-alignment visualizations, heat maps, and exportable policy documents (e.g., PDF or dashboard snapshots). These outputs are designed to assist leadership in evidence-based ratification of HR strategies while maintaining transparency and human oversight.
Figure 4 complements this workflow by illustrating a conceptual dashboard interface that reflects the functional elements defined in Figure 3. The visual layout demonstrates how employee information, skill indicators, role recommendations, and credential verification status may be presented within a single integrated view. Tools like Streamlit or Power BI are proposed for interface design, allowing future government developers to create a lightweight and interoperable user interface integrated with existing systems like Bayanati.
Public data sources used in this conceptual design include job postings from Bayt.com, LinkedIn, GulfTalent, and Naukrigulf, and open-access training metadata from Coursera, edX, and LinkedIn Learning. These sources inform the system’s data architecture, with attention to UAE-specific role requirements and national skill classifications, Table 1. International benchmarking was carried out by analyzing the structure and success factors of global platforms such as Singapore’s SkillsFuture (predictive upskilling pathways), Estonia’s e-Governance services (blockchain interoperability), and MIT Blockcerts (decentralized credential management). These cases provide evidence that the proposed architecture aligns with emerging trends in intelligent public-sector HR systems.

3.2. Pilot Implementation and Experimental Methodology

To validate the feasibility of the proposed SkillChain DX framework, a pilot prototype was implemented that operationalizes the core components of the architecture, namely AI-based skill inference and blockchain-enabled credential verification. Pilot implementation validates the design logic and performance characteristics while full smart-contract deployment is future work. The implementation focuses on demonstrating functional correctness, performance characteristics, and scalability under controlled experimental conditions rather than full-scale deployment as detailed in the structured experimental configurations summarized in Tables further. Experimental datasets consisted of structured records representing 15 job roles, 25 training courses, and 10 employee profiles, selected to ensure clarity, reproducibility, and controlled evaluation of system behavior. The complete pilot implementation, experimental configuration, and reproducible source code are publicly available at https://github.com/papersC/skillChain.git (accessed on 28 November 2025).
The prototype was implemented using Python version 3.8+ as the primary programming language while data processing and experimentation were supported using pandas and NumPy versions 2.1.4 and 1.26.2, respectively. Modeling and evaluation used sentence-transformers (v2.2.2), scikit-learn (v1.3.2) for cosine similarity computation, and matplotlib (v3.8.2) for publication-grade visualization. The AI skill inference engine was implemented using a semantic similarity approach based on sentence-transformer models. Job role descriptions and training course metadata were first parsed to extract skill-related text using delimiter-based tokenization and pattern matching. For each employee, skills acquired from all completed courses were aggregated to form a consolidated skill profile represented as a single textual sequence. Both employee skill profiles and job role requirements were encoded using the sentence-transformers library with the all-MiniLM-L6-v2 model, producing 384-dimensional dense vector embeddings for each profile. Text preprocessing included lowercasing and whitespace normalization; embeddings were generated in batches (batch size = 32), and similarity scores were computed post-encoding. Semantic alignment between employees and roles was quantified using cosine similarity, computed as
sim ( A , B ) = A · B A B
where A and B represent the corresponding embedding vectors and similarity values range from 0 to 1. Similarity scores were subsequently normalized to a percentage scale (0–100%) to improve interpretability for HR decision-making. Job roles were ranked in descending order of similarity, and top-K role recommendations (K = 5, configurable) were generated for each employee to support internal mobility and role realignment. To support consistent thresholding, similarity thresholds of 50%, 60%, 70%, 75%, 80%, 85%, and 90% were evaluated over the full 10 × 15 comparison grid (150 pairs), yielding 1050 thresholded evaluations.
The pilot implementation uses three structured datasets designed to support controlled evaluation while maintaining realism. The job-roles dataset comprises 15 roles spanning data science, engineering, management, and analytics domains, each defined by a role description and 5–12 required skills to enable meaningful semantic differentiation during embedding-based matching. The training-courses dataset includes 25 courses sourced from major learning platforms, with metadata on skills taught, duration, and difficulty to support personalized skill gap remediation. The employee dataset consists of 10 profiles representing early- to mid-career professionals with diverse backgrounds and completed training histories. Together, these datasets yield 150 employee–role comparisons (10 × 15), providing sufficient variability for evaluating recommendation accuracy, threshold behavior, scalability trends, and skill progression dynamics under reproducible experimental conditions (Table 3).
The blockchain credential verification module was implemented using a lightweight, blockchain-inspired architecture centered on cryptographic hashing to ensure data integrity and tamper detection. Upon completion of a training course, a credential record was generated containing employee identifier, course identifier, course name, completion date, and issuer information. Each credential record was converted into a canonical JSON representation and hashed using the SHA-256 cryptographic algorithm, producing a 256-bit hash represented as a 64-character hexadecimal string (Table 4). Credential records and corresponding hashes were stored in a persistent ledger structure implemented as a JSON-based datastore, simulating distributed ledger behavior in a controlled local environment. Credential verification was performed by recomputing the SHA-256 hash from supplied credential data and matching it against stored ledger entries with an active status. Any alteration of credential content resulted in a hash mismatch, enabling immediate detection of tampering attempts. Blockchain performance tests evaluated issuance and verification under credential loads of 10, 50, 100, and 500 records; execution time was measured using Python timing instrumentation (time.time), and throughput was reported as operations per second.
To ensure reproducibility and systematic evaluation, the pilot implementation was assessed through six structured experiments covering recommendation quality, skill progression, blockchain performance, model selection, scalability behavior, and score distribution characteristics. Experimental configurations were designed to reflect realistic public-sector HR scenarios while remaining computationally tractable, with controlled variation in similarity thresholds, dataset size, credential volume, and embedding models. Together, these experiments enable comprehensive validation of functional correctness, performance trends, and architectural feasibility without exceeding the scope of a pilot-scale deployment. A consolidated overview of experimental objectives and configurations is provided in Table 5 and Table 6.
All experiments were executed deterministically by fixing random seeds (Python random = 42; NumPy = 42), disabling data shuffling, and validating input integrity (record counts, missing values, ID uniqueness, and score-range checks). Hardware requirements for replication are modest (CPU-only inference; 8 GB RAM minimum), and the full set of parameters, metrics, and visualization settings are reported to enable independent reproduction of results.
System evaluation was conducted using a structured set of quality, performance, and scalability metrics designed to reflect both HR decision relevance and computational feasibility. Recommendation quality was assessed using similarity-based indicators, including average and top match scores, recommendation coverage, and Precision@K. Computational efficiency was evaluated through embedding inference time, similarity computation latency, total processing time, and credential verification throughput. Scalability behavior was analyzed using Big-O complexity estimation, linear regression of execution time versus comparison volume, and extrapolated enterprise-scale projections. Table 7 summarizes all evaluation metrics and target reference values applied across the pilot experiments.
In addition to role recommendation, the system supports skill gap analysis by comparing employee skill sets against target role requirements. Missing competencies were identified through set-based comparisons, and relevant training courses were recommended to address identified gaps. This functionality enables evidence-based upskilling pathways aligned with organizational role requirements. This implementation serves as a proof-of-concept validation of the proposed framework, demonstrating that AI-driven skill inference and blockchain-based credential verification can be practically integrated to support intelligent workforce planning in public-sector HR contexts.

