New 3-(6-Bromo-2-oxo-1,3-benzoxazol-3(2H)-yl)propanoic Acid Derivatives: Synthesis and Biological Activity Against Bacterial Pathogens
Abstract
1. Introduction
2. Materials and Methods
2.1. General Information
2.2. Preparation of Bacterial Cultures
2.3. Disc Agar Diffusion Assay
2.4. Determination of MIC and MBC
2.5. Growth Curve Assay
2.6. Time—Kill Assay
2.7. Cytotoxicity Assay
2.8. Single-Crystal X-Ray Analysis
3. Results
3.1. Chemistry
3.2. Evaluation of Antibacterial Activity by the Kirby–Bauer Method
3.3. MIC and MBC Evaluation
3.4. Correlation Between Disk Diffusion and MIC/MBC
3.5. Bacterial Growth Curve Analysis
3.6. Time–Kill Kinetics Against Staphylococcus aureus
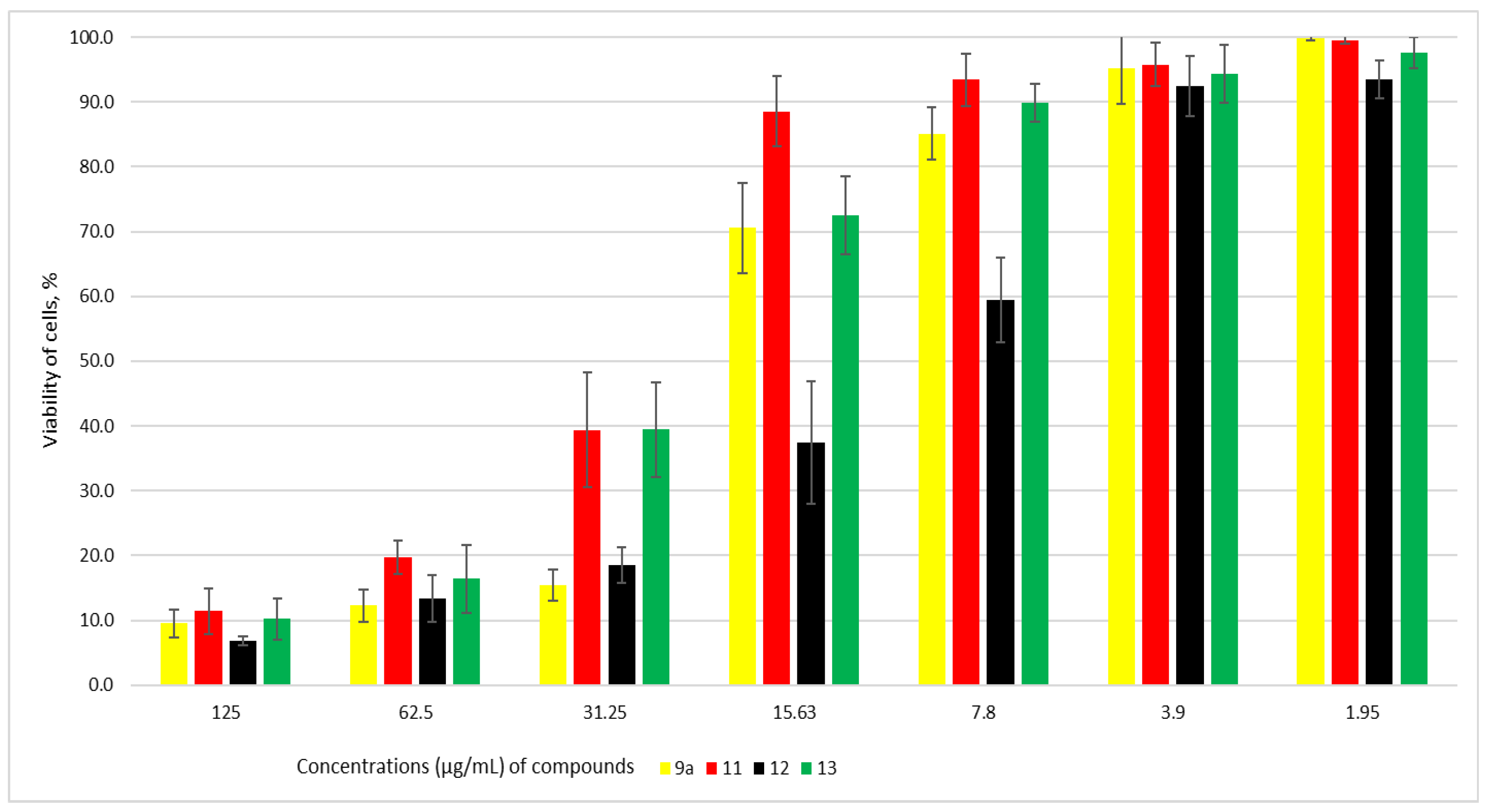
3.7. Cytotoxicity Evaluation
3.8. Crystallography
4. Conclusions
Supplementary Materials
Author Contributions
Funding
Data Availability Statement
Conflicts of Interest
References
- Jackson, A.C.; Pinter, T.B.J.; Talley, D.C.; Baker-Agha, A.; Patel, D.; Smith, P.J.; Franz, K.J. Benzimidazole and Benzoxazole Zinc Chelators as Inhibitors of Metallo-β-Lactamase NDM-1. ChemMedChem 2021, 16, 654–661. [Google Scholar] [CrossRef]
- McKee, M.L.; Kerwin, S.M. Synthesis, metal ion binding, and biological evaluation of new anticancer 2-(2’-hydroxyphenyl)benzoxazole analogs of UK-1. Bioorganic Med. Chem. 2008, 16, 1775–1783. [Google Scholar] [CrossRef] [PubMed] [PubMed Central]
- Paderni, D.; Giorgi, L.; Voccia, M.; Formica, M.; Caporaso, L.; Macedi, E.; Fusi, V. A New Benzoxazole-Based Fluorescent Macrocyclic Chemosensor for Optical Detection of Zn2+ and Cd2+. Chemosensors 2022, 10, 188. [Google Scholar] [CrossRef]
- Hohmann, C.; Schneider, K.; Bruntner, C.; Irran, E.; Nicholson, G.; Bull, A.T.; Jones, A.L.; Brown, R.; Stach, J.E.M.; Goodfellow, M.; et al. Caboxamycin, a new antibiotic of the benzoxazole family produced by the deep-sea strain Streptomyces sp. NTK 937. J. Antibiot. 2009, 62, 99–104. [Google Scholar] [CrossRef] [PubMed]
- Cheerala, V.S.K.; Akhir, A.; Saxena, D.; Maitra, R.; Chopra, S.; Neelakantan, S.C.N. Discovery of benzoxazole–thiazolidinone hybrids as promising antibacterial agents against Staphylococcus aureus and Enterococcus species. RSC Med. Chem. 2023, 14, 1712–1721. [Google Scholar] [CrossRef]
- Ertan, T.; Yildiz, I.; Tekiner-Gülbaş, B.; Bolelli, K.; Temiz-Arpaçi, O.; Özkan, S.; Yalçın, I.; Aki, E. Synthesis, biological evaluation and 2D-QSAR analysis of benzoxazoles as antimicrobial agents. Eur. J. Med. Chem. 2009, 44, 501–510. [Google Scholar] [CrossRef]
- Tekiner-Gulbas, B.; Yildiz-Oren, I.; Temiz-Arpaci, O.; Yalcin, I.; Aki-Sener, E.; Altanlar, N. Synthesis and in vitro antimicrobial activity of new 2-[p-substituted-benzyl]-5-[substituted-carbonylamino]benzoxazoles. Eur. J. Med. Chem. 2007, 42, 1293–1299. [Google Scholar] [CrossRef]
