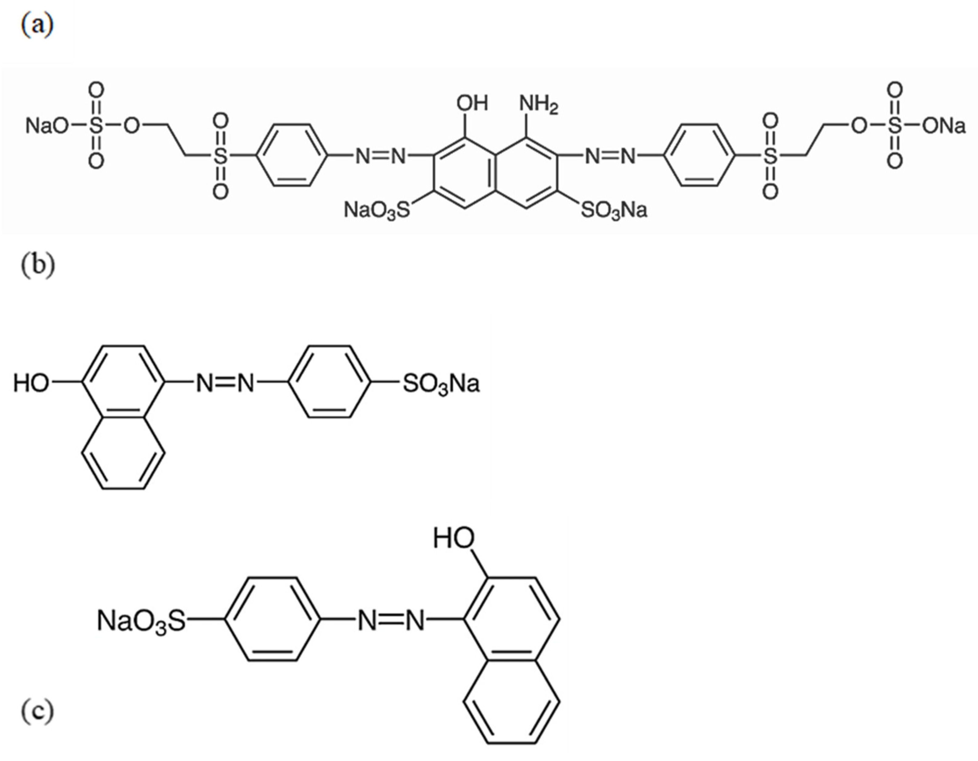
Decolourization of Azo Dyes Reactive Black 5, Acid Orange 7 and Acid Orange 20 from Synthetic Textile Effluent Using Soybean Peroxidase: Optimization and Kinetic Study
Featured Application
Abstract
1. Introduction
2. Materials and Methods
2.1. Chemicals and Reagents
2.2. Buffer Preparation
2.3. Enzyme Stock Solutions
2.4. Soybean Peroxidase Activity Assay
2.5. Dye Reactions
2.6. HPLC Analysis
3. Results and Discussion
3.1. Effect of pH
symbol, at a high enzyme activity, which can be seen to be excessive. Over a narrower pH range with HPLC analysis, even 15-fold lower SBP activity is seen to be excessive (as many data points in the pH range 3.2–3.6 show less than 10% remaining, resulting in a loss of pH resolution), but the outline of the classical bell-shaped pH dependence curve is seen, Figure 2,
symbol. Finally, at a stringent enzyme activity, Figure 2,
symbol, the pH optimum may be discerned as 3.5.3.2. Effect of SBP and H2O2
3.3. SBP Efficiency in Dye Removal
3.4. Kinetic Measurements
3.5. Products
4. Conclusions
Supplementary Materials
Author Contributions
Funding
Institutional Review Board Statement
Data Availability Statement
Conflicts of Interest
References
- Klöckl, I. Handbook of Colorants Chemistry, Volumes 1 and 2; De Gruyter: Berlin, Germany, 2023. [Google Scholar]
- Kamati, S.D.; Yan, J.; Fan, J. A review on progresses in reactive dye-containing wastewater treatment. Water Pract. Technol. 2024, 19, 2712–2733. [Google Scholar] [CrossRef]
- Saleem, M.A.; Pei, L.; Saleem, M.F.; Shahid, S.; Wang, J. Sustainable dyeing of nylon fabric with acid dyes in decamethylcyclopentasiloxane (D5) solvent for improving dye uptake and reducing raw material consumption. J. Clean. Prod. 2021, 279, 123480. [Google Scholar] [CrossRef]
- Al-Tohamy, R.; Ali, S.S.; Li, F.; Okasha, K.M.; Mahmoud, Y.A.-G.; Elsaahy, T.; Jiao, H.; Fu, Y.; Sun, J. A critical review on the treatment of dye-containing wastewater: Ecotoxicological and health concerns of textile dyes and possible remediation approaches for environmental safety. Ecotoxicol. Environ. Saf. 2022, 231, 113160. [Google Scholar] [CrossRef]
- Periasamy, A.V. A review of bioremediation of textile dye containing wastewater. Clean. Water 2025, 4, 100092. [Google Scholar] [CrossRef]
- Kusumlata; Ambade, B.; Kumar, A.; Gautam, S. Sustainable solutions: Reviewing the future of textile dye contaminant removal with emerging biological treatments. Limnol. Rev. 2024, 24, 126–149. [Google Scholar] [CrossRef]
- Tripathi, M.; Singh, S.; Pathak, S.; Kasaudhan, J.; Mishra, A.; Bala, S.; Garg, D.; Singh, R.; Singh, P.; Kumar Singh, P.; et al. Recent strategies for the remediation of textile dyes from wastewater: A systematic review. Toxics 2023, 11, 940. [Google Scholar] [CrossRef]
- Slama, H.B.; Chenari Bouket, A.; Pourhassan, Z.; Alenezi, F.N.; Silini, A.; Cherif-Silini, H.; Oszako, T.; Luptakova, L.; Golińska, P.; Belbahri, L. Diversity of synthetic dyes from textile industries, discharge impacts and treatment methods. Appl. Sci. 2021, 11, 6255. [Google Scholar] [CrossRef]