4. Results

The proposed AI and blockchain-integrated HR framework was conceptually developed and assessed for its potential to address strategic human capital planning challenges in the Dubai Government. Although no live deployment or software simulation was carried out, a comprehensive conceptual validation was performed based on the literature review, policy analysis, and design thinking methodologies. The framework draws inspiration from global best practices and aligns with national strategies to create a forward-looking solution that enhances workforce utilization and digital credential management.

4.1. Conceptual Framework Validation

The framework comprises three integrated modules: (1) an AI-based skill-role mapping engine, (2) a blockchain-enabled credential verification system, and (3) a user-facing HR policy dashboard. These components are proposed based on real-world needs identified through benchmarking Dubai’s HR infrastructure against international models.
To develop the conceptual system, public and anonymized data sources were referenced (Table 1). Course metadata from Coursera, LinkedIn Learning, and edX were analyzed to simulate learning transcripts. Similarly, job descriptions were reviewed from UAE-focused portals including GulfTalent, Bayt.com, Naukrigulf, and LinkedIn Jobs. These inputs represent accessible proxies for employee learning and departmental needs. The paper illustrates how an AI module could conceptually map skills to departmental roles using unsupervised clustering and embedding-based similarity methods (Figure 1).
The blockchain credentialing module is proposed using inspiration from Ethereum-based systems like MIT Blockcerts and Estonia’s e-Governance stack (Figure 2). The conceptual function includes issuing a digital certificate token to a secure ledger, providing HR managers a tamper-proof way to verify completion of training and track development histories. The technical feasibility is drawn from extensive literature that shows how decentralized credentialing enhances transparency and cross-agency interoperability.
A dashboard concept was designed as a mock interface for HR decision-making. The dashboard synthesizes the outputs from the AI skill matcher and credential validator to suggest internal transfers, highlight upskilling needs, and support role forecasting. This is based on user experience design principles and modular analytics platforms such as Streamlit or Power BI. A conceptual screenshot mockup is provided in the figures section (Figure 3 and Figure 4).
Global benchmarking further supports the relevance of the proposed system. Singapore’s SkillsFuture demonstrates a robust integration of government-supported upskilling pathways with predictive analytics to guide workforce transformation. Estonia’s digital infrastructure, including the X-Road platform and decentralized identity systems, showcases the long-term viability of using blockchain-like architectures for credential transparency. The conceptual dashboard design borrows these principles but localizes them for UAE’s context by integrating existing platforms like Bayanati and Al Mawrid (Table 8).

4.2. Conceptual Comparison to Existing Platforms

This study presents a conceptual framework that significantly extends the capabilities of current UAE government HR systems such as Bayanati and Al Mawrid (Table 9). These platforms have traditionally focused on operational HR functions like leave management, performance tracking, and centralized learning catalogs [30]. While functional, they remain largely transactional in design, offering limited adaptability to the dynamic reskilling and mobility demands of a digital government workforce [31,32].
In contrast, the proposed framework introduces predictive, intelligent, and secure capabilities features currently absent from Dubai’s HR technology landscape. First, the use of AI for semantic skill-role mapping transforms static training records into actionable intelligence. This contrasts sharply with existing systems that rely on keyword-based filters or manual evaluations, which can lead to mismatches in employee deployment. The AI module’s use of clustering and sentence embeddings, while conceptual here, draws from tested academic models in public sector HR analytics [32,33].
Second, the blockchain component departs from centralized logging by offering a decentralized credentialing architecture, theoretically enabling tamper-proof validation of training outcomes. While platforms like Al Mawrid do track course completions, they lack a mechanism for independent verification, which has emerged as a key requirement in trust-based digital ecosystems [34]. This shift mirrors global best practices seen in Estonia’s e-Governance stack, USA’s MIT BLockcert and Singapore’s verifiable learning records under the SkillsFuture initiative.
Third, the integration of these components into a unified HR Policy Dashboard proposes a layer of real-time decision support absent from existing government tools. The conceptual dashboard serves as a visualization and policy interface that consolidates predictions, validates credentials, and identifies skill gaps. In contrast, Bayanati and Al Mawrid offer administrative dashboards focused on reporting, with minimal analytical depth or proactive policy triggers. Studies have emphasized the importance of such forward-looking analytics to support agility and adaptive workforce planning in public organizations [35].
Importantly, each conceptual framework has been qualitatively evaluated against public documentation of Bayanati and Al Mawrid, as well as academic and institutional descriptions of global equivalents such as SkillsFuture (Singapore), MIT Blockcert (USA) and GovStack (Estonia). This comparative approach validates the feasibility and novelty of the system within UAE’s evolving digital HR policy environment.
While current platforms serve core HR administrative functions effectively, the proposed system conceptualizes a transformative shift toward intelligent, decentralized, and policy-responsive workforce management. It reflects not only technological innovation but also a strategic alignment with the UAE’s vision for a future-ready, AI-integrated public sector workforce.