- Klimešová, V.; Kocí, J.; Waisser, K.; Kaustová, J.; Möllmann, U. Preparation and in vitro evaluation of benzylsulfanyl benzoxazole derivatives as potential antituberculosis agents. Eur. J. Med. Chem. 2009, 44, 2286–2293. [Google Scholar] [CrossRef]
- Lu, X.; Hu, X.; Liu, Z.; Zhang, T.; Wang, R.; Wan, B.; Franzblau, S.G.; You, Q. Benzylsulfanyl benzo-heterocycle amides and hydrazones as new agents against drug-susceptible and resistant Mycobacterium tuberculosis. Med. Chem. Commun. 2017, 8, 1303–1310. [Google Scholar] [CrossRef]
- Guzow, K.; Mulkiewicz, E.; Obuchowski, M.; Wiczk, W. Biological activity of 3-(2-benzoxazol-5-yl)alanine derivatives. Amino Acids 2021, 53, 1257–1268. [Google Scholar] [CrossRef]
- Zhang, W.; Liu, J.; Macho, J.M.; Jiang, X.; Xie, D.; Jiang, F.; Liu, W.; Fu, L. Design, synthesis and antimicrobial evaluation of novel benzoxazole derivatives. Eur. J. Med. Chem. 2017, 126, 7–14. [Google Scholar] [CrossRef]
- Arslan, G.; Gökçe, B.; Muhammed, M.T.; Albayrak, Ö.; Önkol, T.; Özçelik, A.B. Synthesis, DFT Calculations, and Molecular Docking Study of Acetohydrazide-Based Sulfonamide Derivatives as Paraoxonase 1 Inhibitors. ChemistrySelect 2023, 8, e202204630. [Google Scholar] [CrossRef]
- Šlachtová, V.; Brulíková, L. Benzoxazole derivatives as promising antitubercular agents: A concise review. ChemistrySelect 2018, 3, 4653–4662. [Google Scholar] [CrossRef]
- Reddy, K.I.; Aruna, C.; Sudhakar Babu, K.; Vijayakumar, V.; Manisha, M.; Padma Sridevi, J.; Yogeeswari, P.; Sriram, D. General and efficient synthesis of benzoxazol-2(3H)-ones: Evolution of their anti-cancer and anti-mycobacterial activities. RSC Adv. 2014, 4, 59594–59602. [Google Scholar] [CrossRef]
- Zhou, Y.; Sun, Z.; Zhou, Q.; Zeng, W.; Zhang, M.; Feng, S.; Xue, W. Novel flavonol derivatives containing benzoxazole as potential antiviral agents: Design, synthesis, and biological evaluation. Mol. Divers. 2024, 28, 3919–3935. [Google Scholar] [CrossRef] [PubMed]
- Zhang, N.; Zeng, W.; Zhou, Q.; Sun, Z.; Meng, K.; Qin, Y.; Hu, Y.; Xue, W. Design, Synthesis, Antibacterial and Antiviral Evaluation of Chalcone Derivatives Containing Benzoxazole. Arab. J. Chem. 2024, 17, 105368. [Google Scholar] [CrossRef]
- Hou, Z.; Ling, L.; Wei, J.; Xu, B. Progress in the Prevalence, Classification and Drug Resistance Mechanisms of Methicillin-Resistant Staphylococcus aureus. Infect. Drug. Resist. 2023, 16, 3271–3292. [Google Scholar] [CrossRef] [PubMed]
- Sendra, E.; Fernández-Muñoz, A.; Zamorano, L.; Oliver, A.; Horcajada, J.P.; Juan, C.; Gómez-Zorrilla, S. Impact of multidrug resistance on the virulence and fitness of Pseudomonas aeruginosa: A microbiological and clinical perspective. Infection 2024, 52, 1235–1268. [Google Scholar] [CrossRef]