- Das, S.; Mahalingam, H. Multiphase reactors in photocatalytic treatment of dye wastewaters: Design and scale-up considerations. In Advanced Oxidation Processes in Dye-Containing Wastewater; Sharma, Y.C., Sanghi, R., Eds.; Springer: Singapore, 2022; Volume 1, pp. 219–250. [Google Scholar]
- Salehi, S.; Abdollahi, K.; Panahi, R.; Rahmanian, N.; Shakeri, M.; Mokhtarani, B. Applications of biocatalysts for sustainable oxidation of phenolic pollutants: A review. Sustainability 2021, 13, 8620. [Google Scholar] [CrossRef]
- Jun, L.Y.; Yon, L.S.; Mubarak, N.; Bing, C.H.; Pan, S.; Danquah, M.K.; Abdullah, E.C.; Khalid, M. An overview of immobilized enzyme technologies for dye and phenolic removal from wastewater. J. Environ. Chem. Eng. 2019, 7, 102961. [Google Scholar] [CrossRef]
- Abul, N.; Arslan, S.Y.; Unver, Y.; Ozdemir, H. Decolorization of azo and anthraquinone dyes using recombinant horseradish peroxidase A2A isoenzyme produced by Komagataella phaffii. Appl. Biochem. Biotechnol. 2025, 197, 4547–4564. [Google Scholar] [CrossRef]
- Barreiro, D.S.; Oliveira, R.N.; Pauleta, S.R. Bacterial peroxidases–Multivalent enzymes that enable the use of hydrogen peroxide for microaerobic and anaerobic proliferation. Coord. Chem. Rev. 2023, 485, 215114. [Google Scholar] [CrossRef]
- Freitas, C.D.; Costa, J.H.; Germano, T.A.; Rocha, R.D.O.; Ramos, M.V.; Bezerra, L.P. Class III plant peroxidases: From classification to physiological functions. Int. J. Biol. Macromol. 2024, 263, 130306. [Google Scholar] [CrossRef]
- Rahman, M.U.; Ullah, M.W.; Shah, J.A.; Sethupathy, S.; Bilal, H.; Abdikakharovich, S.A.; Khan, A.U.; Khan, K.A.; Elboughdiri, N.; Zhu, D. Harnessing the power of bacterial laccases for xenobiotic degradation in water: A 10-year overview. Sci. Total Environ. 2024, 918, 170498. [Google Scholar] [CrossRef] [PubMed]
- Sellami, K.; Couvert, A.; Nasrallah, N.; Maachi, R.; Abouseoud, M.; Amrane, A. Peroxidase enzymes as green catalysts for bioremediation and biotechnological applications: A review. Sci. Total Environ. 2022, 806, 150500. [Google Scholar] [CrossRef] [PubMed]
- Pishyar, S.; Narimannejad, S.; Taylor, K.E.; Biswas, N. Enzymatic removal of diclofenac and aceclofenac from water by soybean peroxidase. Molecules 2025, 30, 1817. [Google Scholar] [CrossRef]
- Kamal, J.A.; Behere, D.V. Kinetic stabilities of soybean and horseradish peroxidases. Biochem. Eng. J. 2008, 38, 110–114. [Google Scholar] [CrossRef]
- Gogliettino, M.; Cocca, E.; Apone, F.; Del Prete, S.; Balestrieri, M.; Mirino, S.; Arciello, S.; Palmieri, G. A new versatile peroxidase with extremophilic traits over-produced in MicroTom cell cultures. Sci. Rep. 2023, 13, 15338. [Google Scholar] [CrossRef]