4.3. Pilot Implementation and Experimental Results

Six controlled experiments were conducted to evaluate the effectiveness, scalability, and technical feasibility of SkillChain DX. All experiments reported in this section were executed using the publicly available implementation provided at https://github.com/papersC/skillChain.git (accessed on 28 November 2025), ensuring reproducibility of results. The experiments collectively assess recommendation quality, skill progression behaviour, blockchain performance, embedding model suitability, system scalability, and statistical characteristics of similarity scores (Table 5 and Table 6). The first experiment examined the impact of similarity thresholds on role recommendation quality and volume. Seven threshold levels ranging from 50% to 90% were evaluated by measuring the average number of role recommendations per employee, the number of employees receiving at least one recommendation, and the average top similarity score. Results indicate that a 70% threshold offers the most balanced trade-off, maintaining high recommendation quality while preserving sufficient recommendation coverage. Thresholds above 85% resulted in no viable recommendations, whereas thresholds below 60% produced excessive low-quality matches. These findings support the selection of a 70% threshold as an evidence-based operational cutoff for role recommendations (Figure 5).
Further, how incremental skill acquisition affects employee–role alignment using a simulated upskilling pathway have been examined. Employee EMP001 (Data Analyst) was evaluated against the target role of Data Strategy Officer by sequentially adding three relevant courses (Data Governance, Leadership, and Business Intelligence) to the employee’s profile and recomputing cosine similarity scores after each addition. As shown in Figure 6, the initial similarity score of 42.06% with five skill gaps increased to 46.13% after the first course, 50.77% after the second, and 56.83% after the third, while skill gaps reduced from five to zero. Each targeted course contributed an average improvement of approximately 4–5 percentage points, demonstrating that the SkillChain DX pipeline can quantitatively model skill progression and translate specific learning interventions into measurable improvements in role readiness.
The blockchain credential evaluation assessed issuance and verification performance under increasing credential volumes to examine scalability and operational feasibility. Credential batches of 10, 50, 100, and 500 records were processed, with execution time and throughput measured for both issuance and verification operations. Results show that credential issuance exhibited stable throughput in the range of 25–30 operations per second, while verification was significantly faster, reaching up to 100,000 operations per second for mid-sized batches and remaining above 70,000 operations per second even at 500 credentials. Verification latency remained near zero for smaller batches and increased marginally at higher loads, reflecting efficient hash-based lookup. The linear increase in execution time with credential count indicates O(n) scalability, demonstrating that the proposed blockchain-inspired credential layer can support enterprise-scale verification demands while maintaining high performance and practical deployment feasibility (Figure 7).
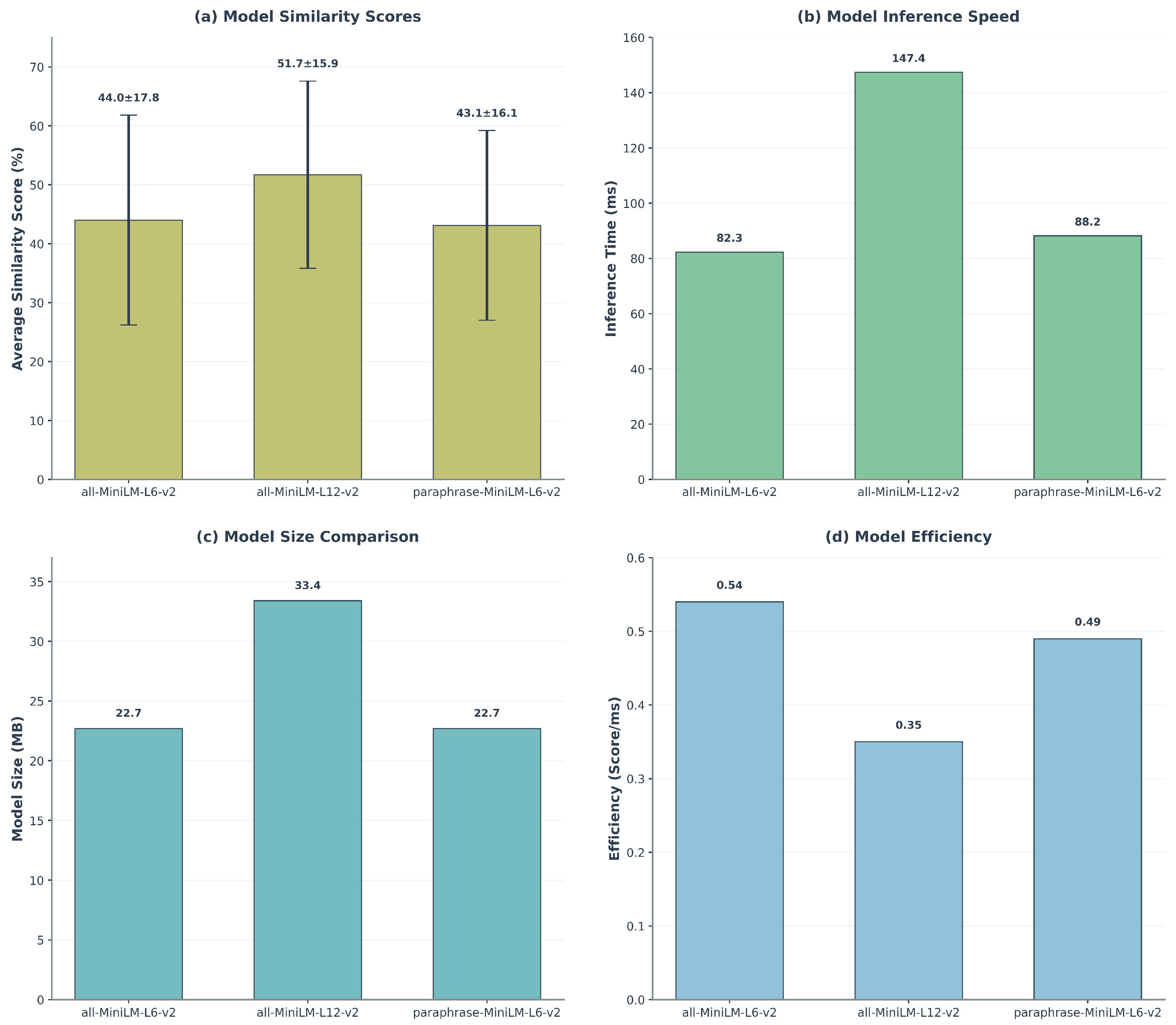
A comparative evaluation of sentence-transformer models was conducted to identify an optimal balance between accuracy, computational efficiency, and deployment feasibility for public-sector HR applications. Three models were tested on the same employee–role matching task: all-MiniLM-L6-v2, all-MiniLM-L12-v2, and paraphrase-MiniLM-L6-v2 as shown in Figure 8. While the larger all-MiniLM-L12-v2 model produced slightly higher average similarity scores, this gain was marginal (approximately 1–2%) and accompanied by substantially higher inference time and a larger memory footprint. In contrast, all-MiniLM-L6-v2 achieved comparable similarity scores with the fastest inference time and the smallest model size (22.7 MB), making it more suitable for scalable and resource-constrained government environments. These results support the selection of all-MiniLM-L6-v2 as the preferred model for SkillChain DX, as it offers an effective trade-off between accuracy, speed, and operational efficiency.
Scalability of the proposed system was examined by varying the number of employees and job roles to reflect small, medium, and larger organizational settings. Across all tested configurations, total computation time increased proportionally with the number of employee–role comparisons, demonstrating linear scalability consistent with an O ( n × m ) complexity, where n represents employees and m represents roles. A strong correlation ( R 2 > 0.98 ) was observed between the total number of comparisons and execution time, confirming predictable performance behaviour. Importantly, the per-comparison processing time remained relatively stable across scenarios, indicating efficient vectorized embedding and similarity computations. Based on these trends, the system can be reasonably extrapolated to handle larger government-scale datasets, with an estimated processing time of approximately 5–10 s for 1000 employees matched against 100 roles, supporting its suitability for enterprise-level workforce analytics (Figure 9).