- Alasmaria, S.Z.; Makkawia, M.H.; Ahmad, I.; Hakamia, A.R.; Hakami, A.R.; El-Azab, A.S.; Abdel-Aziz, A.A.M.; Ghazwanic, M. Antibacterial evaluation of 2-(6-Chloro-2-p-tolylquinazolin-4-ylthio) acetonitrile against pathogenic bacterial isolates with special reference to biofilm formation inhibition adevindernd anti-adherence properties. J. King Saud Univ. –Sci. 2024, 36, 103316. [Google Scholar] [CrossRef]
- Kumar, D.; Jacob, M.R.; Reynolds, M.B.; Kerwin, S.M. Synthesis and evaluation of anticancer benzoxazoles and benzimidazoles related to UK-1. Bioorg. Med. Chem. 2002, 10, 3997–4004. [Google Scholar] [CrossRef]
- El-Ghobashy, N.M.; El-Sayed, S.M.; Shehata, I.A.; El-Ashmawy, M.B. Synthesis, biological evaluation, and molecular modeling studies of new benzoxazole derivatives as PARP-2 inhibitors targeting breast cancer. Sci. Rep. 2022, 12, 16246. [Google Scholar] [CrossRef]
- El-Helby, A.G.A.; Sakr, H.; Eissa, I.H.; Abulkhair, H.; Al-Karmalawy, A.A.; El-Adl, K. Benzoxazole/benzothiazole-derived VEGFR-2 inhibitors: Design, synthesis, molecular docking, and anticancer evaluations. Arch. Der Pharm. 2019, 352, 1900113. [Google Scholar] [CrossRef]
- Elkady, H.; Elwan, A.; El-Mahdy, H.A.; Doghish, A.S.; Ismail, A.; Taghour, M.S.; Elkaeed, E.B.; Eissa, I.H.; Dahab, M.A.; Mahdy, H.A.; et al. New benzoxazole derivatives as potential VEGFR-2 inhibitors and apoptosis inducers: Design, synthesis, anti-proliferative evaluation, flow-cytometric analysis, and in silico studies. J. Enzyme Inhib. Med. Chem. 2022, 37, 403–416. [Google Scholar] [CrossRef]
- Taghour, M.S.; Mahdy, H.A.; Gomaa, M.H.; Aglan, A.; Eldeib, M.G.; Elwan, A.; Dahab, M.A.; Elkaeed, E.B.; Alsfouk, A.A.; Khalifa, M.M.; et al. Benzoxazole derivatives as new VEGFR-2 inhibitors and apoptosis inducers. J. Enzyme Inhib. Med. Chem. 2022, 37, 2063–2077. [Google Scholar] [CrossRef] [PubMed]
- Elwan, A.; Abdallah, A.E.; Mahdy, H.A.; Dahab, M.A.; Taghour, M.S.; Elkaeed, E.B.; Mehany, A.B.M.; Nabeeh, A.; Adel, M.; Alsfouk, A.A.; et al. Modified benzoxazole-based VEGFR-2 inhibitors and apoptosis inducers: Design, synthesis, and anti-proliferative evaluation. Molecules 2022, 27, 5047. [Google Scholar] [CrossRef] [PubMed]
- Osmaniye, D.; Çelikateş, B.K.; Sağlık, B.N.; Levent, S.; Kaplancıklı, Z.A.; Çevik, U.A.; Çavuşoğlu, B.K.; Ilgın, S.; Özkay, Y. Synthesis of some new benzoxazole derivatives and investigation of their anticancer activities. Eur. J. Med. Chem. 2021, 210, 112979. [Google Scholar] [CrossRef] [PubMed]
- Rida, S.M.; Ashour, F.A.; El-Hawash, S.A.; ElSemary, M.M.; Badr, M.H.; Shalaby, M.A. Synthesis of some novel benzoxazole derivatives as anticancer, anti-HIV-1 and antimicrobial agents. Eur. J. Med. Chem. 2005, 40, 949–959. [Google Scholar] [CrossRef]
- Rzeska, A.; Malicka, J.; Guzow, K.; Szabelski, M.; Wiczk, W. New highly fluorescent amino-acid derivatives: Substituted 3-[2-(phenyl)benzoxazol-5-yl]-alanines: Synthesis and photophysical properties. J. Photochem. Photobiol. A: Chem. 2001, 146, 9–18. [Google Scholar] [CrossRef]