- Chen, Z.; Wu, J.; Huang, W.; Li, Y.; Mao, Y.; Han, J.; Wang, Y.; Ni, L. Preparation and catalytic degradation of phenol achieved by utilizing pH and upper critical solution temperature dual responsive intelligent enzyme catalysts. J. Clean. Prod. 2023, 423, 138579. [Google Scholar] [CrossRef]
- Dunford, H.B. Heme Peroxidase Kinetics. In Heme Peroxidases; Dunford, H.B., Raven, E., Eds.; Cambridge University Press: Cambridge, UK, 2015; pp. 99–112. [Google Scholar]
- Uyama, H. Synthesis of poly(aromatic)s I: Oxidoreductase as catalyst. In Enzymatic Polymerization Towards Green Polymer Chemistry; Springer: Singapore, 2019; pp. 267–305. [Google Scholar]
- Urlacher, V. Peroxidases and Catalases: Biochemistry, Biophysics, Biotechnology and Physiology; Dunford, H.B., Ed.; Wiley: Hoboken, NJ, USA, 2010. [Google Scholar]
- Wright, H.; Nicell, J.A. Characterization of soybean peroxidase for the treatment of aqueous phenols. Bioresour. Technol. 1999, 70, 69–79. [Google Scholar] [CrossRef]
- de Montellano, P.R.O. Hydrocarbon hydroxylation by cytochrome P450 enzymes. Chem. Rev. 2010, 110, 932–948. [Google Scholar] [CrossRef]
- Feng, W.; Taylor, K.; Biswas, N.; Bewtra, J.K. Phenolic precipitates from soybean peroxidase–catalyzed wastewater treatment: Concentrated waste serves to concentrate its progenitor. J. Hazard. Toxic Radioact. Waste 2016, 20, 04015023. [Google Scholar] [CrossRef]
- Arnao, M.; Acosta, M.; del Río, J.; Varón, R.; García-Cánovas, F. A kinetic study on the suicide inactivation of peroxidase by hydrogen peroxide. Biochim. Biophys. Acta Protein Struct. Mol. Enzymol. 1990, 1041, 43–47. [Google Scholar] [CrossRef]
- Gomori, G. Preparation of buffers for use in enzyme studies. In Methods in Enzymology; Colowick, S.P., Kaplan, N.O., Eds.; Academic Press: New York, NY, USA, 1955; Volume 1, pp. 138–146. [Google Scholar]
- Baumer, J.; Valério, A.; Souza, S.; Guelli, S.; Erzinger, G.; Furigo, A., Jr. Remazol black dye (reactive black 5) decolorization by horseradish peroxidase enzyme. J. Text. Sci. Fash. Technol. 2018, 4, 147–149. [Google Scholar]
- Yousefi, V.; Kariminia, H.-R. Statistical analysis for enzymatic decolorization of acid orange 7 by Coprinus cinereus peroxidase. Int. Biodeterior. Biodegrad. 2010, 64, 245–252. [Google Scholar] [CrossRef]
- Saroyan, H.; Ntagiou, D.; Rekos, K.; Deliyanni, E. Reactive black 5 degradation on manganese oxides supported on sodium hydroxide modified graphene oxide. Appl. Sci. 2019, 9, 2167. [Google Scholar] [CrossRef]
- Murugesan, S.; Sasibabu, V.; Jegadeesan, G.B.; Venkatachalam, P. Photocatalytic degradation of Reactive Black dye using ZnO–CeO2 nanocomposites. Environ. Sci. Pollut. Res. 2023, 30, 42713–42727. [Google Scholar] [CrossRef]
- Hsueh, C.-C.; Chen, B.-Y.; Yen, C.-Y. Understanding effects of chemical structure on azo dye decolorization characteristics by Aeromonas hydrophila. J. Hazard. Mater. 2009, 167, 995–1001. [Google Scholar] [CrossRef]
- Zimmermann, T.; Kulla, H.G.; Leisinger, T. Properties of purified Orange II azoreductase, the enzyme initiating azo dye degradation by Pseudomonas KF46. Eur. J. Biochem. 1982, 129, 197–203. [Google Scholar] [CrossRef]