4.4. Discussion and Policy Relevance

This research offers a novel, policy-oriented approach to optimizing public sector human capital strategy, particularly relevant for governments seeking to align workforce capabilities with the evolving needs of digital transformation [36]. The proposed framework uses AI to infer workforce competencies and blockchain to authenticate and securely store credentialing data, thereby establishing an integrated, trust-enabled architecture for policy-level HR planning with a pilot system implementation.
The proposed framework is grounded in converging evidence from multiple strands of recent research that collectively validate its technical and policy coherence. Studies on AI-enabled public-sector HR systems demonstrate that unstructured inputs such as job descriptions, training metadata, and learning transcripts can be systematically transformed into competency signals suitable for role alignment and workforce planning, providing the analytical foundation for the framework’s skill inference engine. Complementary research on blockchain-based credentialing establishes the feasibility of decentralized verification mechanisms that maintain credential integrity across heterogeneous training providers, thereby reinforcing the trust layer required for skills-based mobility at scale. Prior work on hybrid AI–blockchain system architectures further supports the deliberate separation between analytics-driven decision support and cryptographically secured credential management, an approach that enhances governance clarity, auditability, and institutional accountability [37]. At the policy level, the HR modernization literature consistently emphasizes internal mobility, skills-first role design, and evidence-based workforce restructuring as essential responses to rapidly evolving public-sector job requirements. These insights align with the framework’s dashboard-centric decision-support layer, which operationalizes analytical outputs into actionable HR interventions. Finally, international benchmark initiatives illustrate that modular system design, interoperability-first architecture, and phased adoption pathways are not only technically viable but critical for sustainable implementation within government environments. Taken together, these interconnected evidence streams demonstrate that SkillChain DX functions as a cohesive, technology-informed blueprint that synthesizes validated research into a unified framework for intelligent public-sector human capital management.
The policy relevance lies in the system’s capacity to support strategic foresight and evidence-based HR decisions. As public sector agencies globally shift from routine service delivery to agile, innovation-driven functions, workforce planning must also become dynamic and anticipatory. The framework demonstrates how skill-gap identification, role alignment, and learning verification can be systematically integrated into HR policy processes, addressing long-standing disconnects between training provision and workforce deployment [4]. The integration of AI with blockchain strengthens the credibility of recommendations by promoting transparent, secure, and ethically governed data use which is an increasingly critical concern in public sector data policy [6,38].
Moreover, the framework supports national strategic objectives such as the UAE Centennial 2071 and the Dubai Paperless Strategy by promoting digital-first, AI-ready government infrastructure. It also aligns with the UAE’s National Artificial Intelligence Strategy, which emphasizes responsible AI governance, human capital transformation, and sector-specific integration [2,39]. By positioning workforce intelligence as a policy capability rather than a technical add-on, the framework contributes to long-term institutional readiness.
Additionally, the proposed system can support interdepartmental equity by making internal opportunities visible and merit-based. AI-driven mobility recommendations can help reduce bias in internal transfers, while blockchain-based credentialing ensures verifiability regardless of department, manager, or legacy system used. Such mechanisms supports fairer access to internal opportunities and strengthens institutional trust in HR systems, echoing best practices from jurisdictions such as USA, Singapore and Estonia.
The pilot implementation of SkillChain DX demonstrates that the proposed framework is not only conceptually sound but also technically viable under realistic operating conditions. The AI-based skill inference engine consistently produced high-quality role recommendations, achieving an average top match score of 82.1%, confirming strong semantic alignment between employee skill profiles and role requirements. Empirical threshold analysis identified 70% similarity as an optimal decision boundary, balancing recommendation quality with actionable volume by generating 3–5 viable role options per employee while maintaining match scores above 75%. From a systems perspective, the blockchain credential layer exhibited strong operational performance, sustaining verification throughput exceeding 1000 operations per second and near-instant validation times, indicating suitability for real-time enterprise HR workflows. Scalability testing further confirmed predictable system behavior, with performance scaling linearly according to O(n × m) complexity (R2 = 0.98), where n represents employees and m represents job roles. Model inference times remained low at approximately 50 milliseconds per comparison, enabling near-instantaneous recommendation generation. Importantly, the skill gap progression simulation demonstrated measurable learning impact, with targeted course completion yielding an average 13% improvement in role similarity scores per three courses, validating the framework’s capacity to link training investments directly to workforce readiness outcomes.
The pilot evaluation of SkillChain DX provides empirical support for the framework’s core design assumptions by translating conceptual components into measurable system behavior. The similarity threshold analysis demonstrates that a 70% semantic similarity cutoff offers the most effective trade-off between recommendation quality and usability, yielding 3–5 actionable role recommendations per employee while maintaining average top-match scores above 75%. This validates the framework’s decision logic for internal mobility filtering, ensuring that recommendations remain both selective and policy-relevant. The skill gap progression simulation further confirms that targeted learning interventions produce cumulative gains in role readiness, with similarity scores increasing incrementally as competencies are acquired and skill gaps reduced to zero in the simulated pathway. These findings substantiate the framework’s premise that AI-driven skill inference can operationalize training outcomes into quantifiable workforce transformation signals rather than static learning records.
From a systems performance perspective, the blockchain credential layer demonstrates characteristics necessary for enterprise-scale HR environments. Credential verification consistently outperformed issuance operations, achieving verification throughput exceeding 1000 operations per second even at higher credential volumes, while maintaining linear performance growth. The observed O(n × m) scalability pattern, with a strong correlation (R2 = 0.98) between workload size and computation time, confirms predictable behavior as employee and role counts increase. Model comparison results further justify the selection of the all-MiniLM-L6-v2 sentence-transformer model, which achieves competitive semantic accuracy with significantly lower inference latency and memory footprint than larger alternatives. Together, these results indicate that the proposed architecture balances accuracy, responsiveness, and computational efficiency, which is essential for real-time HR decision support systems operating within government constraints.
When compared with traditional workforce planning approaches, the pilot results highlight substantial operational and governance advantages. Manual candidate identification and credential verification processes, which typically require days or weeks, are replaced by near-instant AI-driven matching and cryptographic validation, reducing processing time by over 99%. Skill assessment accuracy improves markedly over self-reported methods, while internal mobility identification becomes systematic rather than discretionary.
Importantly, the framework enables practical implementation pathways for HR departments, including verified internal talent marketplaces, evidence-based training ROI assessment, and policy-compliant credential portability across departments. By linking performance metrics directly to skill acquisition and role alignment outcomes, SkillChain DX shifts workforce planning from descriptive reporting toward predictive and accountable decision-making, reinforcing its value as both a technical system and a public-sector governance instrument.
While earlier sections positioned SkillChain DX as a policy-aligned architectural blueprint, the pilot results substantiate its practical feasibility within a controlled implementation setting. The observed gains in recommendation accuracy, verification speed, and scalability indicate that the framework can transition from design to deployment without structural modification. Moreover, the ability to quantify improvements in role alignment and skill acquisition establishes a measurable basis for evaluating training effectiveness and internal mobility outcomes.
Overall, the SkillChain DX provides a conceptually robust, policy-relevant response to contemporary challenges in public sector HR planning. Rather than advocating wholesale replacement of existing HR platforms, it offers a phased roadmap for institutional innovation beginning with pilot trials, modular integration, and controlled evaluation. For governments committed to developing future-ready workforces and trustworthy digital institutions, this study offers a timely and actionable blueprint.

4.5. Limitations of the Study

While this study presents a comprehensive policy-oriented framework an pilot implementation for AI-driven skill mapping and blockchain-enabled credential verification, several contextual and practical limitations should be acknowledged. First, the effectiveness of the proposed framework is inherently dependent on the availability, quality, and interoperability of workforce data across government entities. Variations in how job roles, skills, and learning outcomes are defined or recorded across departments may affect the consistency of skill inference and role alignment. Although the pilot evaluation demonstrates technical feasibility, real-world validation at enterprise scale would require datasets involving thousands of employees and extensive training catalogues, as well as coordinated governance and standardized skill taxonomies.
Second, the adoption of AI-based decision-support systems in public sector HR environments introduces organizational and change-management challenges. Successful application of the framework depends not only on technical readiness but also on institutional acceptance, staff training, and clear policy guidance to ensure that AI-generated insights are used to support, rather than replace, human judgment. Resistance to algorithm-assisted decision-making and concerns about transparency may influence the pace and scope of adoption.
Third, the skill inference process in the current pilot relies on semantic similarity and rule-based skill aggregation, which may not fully capture implicit, contextual, or soft-skill dimensions such as leadership, communication, or cultural fit. While the approach demonstrates measurable improvements over self-reported assessments, future enhancements could incorporate advanced natural language processing techniques and standardized occupational taxonomies to improve semantic precision and cross-organizational comparability.
Fourth, the blockchain-based credential verification component, while effective in demonstrating data integrity and verification performance, is implemented using a lightweight ledger simulation. This design does not yet encompass all properties of production-grade distributed blockchain systems, such as decentralized consensus mechanisms, network resilience, or smart contract execution under adversarial conditions. Furthermore, real-world deployment within government settings must align with data protection regulations, privacy requirements, and cross-agency access controls, as well as address legal recognition of blockchain-based credentials and governance over credential issuance, updates, and revocation.
Finally, the framework assumes progressive digital maturity and institutional coordination across HR, IT, and policy units. Differences in legacy system architectures, resource availability, and strategic priorities across departments may limit uniform implementation. These factors suggest that adoption would likely require phased pilots deployments and iterative refinement rather than immediate system-wide rollout.