- Kuzu, B.; Hepokur, C.; Alagoz, M.A.; Burmaoglu, S.; Algul, O. Synthesis, biological evaluation and in silico studies of some 2-substituted benzoxazole derivatives as potential anticancer agents to breast cancer. ChemistrySelect 2022, 7, e202103559. [Google Scholar] [CrossRef]
- Aiello, S.; Wells, G.; Stone, E.L.; Kadri, H.; Bazzi, R.; Bell, D.R.; Stevens, M.F.G.; Matthews, C.S.; Bradshaw, T.D.; Westwell, A.D. Synthesis of fluorinated 2-aryl benzoxazoles and evaluation against breast cancer cell lines. J. Med. Chem. 2008, 51, 5135–5139. [Google Scholar] [CrossRef]
- Kovács, F.; Huliák, I.; Árva, H.; Kiricsi, M.; Erdős, D.; Kocsis, M.; Takács, G.; Balogh, G.T.; Frank, É. Medicinal-Chemistry-Driven Approach to 2-Substituted Benzoxazole–Estradiol Chimeras: Synthesis, Anticancer Activity, and Early ADME Profile. ChemMedChem 2023, 18, e202300352. [Google Scholar] [CrossRef]
- Afzal, O.; Altamimi, A.S.A.; Shahroz, M.M.; Sharma, H.K.; Riadi, Y.; Hassan, M.Q. Analgesic and anticancer activity of benzoxazole-clubbed 2-pyrrolidinones as novel inhibitors of monoacylglycerol lipase. Molecules 2021, 26, 2389. [Google Scholar] [CrossRef] [PubMed]
- Seth, K.; Garg, S.K.; Kumar, R.; Purohit, P.; Meena, V.S.; Goyal, R.; Banerjee, U.C.; Chakraborti, A.K. 2-(2-Arylphenyl)benzoxazole As a Novel Anti-Inflammatory Scaffold: Synthesis and Biological Evaluation. ACS Med. Chem. Lett. 2014, 5, 512–516. [Google Scholar] [CrossRef] [PubMed]
- Kaur, A.; Pathak, D.P.; Sharma, V.; Wakode, S. Synthesis, biological evaluation and docking study of a new series of di-substituted benzoxazole derivatives as selective COX-2 inhibitors and anti-inflammatory agents. Bioorg. Med. Chem. 2018, 26, 891–902. [Google Scholar] [CrossRef] [PubMed]
- Song, H.; Oh, S.-R.; Lee, H.-K.; Han, G.; Kim, J.-H.; Chang, H.W.; Doh, K.-E.; Rhee, H.-K.; Choo, H.-Y. Synthesis and evaluation of benzoxazole derivatives as 5-lipoxygenase inhibitors. Bioorg. Med. Chem. 2010, 18, 7580–7585. [Google Scholar] [CrossRef]
- Kablaoui, N.; Patel, S.; Shao, J.; Demian, D.; Hoffmaster, K.; Berlioz, F.; Vazquez, M.L.; Moore, W.M.; Nugent, R.A. Novel benzoxazole inhibitors of mPGES-1. Bioorg. Med. Chem. Lett. 2013, 23, 907–911. [Google Scholar] [CrossRef]
- Walker, D.P.; Arhancet, G.B.; Lu, H.-F.; Heasley, S.E.; Metz, S.; Kablaoui, N.M.; Franco, F.M.; Hanau, C.E.; Scholten, J.A.; Springer, J.R.; et al. Synthesis and biological evaluation of substituted benzoxazoles as inhibitors of mPGES-1: Use of a conformation-based hypothesis to facilitate compound design. Bioorg. Med. Chem. Lett. 2013, 23, 1120–1126. [Google Scholar] [CrossRef]