- Gholami-Borujeni, F.; Mahvi, A.H.; Nasseri, S.; Faramarzi, M.A.; Nabizadeh, R.; Alimohammadi, M. Enzymatic treatment and detoxification of acid orange 7 from textile wastewater. Appl. Biochem. Biotechnol. 2011, 165, 1274–1284. [Google Scholar] [CrossRef]
- Zhang, A.; Fang, L.; Wang, J.; Liu, W. Enzymatic decolorization of Orange II: Optimization by response surface methodology and pathway. Environ. Prog. Sustain. Energy 2013, 32, 294–301. [Google Scholar] [CrossRef]
- Morales Urrea, D.A.; Haure, P.M.; García Einschlag, F.S.; Contreras, E.M. Horseradish peroxidase-mediated decolourization of Orange II: Modelling hydrogen peroxide utilization efficiency at different pH values. Environ. Sci. Pollut. Res. 2018, 25, 19989–20002. [Google Scholar] [CrossRef]
- Morales Urrea, D.A.; Haure, P.M.; Contreras, E.M. Orange II removal by a horseradish peroxidase immobilized onto chemically modified diatomites is a combination of adsorption and oxidation processes. J. Appl. Res. Technol. 2022, 20, 203–220. [Google Scholar] [CrossRef]
- López, C.; Valade, A.-G.; Combourieu, B.; Mielgo, I.; Bouchon, B.; Lema, J.M. Mechanism of enzymatic degradation of the azo dye Orange II determined by ex situ 1H nuclear magnetic resonance and electrospray ionization-ion trap mass spectrometry. Anal. Biochem. 2004, 335, 135–149. [Google Scholar] [CrossRef] [PubMed]
- Asgher, M.; Kausar, S.; Bhatti, H.N.; Shah, S.A.H.; Ali, M. Optimization of medium for decolorization of Solar golden yellow R direct textile dye by Schizophyllum commune IBL-06. Int. Biodeterior. Biodegrad. 2008, 61, 189–193. [Google Scholar] [CrossRef]
- Zhu, Y.; Liu, Y.; Guo, X.; Wu, Q.; Xu, X. Decolorization of Color Index Acid Orange 20 buffer solution using horseradish peroxidase immobilized on modified PAN-beads. RSC Adv. 2017, 7, 18976–18986. [Google Scholar] [CrossRef]
- Haghighatnama, M.; Narimannejad, S.; Biswas, N.; Taylor, K.E. Biocatalytic treatment of cresols in aqueous solution with soybean peroxidase. RSC Adv. 2026, 16, 5079–5087. [Google Scholar] [CrossRef]
- Altahir, B.M.; Feng, W.; Jasim, H.H.; Taylor, K.E.; Biswas, N.; Bewtra, J.K.; Jassim, S.A.A. Soybean peroxidase-catalysed removal of benzidines from water. J. Environ. Eng. Sci. 2016, 10, 73–80. [Google Scholar] [CrossRef]
- Mukherjee, D.; Bhattacharya, S.; Taylor, K.E.; Biswas, N. Enzymatic treatment for removal of hazardous aqueous arylamines, 4,4′-methylenedianiline and 4,4′-thiodianiline. Chemosphere 2019, 235, 365–372. [Google Scholar] [CrossRef] [PubMed]
- Sharifzadeh, M.; Narimannejad, S.; Taylor, K.E.; Biswas, N. Enzymatic removal of the sulfa drugs sulfamethoxazole and sulfamerazine from synthetic wastewater by soybean peroxidase. Environ. Sci. Pollut. Res. 2024, 31, 64760–64771. [Google Scholar] [CrossRef]
- Yarkwan, B. Soybean Peroxidase Catalyzed Oligomerization of Acetaminophen and Selected Parabens for Wastewater Treatment. Ph.D. Thesis, University of Windsor, Windsor, ON, Canada, 2021. [Google Scholar]