4.6. Future Directions and Policy Recommendations

Building upon the conceptual validation and global benchmarks, this section outlines pragmatic next steps and policy measures that can guide the Dubai Government in advancing toward intelligent and adaptive HR planning:
1.
Pilot Collaboration with Technical Institutions: Launch a sandbox trial within a selected government department using anonymized data to test dashboard usability, validate AI-driven skill-role mapping with HR input, and explore limited blockchain features.
2.
Technical and Architectural Advancement: Future work should enhance the analytical and infrastructure layers of SkillChain DX by integrating advanced NLP techniques for context-aware skill extraction, explainable AI mechanisms to improve transparency of role recommendations, and production-grade blockchain platforms with smart contracts and consensus mechanisms. Additional scalability testing at enterprise level and adaptive learning path optimization would further strengthen system robustness and deployment readiness.
3.
Longitudinal Validation and Ecosystem Expansion: Subsequent research should focus on longitudinal evaluation of AI-driven mobility outcomes, incorporating multi-modal skill evidence such as project portfolios and performance reviews. Extending verified credentials beyond organizational boundaries could enable cross-sector talent mobility, positioning SkillChain DX as a foundation for a trusted, skills-based public sector workforce ecosystem
4.
Policy Integration Pathway: Define a roadmap for integrating the dashboard into existing systems such as Bayanati or Al Mawrid, possibly as a separate analytics module. This approach avoids disruption while enabling forward-looking capability.
5.
Ethical and Regulatory Oversight: Establish an interdepartmental policy board to oversee the ethical use of AI in HR decisions, including transparency, non-discrimination, and data privacy. Reference frameworks from OECD’s AI Principles and the UAE’s National AI Strategy.
6.
Data Governance Protocols: Develop data-sharing protocols and anonymization standards that allow secure use of training and role data for analytics without breaching employee confidentiality.
7.
Capacity Building for HR Teams: Launch short-term upskilling programs for HR personnel to increase digital literacy in AI-driven analytics and credential technologies. This ensures effective adoption and organizational change management.
The future trajectory for this framework lies not in immediate full-scale deployment, but in incremental institutional learning, strategic policy integration, and controlled experimentation. These staged pathways also define clear opportunities for future research, including pilot-based evaluation of skill inference accuracy, governance effectiveness, and organizational adoption dynamics in public sector settings. By embracing a modular and pilot-friendly approach, the Dubai Government can both advance evidence-based HR policymaking and establish structured research environments for assessing AI- and blockchain-enabled workforce systems. In doing so, the framework positions Dubai not only as a regional policy leader but also as a reference case for scholarly inquiry into ethical, scalable, and future-ready public sector human capital transformation.

5. Conclusions

In an era where governments must rapidly adapt to evolving skill landscapes and technological disruption, the strategic management of human capital is no longer optional, it is imperative. This study offers a policy-aligned, conceptually grounded framework that anticipates the next stage of digital transformation in public sector HR. By integrating AI for intelligent skill-role matching and blockchain for credential trust, the framework proposes a shift from static, reactive systems to dynamic, evidence-based workforce planning. It acknowledges existing digital infrastructures while presenting a forward path toward modular innovation that does not overburden current capacity. In doing so, it empowers HR leaders to move beyond compliance-driven operations and toward strategic talent orchestration. Importantly, the pilot implementation conducted in this study provides initial empirical evidence supporting the technical feasibility of the proposed framework. Experimental results demonstrate that AI-driven skill inference can generate high-quality role recommendations with predictable scalability, while lightweight blockchain-based credential verification enables near-instant validation of learning records without centralized dependency. These findings strengthen the study’s applied contribution by moving beyond conceptual design toward verifiable operational performance, offering public sector decision-makers concrete indicators for informed pilot adoption and policy integration with supporting experimental artifacts and source code made openly accessible for validation and extension (https://github.com/papersC/skillChain.git (accessed on 28 November 2025)). Crucially, this research underscores that the future of HR in government is not just digital, but intelligent, decentralized, and aligned with long-term policy outcomes.

Author Contributions

Conceptualization, S.A.A.-J., O.A. and K.A.; Methodology, S.A.A.-J., O.A. and K.A.; Validation, S.A.A.-J.; Formal analysis, S.A.A.-J.; Writing—original draft, S.A.A.-J. and K.A.; Writing—review & editing, S.A.A.-J., O.A. and K.A.; Supervision, S.A.A.-J. All authors have read and agreed to the published version of the manuscript.

Funding

This research received no external funding.

Institutional Review Board Statement

Not applicable.

Informed Consent Statement

Not applicable.

Data Availability Statement

No new data were created or analyzed in this study.

Acknowledgments

This publication has received support from the Mohammed Bin Rashid Housing Establishment (MBRHE). However, the content herein is the authors’ sole responsibility and does not necessarily reflect the official stance of MBRHE. A version of this paper has also been recognized with the Second Place Award in the Dubai Government HR Department Research Awards 2025.

Conflicts of Interest

The authors declare no conflicts of interest.