- Arhancet, G.B.; Walker, D.P.; Metz, S.; Fobian, Y.M.; Heasley, S.E.; Carter, J.S.; Springer, J.R.; Jones, D.E.; Hayes, M.J.; Shaffer, A.F.; et al. Discovery and SAR of PF-4693627, a potent, selective and orally bioavailable mPGES-1 inhibitor for the potential treatment of inflammation. Bioorg. Med. Chem. Lett. 2013, 23, 1114–1119. [Google Scholar] [CrossRef]
- Dunwell, D.W.; Evans, D.; Hicks, T.A. 2-Aryl-5-benzoxazolealkanoic acid derivatives with notable anti-inflammatory activity. J. Med. Chem. 1975, 18, 53–58. [Google Scholar] [CrossRef]
- Shakya, A.K.; Kaur, A.; Al-Najjar, B.O.; Naik, R.R. Molecular modeling, synthesis, characterization and pharmacological evaluation of benzo[d]oxazole derivatives as non-steroidal anti-inflammatory agents. Saudi Pharm. J. 2016, 24, 616–624. [Google Scholar] [CrossRef]
- Koeberle, A.; Werz, O. Design and development of microsomal prostaglandin E2 synthase-1 (mPGES-1) inhibitors as a new class of anti-inflammatory drugs. J. Med. Chem. 2016, 59, 1230–1249. [Google Scholar] [CrossRef] [PubMed]
- Geldern, T.W.; Lai, C.; Gum, R.J.; Daly, M.; Sun, C.; Fry, E.H.; Abad-Zapatero, C. Benzoxazole benzenesulfonamides are novel allosteric inhibitors of fructose-1,6-bisphosphatase with a distinct binding mode. Bioorg. Med. Chem. Lett. 2006, 16, 1807–1811. [Google Scholar] [CrossRef]
- Angeli, A.; Peat, T.S.; Bartolucci, G.; Nocentini, A.; Supuran, C.T.; Carta, F. Intramolecular oxidative deselenization of acylselenoureas: A facile synthesis of benzoxazole amides and carbonic anhydrase inhibitors. Org. Biomol. Chem. 2016, 14, 11353–11356. [Google Scholar] [CrossRef] [PubMed]
- Bononi, G.; Tonarini, G.; Poli, G.; Barravecchia, I.; Caligiuri, I.; Macchia, M.; Demontis, G.C.; Minutolo, F.; Rizzolio, F. Monoacylglycerol lipase (MAGL) inhibitors based on a diphenylsulfide-benzoylpiperidine scaffold: Design, synthesis and anticancer evaluation. Eur. J. Med. Chem. 2021, 223, 113679. [Google Scholar] [CrossRef]
- Yang, Z.; Fairfax, D.J.; Maeng, J.H.; Masih, L.; Usyatinsky, A.; Hassler, C.; Isaacson, S.; Fitzpatrick, K.; DeOrazio, R.J.; Chen, J.; et al. Discovery of 2-substituted benzoxazole carboxamides as 5-HT3 receptor antagonists. Bioorg. Med. Chem. Lett. 2010, 20, 6538–6541. [Google Scholar] [CrossRef]
- Satyendra, R.V.; Vishnumurthy, K.A.; Vagdevi, H.M.; Dhananjaya, B.L.; Shruthi, A. Synthesis, in vitro anthelmintic, and molecular docking studies of novel 5-nitro benzoxazole derivatives. Med. Chem. Res. 2015, 24, 1342–1350. [Google Scholar] [CrossRef]
- Mickevičius, V.; Baltrušis, R.; Beresnevičius, Z. Synthesis and cyclization of N-(2-hydroxyphenyl)-β-alanines and N-(2-benzylhydroxyphenyl)-β-alanines. Khim. Geterotsikl. Soedin. 1991, 4, 527–531. [Google Scholar]
- Clinical and Laboratory Standards Institute. Performance Standards for Antimicrobial Susceptibility Testing; 24th Informational Supplement; CLSI M100-S24; Clinical and Laboratory Standards Institute: Wayne, PA, USA, 2014. [Google Scholar]