- Cordova Villegas, L.G.; Mazloum, S.; Taylor, K.E.; Biswas, N. Soybean peroxidase-catalyzed treatment of azo dyes with or without FeO pretreatment. Water Environ. Res. 2018, 90, 675–684. [Google Scholar] [CrossRef]








| Dye | Aqueous Phase A | Organic Phase B | Mobile Phase Composition (%) | Wavelength (λmax) | |
|---|---|---|---|---|---|
| A | B | ||||
| RB5 | Ammonium Formate (5 mM) | Methanol | 70 | 30 | 596 nm |
| AO7 | Ammonium Formate (5 mM) | Methanol | 40 | 60 | 485 nm |
| AO20 | Ammonium Formate (5 mM) | Methanol | 40 | 60 | 485 nm |
| Dye | pH | SBP Activity (U/mL) | H2O2 (mM) | Normalized SBP * (U/mL/mM) | Removal % |
|---|---|---|---|---|---|
| RB5 | 3.5 | 0.075 | 0.0375 | 1.5 | 98.6 |
| AO7 | 3.0 | 0.5 | 0.0375 | 10 | 99.5 |
| AO20 | 3.0 | 0.0025 | 0.0625 | 0.05 | 97.4 |
| Substrate | Rate Constant (min−1) | Half-Life (min) | Normalized Rate Constant * (min−1) | Normalized Half-Life (min) |
|---|---|---|---|---|
| RB5 | ≥8.5 | ≤0.081 | ≥0.64 | ≤0.0061 |
| AO7 | ≥10.7 | ≤0.065 | ≥5.3 | ≤0.033 |
| AO20 | ≥7.3 | ≤0.095 | ≥0.018 | ≤0.00024 |
Disclaimer/Publisher’s Note: The statements, opinions and data contained in all publications are solely those of the individual author(s) and contributor(s) and not of MDPI and/or the editor(s). MDPI and/or the editor(s) disclaim responsibility for any injury to people or property resulting from any ideas, methods, instructions or products referred to in the content. |
© 2026 by the authors. Licensee MDPI, Basel, Switzerland. This article is an open access article distributed under the terms and conditions of the Creative Commons Attribution (CC BY) license.
Share and Cite
Oyelere, T.; Narimannejad, S.; Biswas, N.; Taylor, K.E. Decolourization of Azo Dyes Reactive Black 5, Acid Orange 7 and Acid Orange 20 from Synthetic Textile Effluent Using Soybean Peroxidase: Optimization and Kinetic Study. Appl. Sci. 2026, 16, 1932. https://doi.org/10.3390/app16041932
Oyelere T, Narimannejad S, Biswas N, Taylor KE. Decolourization of Azo Dyes Reactive Black 5, Acid Orange 7 and Acid Orange 20 from Synthetic Textile Effluent Using Soybean Peroxidase: Optimization and Kinetic Study. Applied Sciences. 2026; 16(4):1932. https://doi.org/10.3390/app16041932
Chicago/Turabian StyleOyelere, Temidayo, Samira Narimannejad, Nihar Biswas, and Keith E. Taylor. 2026. "Decolourization of Azo Dyes Reactive Black 5, Acid Orange 7 and Acid Orange 20 from Synthetic Textile Effluent Using Soybean Peroxidase: Optimization and Kinetic Study" Applied Sciences 16, no. 4: 1932. https://doi.org/10.3390/app16041932
APA StyleOyelere, T., Narimannejad, S., Biswas, N., & Taylor, K. E. (2026). Decolourization of Azo Dyes Reactive Black 5, Acid Orange 7 and Acid Orange 20 from Synthetic Textile Effluent Using Soybean Peroxidase: Optimization and Kinetic Study. Applied Sciences, 16(4), 1932. https://doi.org/10.3390/app16041932