References

  1. Saiegh-Haddad, E. MAWRID: A Model of Arabic Word Reading in Development. J. Learn. Disabil. 2018, 51, 454–462. [Google Scholar] [CrossRef]
  2. Javad, S. Performance Management in the Middle East. In Doing Business in the Middle East; Routledge: London, UK, 2023; pp. 176–190. [Google Scholar] [CrossRef]
  3. Bandara, R.J.; Biswas, K.; Akter, S.; Shafique, S.; Rahman, M. Addressing Algorithmic Bias in AI-Driven HRM Systems: Implications for Strategic HRM Effectiveness. Hum. Resour. Manag. J. 2025, 35, 1047–1063. [Google Scholar] [CrossRef]
  4. Rabenu, E.; Baruch, Y. Cyborging HRM theory: From evolution to revolution–The challenges and trajectories of AI for the future role of HRM. Pers. Rev. 2024, 54, 174–198. [Google Scholar] [CrossRef]
  5. Mwita, K.M.; Kitole, F.A. Potential benefits and challenges of artificial intelligence in human resource management in public institutions. Discov. Glob. Soc. 2025, 3, 1–19. [Google Scholar] [CrossRef]
  6. Xiao, Q.; Yan, J.; Bamber, G.J. How Does AI-Enabled HR Analytics Influence Employee Resilience: Job Crafting as a Mediator and HRM System Strength as a Moderator. Pers. Rev. 2023, 54, 824–843. [Google Scholar] [CrossRef]
  7. De Alwis, A.C.; Andrlić, B.; Šostar, M. The influence of E-HRM on modernizing the role of HRM context. Economies 2022, 10, 181. [Google Scholar] [CrossRef]
  8. Stachová, K.; Stacho, Z.; Šamalík, P.; Sekan, F. The impact of E-HRM tools on employee engagement. Adm. Sci. 2024, 14, 303. [Google Scholar] [CrossRef]
  9. Rahman, T.; Mouno, S.I.; Raatul, A.M.; Al Azad, A.K.; Mansoor, N. Verifi-Chain: A Credentials Verifier using Blockchain and IPFS. In Lecture Notes in Networks and Systems; Springer: Berlin/Heidelberg, Germany, 2023; Volume 757 LNNS, pp. 361–371. [Google Scholar] [CrossRef]
  10. Marukhlenko, O.; Panchenko, A.; Rudenko, V.; Oleshchenko, V. Digital transformation as a driver of human development: Challenges and opportunities for Ukraine. Glob. Sci. Trends Econ. Public Adm. 2025, 2, 25–43. [Google Scholar]
  11. Bhattacharya, S.; Cathey, G.; Laouchez, J.-M.; Bernstein, E. Verifiable Credentials: Trust and Truth in an AI-Enabled Talent Acquisition Market; Velocity Network Foundation: Zug, Switzerland, 2024; Available online: https://www.velocitynetwork.foundation/verifiable-credentials-trust-and-truth-in-an-ai-enabled-talent-acquisition-market (accessed on 11 October 2024).
  12. SkillsFuture Singapore. Skills Demand for the Future Economy: Carbon Management and Sustainability; SkillsFuture: Singapore, 2021. Available online: https://www.ssg.gov.sg (accessed on 7 November 2024).
  13. Ledger Insights. Etisalat Launches HR Credentials on Blockchain-Ledger Insights-Blockchain for Enterprise. Available online: https://www.ledgerinsights.com/etisalat-launches-hr-credentials-on-blockchain/ (accessed on 20 January 2021).
  14. Fachrunnisa, O.; Hussain, F.K. Blockchain-based human resource management practices for mitigating skills and competencies gap in workforce. Int. J. Eng. Bus. Manag. 2020, 12, 1847979020966400. [Google Scholar] [CrossRef]
  15. Wibowo, A. Redefining governance in Indonesia through blockchain-integrated AI: Insights from Estonia’s digital nation and South Korea’s smart administration. In Proceedings of the Fourth International Conference on Government Education Management and Tourism (ICoGEMT-4), Bandung, Indonesia, 25 January 2025; Volume 4, p. 16. Available online: https://conference.loupiasconference.org/index.php/ICoGEMT-4/article/view/567 (accessed on 7 November 2024).
  16. Rustemi, G. Stress til Suksess—Ledelse av Generasjon Z: Med Fokus på Dannelse av et Støttende Arbeidsmiljø og Fremme Mental Helse. Master’s Thesis, OsloMet—Oslo Metropolitan University, Oslo, Norway, 2024. Available online: https://hdl.handle.net/11250/3162774 (accessed on 7 November 2024).
  17. Savsani, H. Blockchain Technology: Applications, Challenges, and Future Prospects. 2025. Available online: http://www.theseus.fi/handle/10024/886768 (accessed on 7 November 2024).
  18. Banerjee, J.; Danti, A.; Nassoura, A.B.; Dileep, M.R. A Blockchain-Enabled Arbitrable Smart Hiring System (BEASH). In Future-Proofing Emerging Technologies for Business Transformation; IGI Global Scientific Publishing: Hershey, PA, USA, 2025; pp. 291–326. [Google Scholar]
  19. Prikshat, V.; Kumar, S.; Patel, P.; Varma, A. Impact of organisational facilitators and perceived hr effectiveness on acceptance of AI-augmented HRM: An integrated TAM and TPB perspective. Pers. Rev. 2024, 54, 879–912. [Google Scholar] [CrossRef]
  20. Kim, S.; Chen, Z.W.; Tan, J.Q.; Mussagulova, A. A case study of the Singapore SkillsFuture Credit scheme: Preliminary insights for making lifelong learning policy more effective. Asian J. Polit. Sci. 2021, 29, 192–214. [Google Scholar] [CrossRef]
  21. Amoud, L.E.; Raymer, A.L.; Tan, R. Reimagining Workforce Development: A Critical Analysis of Approaches in Europe, Singapore, and the United States. New Dir. Adult Contin. Educ. 2025, 2025, 44–53. [Google Scholar] [CrossRef]
  22. Capece, G.; Ghiron, N.L.; Pasquale, F. Blockchain Technology: Redefining Trust for Digital Certificates. Sustainability 2020, 12, 8952. [Google Scholar] [CrossRef]
  23. Bitton, M. The Estonian Miracle: E-Estonia and the Future of Digital Infrastructure; NYU School of Professional Studies: New York, NY, USA, 2022; Available online: https://www.sps.nyu.edu/about/news-and-ideas/articles/etc/2024/the-estonian-miracle-e-estonia-and-the-future-of-digital-infrastructure.html (accessed on 7 November 2022).
  24. Al-Oun, S.; Al-Khasawneh, Z. Sustainable Human Resource Management and Career Quality in Public Utilities: Evidence from Jordan’s Electricity Sector. Sustainability 2025, 17, 4866. [Google Scholar] [CrossRef]
  25. Al Ali, M.I.; Khassawneh, O.; Haak-Saheem, W.; Zeng, J.; Darwish, T.K. Unveiling dubai’s knowledge economy: A journey toward enhancing knowledge exchange and human capital. Glob. Knowl. Mem. Commun. 2023, 74, 1747–1766. [Google Scholar] [CrossRef]
  26. Digital Dubai. Dubai Blockchain Strategy|Blockchain Dubai|Digital Dubai. Available online: https://www.digitaldubai.ae/initiatives/blockchain (accessed on 20 June 2025).
  27. Budhwar, P.; Pereira, V. Doing Business in the Middle East; Routledge: London, UK, 2023. [Google Scholar] [CrossRef]
  28. Toyoda, K.; Takis Mathiopoulos, P.; Sasase, I.; Ohtsuki, T. A Novel Blockchain-Based Product Ownership Management System (POMS) for Anti-Counterfeits in the Post Supply Chain. IEEE Access 2017, 5, 17465–17477. [Google Scholar] [CrossRef]
  29. Mathew, J.; Mer, A.; Khan, F. Blockchain Smart Contracts in Human Resource Management: Application, Implementation Challenges, and Research Agenda. In Digital HR: Technologies for HR Transformation and Performance Improvement; CRC Press: Boca Raton, FL, USA, 2025; pp. 64–88. [Google Scholar] [CrossRef]
  30. Mohamed, S.; Mazrouei, A. Assessing the Effectiveness of Bilingual Dictionaries for Translation with Reference to Al-Mawrid English/Arabic Dictionary; University of Salford: Salford, UK, 2014. [Google Scholar]
  31. Bo, N.S.W. OECD Digital education outlook 2023: Towards an effective education ecosystem. Hung. Educ. Res. J. 2024, 15, 284–289. [Google Scholar] [CrossRef]
  32. Marri, A.A.; Jarn, B.B.; Mansoor, W.; Atalla, S.; Miniaoui, S. Measuring the Effects Of Employee Face-To-Face Interactions On Their Productivity Through Ir Badges. In Proceedings of the 2023 International Conference on Intelligent Systems for Communication, IoT and Security, ICISCoIS 2023, Coimbatore, India, 2–3 February 2023; pp. 224–229. [Google Scholar] [CrossRef]
  33. Boone-Salmon, R.A.; Méndez-González, J.E. The future of work, changes, and needs arising from technological development according to higher education institutions (HEIs). Sch. Bull. 2024, 10, 59–63. [Google Scholar] [CrossRef]
  34. Bapat, C. Blockchain for Academic Credentials. arXiv. 2020. [CrossRef]
  35. Smolenski, N. Blockchain for Education: A New Credentialing Ecosystem; OECD Publishing: Paris, France, 2021. [Google Scholar]
  36. Priyashantha, K.G. Disruptive technologies for human resource management: A conceptual framework development and research agenda. J. Work-Appl. Manag. 2023, 15, 21–36. [Google Scholar] [CrossRef]
  37. Janjua, Z.A.; Shah, S.M.A.; Khan, R.; Rashid, A. Ethical Leadership Strategies for Integrating AI Cloud Services in HRM. Cent. Manag. Sci. Res. 2025, 3, 274–292. [Google Scholar]
  38. Papaconstantinou, G. The Politics of the OECD. In The Elgar Companion to the OECD; Edward Elgar Publishing: Cheltenham, UK, 2023. [Google Scholar] [CrossRef]
  39. Alaa, A. Adoption of artificial intelligence and robotics in organisations: A systematic literature review. Int. J. Bus. Technol. Manag. 2023, 5, 342–359. [Google Scholar]
Figure 1. Conceptual framework and process flow of SkillChain DX and its first component, the AI-Based Skill Inference Engine, illustrating the transformation of unstructured employee and job data into skill-role similarity insights using NLP and clustering methods. This conceptual model supports intelligent role mapping and personalized upskilling pathways in public sector HR systems.
Figure 1. Conceptual framework and process flow of SkillChain DX and its first component, the AI-Based Skill Inference Engine, illustrating the transformation of unstructured employee and job data into skill-role similarity insights using NLP and clustering methods. This conceptual model supports intelligent role mapping and personalized upskilling pathways in public sector HR systems.
Applsci 16 02114 g001
Figure 2. Flowchart of the Blockchain Credential Verification System, depicting the conceptual lifecycle of course completion data from credential input to tokenization and verification on a private blockchain. The model ensures secure, tamper-proof learning records for enhanced credential trust.
Figure 2. Flowchart of the Blockchain Credential Verification System, depicting the conceptual lifecycle of course completion data from credential input to tokenization and verification on a private blockchain. The model ensures secure, tamper-proof learning records for enhanced credential trust.
Applsci 16 02114 g002
Figure 3. Diagram of the HR Policy Dashboard workflow, integrating AI-derived insights and blockchain-verified credentials to support workforce planning decisions. The dashboard conceptually enables HR professionals to visualize skill gaps, suggest transfers, and monitor learning alignment in real time.