- Balouiri, M.; Sadiki, M.; Ibnsouda, S.K. Methods for in Vitro Evaluating Antimicrobial Activity: A Review. J. Pharm. Anal. 2016, 6, 71–79. [Google Scholar] [CrossRef]
- Kurokawa, M.; Ying, B.W. Precise, High-throughput Analysis of Bacterial Growth. J Vis Exp. 2017, 19, 56197. [Google Scholar] [CrossRef]
- Toh, S.C.; Lihan, S.; Bunya, S.R.; Leong, S.S. In Vitro Antimicrobial Efficacy of Cassia alata (Linn.) Leaves, Stem, and Root Extracts against Cellulitis Causative Agent Staphylococcus aureus. BMC Complement. Med. Ther. 2023, 23, 85. [Google Scholar] [CrossRef]
- Adusei, E.B.A.; Adosraku, R.K.; Joppong-Kyekyeku, J.; Amengor, C.D.K.; Jibira, J. Resistance Modulation Action, Time-Kill Kinetics Assay, and Inhibition of Biofilm Formation Effects of Plumbagin from Plumbago zeylanica Linn. J. Trop. Med. 2019, 2019, 1–8. [Google Scholar] [CrossRef] [PubMed]
- Mosmann, T. Rapid Colorimetric Assay for Cellular Growth and Survival: Application to Proliferation and Cytotoxicity Assays. J. Immunol. Methods 1983, 65, 55–63. [Google Scholar] [CrossRef] [PubMed]
- Sheldrick, G.M. A short history of SHELX. Acta Cryst. 2008, A64, 112–122. [Google Scholar] [CrossRef] [PubMed]
- Bourhis, L.J.; Dolomanov, O.V.; Gildea, R.J.; Howard, J.A.K.; Puschmann, H. The anatomy of a comprehensive constrained, restrained refinement program for the modern computing environment—Olex2 dissected. Acta Cryst. 2015, A71, 59–75. [Google Scholar]
- Kiss, L.; Mándity, I.M.; Fülöp, F. Highly functionalized cyclic β-amino acid moieties as promising scaffolds in peptide research and drug design. Amino Acids 2017, 49, 1441–1455. [Google Scholar] [CrossRef]
- Riaz, N.; Rehman, F.; Ahmad, M. β-Amino Acids: Role in Human Biology and Medicinal Chemistry—A Review. Med. Chem. 2017, 7, 302–307. [Google Scholar]
- Šiugždaitė, J.; Lelešius, R.; Grybaitė, B.; Vaickelionienė, R.; Mickevičius, V. Synthesis and Biological Studies of New 2-Benzoxazolinone Derivatives as Antibacterial Agents. Appl. Sci. 2024, 14, 4783. [Google Scholar] [CrossRef]
- Yadav, G.; Ganguly, S. Structure activity relationship (SAR) study of benzimidazole scaffold for different biological activities: A mini-review. Eur. J. Med. Chem. 2015, 97, 419–443. [Google Scholar] [CrossRef]
- Jakubkiene, V.; Valiulis, G.E.; Schweipert, M.; Zubriene, A.; Matulis, D.; Meyer-Almes, F.-J.; Tumkevicius, S. Synthesis and HDAC inhibitory activity of pyrimidine-based hydroxamic acids. Beilstein J. Org. Chem. 2022, 18, 837–844. [Google Scholar] [CrossRef]
- Kavaliauskas, P.; Grybaitė, B.; Sapijanskaite-Banevič, B.; Petraitienė, R.; Grigalevičiūtė, R.; Garcia, A.; Naing, E.; Mickevičius, V.; Belyakov, S.; Petraitis, V. Synthesis of novel N-substituted β-amino acid derivatives bearing 2-hydroxyphenyl moieties as promising antimicrobial candidates targeting multidrug-resistant Gram-positive pathogens. PLoS ONE 2025, 20, e0311715. [Google Scholar] [CrossRef]