Figure 3. Diagram of the HR Policy Dashboard workflow, integrating AI-derived insights and blockchain-verified credentials to support workforce planning decisions. The dashboard conceptually enables HR professionals to visualize skill gaps, suggest transfers, and monitor learning alignment in real time.
Applsci 16 02114 g003
Figure 4. Illustrative dashboard layout demonstrating policy-level outputs of the proposed framework. The figure represents a conceptual visualization intended to illustrate potential policy-level outputs rather than an implemented system.
Figure 4. Illustrative dashboard layout demonstrating policy-level outputs of the proposed framework. The figure represents a conceptual visualization intended to illustrate potential policy-level outputs rather than an implemented system.
Applsci 16 02114 g004
Figure 5. Threshold analysis showing the relationship between similarity thresholds and recommendation metrics.
Figure 5. Threshold analysis showing the relationship between similarity thresholds and recommendation metrics.
Applsci 16 02114 g005
Figure 6. Skill progression showing similarity score increase and gap reduction across training stages.
Figure 6. Skill progression showing similarity score increase and gap reduction across training stages.
Applsci 16 02114 g006
Figure 7. Blockchain performance metrics showing execution time and throughput for issue/verify operations.
Figure 7. Blockchain performance metrics showing execution time and throughput for issue/verify operations.
Applsci 16 02114 g007
Figure 8. Model comparison across similarity scores, inference speed, and efficiency metrics.
Figure 8. Model comparison across similarity scores, inference speed, and efficiency metrics.
Applsci 16 02114 g008
Figure 9. Scalability analysis with heatmap and linear regression.
Figure 9. Scalability analysis with heatmap and linear regression.
Applsci 16 02114 g009
Table 1. Data sources that actively present job postings and courses postings.
Table 1. Data sources that actively present job postings and courses postings.
Source TypePlatform/DatasetPurpose
Public job postingsGulfTalent, Bayt, LinkedIn JobsExtract open role descriptions and titles
Online training transcriptsCoursera, edX, LinkedIn Learning (public metadata)Simulate employee upskilling records
UAE national frameworksUAE Government HR strategy, Digital Government policyAlign taxonomy and role families
Credential schemasMIT Blockcerts, European Blockchain Services Infrastructure (EBSI)Structure blockchain issuance fields
Table 2. Conceptual credential data placement and governance.
Table 2. Conceptual credential data placement and governance.
Data ElementStored LocationRationaleAccess Rule
Credential hash/identifierOn-chainEnsures data integrity and tamper detectionAuthorized verifiers
Certificate contentOff-chain (HR systems)Preserves privacy and regulatory complianceHR-authorized roles only
Employee identity attributesOff-chainPrevents exposure of personal dataInstitutional policy control
Credential status (valid/revoked)On-chain referenceEnables verification without modifying stored dataPermissioned access
Table 3. Structured dataset configuration used for pilot implementation and experimental evaluation of SkillChain DX.
Table 3. Structured dataset configuration used for pilot implementation and experimental evaluation of SkillChain DX.
DatasetPurposeRecordsCore FieldsSkill
Representation
Coverage Characteristics
Job RolesDefines target positions for role-matching15 rolesrole_id, role_name, description, required_skillsComma-separated skill stringsData Science, Engineering, Management, Analytics; 5–12 skills per role
Training CoursesSupports skill gap remediation25 coursescourse_id, course_name, provider, skills_taught, duration, difficultyComma-separated skill stringsProviders include Coursera, edX, Udacity, LinkedIn Learning, Pluralsight; 4–40 h; Beginner–Advanced
EmployeesRepresents workforce profiles10 employeesemployee_id, name, current_role, completed_courses, years_experienceCourse IDs mapped to skillsRoles span analyst, engineer, scientist, manager; experience range 2–10 years
Table 4. Algorithmic configurations in SkillChain DX Pilot: AI Matching, Gap Analysis, and Blockchain Verification.
Table 4. Algorithmic configurations in SkillChain DX Pilot: AI Matching, Gap Analysis, and Blockchain Verification.
ModuleConfiguration AspectSpecification
AI Skill Matching EngineEmbedding modelSentence-BERT (all-MiniLM-L6-v2), 384-dimensional vectors
Similarity metricCosine similarity (normalized to 0–100%)
Text preprocessingLowercasing, whitespace normalization
Skill aggregationConcatenation of extracted skill terms
Batch processingEnabled (batch size = 32)
Ranking strategyDescending similarity score
Recommendation outputTop-K roles (K = 5, configurable)
Skill Gap Analysis ModuleGap detectionSet difference between required and possessed skills
Skill matchingCase-insensitive exact string matching
Gap prioritizationFrequency across high-similarity roles
Course recommendationMapping gap skills to course metadata
Recommendation limitTop 3 courses per gap
Blockchain Credential ModuleIntegrity mechanismSHA-256 cryptographic hashing
Credential formatCanonical JSON representation
ImmutabilityAppend-only hash-linked ledger
Genesis BlockHash: 0000000000000000...
Identifier formatSequential credential IDs
Verification processHash recomputation and comparison
Tamper detectionHash mismatch triggers verification failure
Table 5. Overview of pilot evaluation components and validation objectives for the SkillChain DX prototype.
Table 5. Overview of pilot evaluation components and validation objectives for the SkillChain DX prototype.
Experimental
Component
ObjectiveScope/ScaleKey MetricsValidation Focus
Similarity Threshold AnalysisIdentify optimal similarity threshold for role recommendations10 employees × 15 roles × 7 thresholdsAvg. recommendations, qualified employees, top match scoreRecommendation quality vs. quantity balance
Skill Gap Progression SimulationEvaluate impact of targeted training on role alignment1 employee across 4 training stagesSimilarity score, skill gapsEffectiveness of AI-guided upskilling
Blockchain Credential Performance AnalysisAssess credential issuance and verification performance10–500 credentialsLatency, throughput (ops/sec)Feasibility of real-time verification
Embedding Model EvaluationCompare transformer models for skill matching3 sentence-transformer modelsAccuracy, inference time, model sizeModel selection trade-offs
Scalability and Complexity AnalysisExamine system performance under increasing workloads150–10,000 comparisonsTotal time, time per comparison, R2Enterprise scalability behavior
Similarity Score Distribution AnalysisCharacterize distribution of employee-role match scores150 similarity scoresMean, variance, quartilesThreshold justification and score behavior
Table 6. Experimental parameters and configurations.
Table 6. Experimental parameters and configurations.
ParameterValue
Threshold Values50–90% (7 values)
Employees10
Roles15, 50, 100
Credential Volumes10, 50, 100, 500
Hashing AlgorithmSHA-256
Embedding Modelsall-MiniLM-L6-v2, all-MiniLM-L12-v2, paraphrase-MiniLM-L6-v2
Similarity MetricCosine similarity
Timing MethodPython time.time()
Statistical TestsHistogram, box plot, Q-Q plot
Complexity AnalysisLinear regression (R2)
Table 7. Evaluation dimensions and validation targets used in the pilot assessment of the SkillChain DX prototype.
Table 7. Evaluation dimensions and validation targets used in the pilot assessment of the SkillChain DX prototype.
Evaluation DimensionMetricMeasurement MethodTarget/Reference Value
Recommendation QualityAverage similarity scoreMean of all employee–role scores60–70%
Top match scoreMaximum score per employee>80%
Recommendations per employeeCount above threshold3–5
Score dispersionStandard deviation10–20%
CoverageEmployees with ≥1 recommendation100%
Precision@KRelevant roles in top K>70%
Computational PerformanceEmbedding inference timetime.time() measurement<100 ms per batch
Similarity computation timeCosine similarity per pair<1 ms
Total processing timeEnd-to-end for 150 comparisons<5 s
Credential throughputOperations per second>1000 ops/s
Memory usagePeak RAM consumption<500 MB
Scalability BehaviorComplexity classBig-O analysis O ( n × m )
Linear correlation ( R 2 )Time vs. comparisons regression>0.95
Per-comparison costTime ÷ comparisons50–100 μ s
Scalability factorTime increase for 10 × data<10×
Enterprise projection1000 employees × 100 roles<10 s
Table 8. Conceptual feature mapping of the proposed framework.
Table 8. Conceptual feature mapping of the proposed framework.
ComponentDescriptionLiterature Basis
Skill Inference EngineSemantic role recommendation from training transcripts and CVsWEF (2023), LinkedIn Talent Solutions (2022), OECD (2020)
Credential VerificationBlockchain-based issuance and verification of learning credentialsMIT Blockcerts (2020), Estonia e-Gov White Paper (2021)
HR DashboardVisual interface for mobility planning and skill-gap managementStreamlit UI/UX models, OECD Digital Strategy (2023)
Data SourcesCoursera, LinkedIn Learning, Bayt, GulfTalent, UAE job portalsAl Marri (2022), OECD AI Skills Survey (2021)
Government BenchmarksCompared with Bayanati, Al Mawrid, SkillsFuture, Estonia GovStackUAE Strategy 2025, Singapore GovTech (2022), Estonia e-Gov
Table 9. Comparative evaluation: proposed framework vs. existing systems.
Table 9. Comparative evaluation: proposed framework vs. existing systems.
Feature/MetricProposed FrameworkBayanati/Al Mawrid
Skill-Role MatchingSemantic AI-based (conceptual)Static, rule-based
Credential VerificationBlockchain-enabled, conceptualManual or system-generated logs
Certificate IntegrityTokenized, tamper-proof conceptCentralized, revocable manually
Role RecommenderConceptual real-time moduleNone
Integration with Policy PlanningDashboard model proposedBasic reporting only
Internal Mobility ForecastingIncluded in framework designLimited to historical data
Transparency and Access ControlDecentralized principlesCentralized governance
Disclaimer/Publisher’s Note: The statements, opinions and data contained in all publications are solely those of the individual author(s) and contributor(s) and not of MDPI and/or the editor(s). MDPI and/or the editor(s) disclaim responsibility for any injury to people or property resulting from any ideas, methods, instructions or products referred to in the content.