- Kavaliauskas, P.; Grybaitė, B.; Sapijanskaitė-Banevič, B.; Vaickelionienė, R.; Petraitis, V.; Petraitienė, R.; Naing, E.; Garcia, A.; Grigalevičiūtė, R.; Mickevičius, V. Synthesis of 3-((4-Hydroxyphenyl)amino)propanoic Acid Derivatives as Promising Scaffolds for the Development of Antimicrobial Candidates Targeting Multidrug-Resistant Bacterial and Fungal Pathogens. Antibiotics 2024, 13, 193. [Google Scholar] [CrossRef]
- Kavaliauskas, P.; Acevedo, W.; Mickevičiūtė, E.; Grigalevičiūtė, R.; Grybaitė, B.; Sapijanskaitė-Banevič, B.; Pranaitytė, G.; Petraitis, V.; Petraitienė, R.; Mickevičius, V. 3,3′-((3-Hydroxyphenyl)azanediyl)dipropionic Acid Derivatives as a Promising Scaffold Against Drug-Resistant Pathogens and Chemotherapy-Resistant Cancer. Pathogens 2025, 14, 484. [Google Scholar] [CrossRef]
- Yıldırım, M.; Ünver, H.; Necip, A.; Çimentepe, M. Design, synthesis, and biological evaluation of novel vanillin-derived hydrazone compounds with antimicrobial, anticancer, and enzyme inhibition activities, along with molecular structure and drug-likeness assessment. Biochem. Biophys. Res. Commun. 2025, 775, 152173. [Google Scholar] [CrossRef]
- Nurkenov, O.A.; Fazylov, S.D.; Satpaeva Ž, B.; Seilkhanov, T.M.; Turdybekov, D.M.; Mendibayeva, A.Ž.h.; Kabieva, S.K.; Šulgau, Z.T.; Kulakov, I.V. Synthesis, structure and biological activity of hydrazones derived from 2- and 4-hydroxybenzoic acid hydrazides. Chem. Data Collect. 2023, 48, 101089. [Google Scholar] [CrossRef]
- Adjissi, L.; Chafai, N.; Benbouguerra, K.; Kirouani, I.; Hellal, A.; Layaida, H.; Elkolli, M.; Bensouici, C.; Chafaa, S. New aromatic hydrazones: Synthesis, structural analysis, DFT study, biological activity, ADME-T properties and in silico evaluation of their inhibition of SAS-CoV-2 main protease. J. Mol. Struct. 2023, 1279, 134997. [Google Scholar] [CrossRef]
- Greenwood, N.N.; Earnshaw, A. Chemistry of the Elements; Butterworth–Heinemann: Oxford, UK, 1997; pp. 800–804. [Google Scholar]
- Didehdar, M.; Chegini, Z.; Tabaeian, S.P.; Razavi, S.; Shariati, A. Cinnamomum: The New Therapeutic Agents for Inhibition of Bacterial and Fungal Biofilm-Associated Infection. Front. Cell. Infect. Microbiol. 2022, 12, 930624. [Google Scholar] [CrossRef]
- Baker, S.J.; Payne, D.J.; Rappuoli, R.; De Gregorio, E. Technologies to Address Antimicrobial Resistance. Proc. Natl. Acad. Sci. USA 2018, 115, 12887–12895. [Google Scholar] [CrossRef]


















| Chemical Compounds | Concentrations (µg/mL) | Bacterial Strains | ||||
|---|---|---|---|---|---|---|
| S. aureus | MRSA | B. subtilis | E. coli | P. aeruginosa | ||
| 9a | MIC | NT | NT | 7.8 | NT | NT |
| MBC | NT | NT | 62.5 | NT | NT | |