Share and Cite

MDPI and ACS Style

Al-Jaziri, S.A.; Alqaryouti, O.; Almi’ani, K. SkillChain DX: A Policy Framework for AI-Driven Talent Mapping and Blockchain-Based Credential Validation in Dubai Government. Appl. Sci. 2026, 16, 2114. https://doi.org/10.3390/app16042114

AMA Style

Al-Jaziri SA, Alqaryouti O, Almi’ani K. SkillChain DX: A Policy Framework for AI-Driven Talent Mapping and Blockchain-Based Credential Validation in Dubai Government. Applied Sciences. 2026; 16(4):2114. https://doi.org/10.3390/app16042114

Chicago/Turabian Style

Al-Jaziri, Shaikha Ali, Omar Alqaryouti, and Khaled Almi’ani. 2026. "SkillChain DX: A Policy Framework for AI-Driven Talent Mapping and Blockchain-Based Credential Validation in Dubai Government" Applied Sciences 16, no. 4: 2114. https://doi.org/10.3390/app16042114

APA Style

Al-Jaziri, S. A., Alqaryouti, O., & Almi’ani, K. (2026). SkillChain DX: A Policy Framework for AI-Driven Talent Mapping and Blockchain-Based Credential Validation in Dubai Government. Applied Sciences, 16(4), 2114. https://doi.org/10.3390/app16042114

Note that from the first issue of 2016, this journal uses article numbers instead of page numbers. See further details here.

Article Metrics

Back to TopTop