| MBC/MIC | NT | NT | 8 | NT | NT | |
| 11 | MIC | 31.25 | 62.5 | NT | NT | NT |
| MBC | 62.5 | 62.5 | NT | NT | NT | |
| MBC/MIC | NT | NT | NT | NT | NT | |
| 12 | MIC | 31.25 | 7.8 | NT | NT | NT |
| MBC | 125 | 62.5 | NT | NT | NT | |
| MBC/MIC | 4 | 8 | NT | NT | NT | |
| 13 | MIC | NT | NT | NT | 250 | NT |
| MBC | NT | NT | NT | 250 | NT | |
| MBC/MIC | NT | NT | NT | 1 | NT | |
| Ciprofloxacin | MIC | 0.125 | 0.25 | 0.06 | 0.5 | NT |
| MBC | 0.125 | 0.5 | 0.125 | 0.5 | NT | |
| Angle | Molecule A | Molecule B |
|---|---|---|
| C2-N3-C9-C10 | −108.6(8) | −99.9(8) |
| N3-C9-C10-C11 | 176.7(8) | −173.8(8) |
| C9-C10-C11-C13 | −174.7(9) | 175.6(9) |
| C10-C11-C13-C14 | −9.1(9) | −7.2(9) |
Disclaimer/Publisher’s Note: The statements, opinions and data contained in all publications are solely those of the individual author(s) and contributor(s) and not of MDPI and/or the editor(s). MDPI and/or the editor(s) disclaim responsibility for any injury to people or property resulting from any ideas, methods, instructions or products referred to in the content. |
© 2026 by the authors. Licensee MDPI, Basel, Switzerland. This article is an open access article distributed under the terms and conditions of the Creative Commons Attribution (CC BY) license.
Share and Cite
Bertašiūtė, M.; Šiugždaitė, J.; Grybaitė, B.; Sapijanskaitė-Banevič, B.; Tubytė, L.; Lelešius, R.; Belyakov, S.; Marksa, M.; Ževžikovas, A.; Mickevičius, V. New 3-(6-Bromo-2-oxo-1,3-benzoxazol-3(2H)-yl)propanoic Acid Derivatives: Synthesis and Biological Activity Against Bacterial Pathogens. Appl. Sci. 2026, 16, 2096. https://doi.org/10.3390/app16042096
Bertašiūtė M, Šiugždaitė J, Grybaitė B, Sapijanskaitė-Banevič B, Tubytė L, Lelešius R, Belyakov S, Marksa M, Ževžikovas A, Mickevičius V. New 3-(6-Bromo-2-oxo-1,3-benzoxazol-3(2H)-yl)propanoic Acid Derivatives: Synthesis and Biological Activity Against Bacterial Pathogens. Applied Sciences. 2026; 16(4):2096. https://doi.org/10.3390/app16042096
Chicago/Turabian StyleBertašiūtė, Monika, Jūratė Šiugždaitė, Birutė Grybaitė, Birutė Sapijanskaitė-Banevič, Livija Tubytė, Raimundas Lelešius, Sergey Belyakov, Mindaugas Marksa, Andrejus Ževžikovas, and Vytautas Mickevičius. 2026. "New 3-(6-Bromo-2-oxo-1,3-benzoxazol-3(2H)-yl)propanoic Acid Derivatives: Synthesis and Biological Activity Against Bacterial Pathogens" Applied Sciences 16, no. 4: 2096. https://doi.org/10.3390/app16042096
APA StyleBertašiūtė, M., Šiugždaitė, J., Grybaitė, B., Sapijanskaitė-Banevič, B., Tubytė, L., Lelešius, R., Belyakov, S., Marksa, M., Ževžikovas, A., & Mickevičius, V. (2026). New 3-(6-Bromo-2-oxo-1,3-benzoxazol-3(2H)-yl)propanoic Acid Derivatives: Synthesis and Biological Activity Against Bacterial Pathogens. Applied Sciences, 16(4), 2096. https://doi.org/10.3390/app16042096

