Design and Vibration Suppression Performance of a Coupled Isolation System for Marine Rotary Pump Units
Abstract
1. Introduction
2. Materials and Methods
2.1. Modeling of the Coupled Isolation System
2.1.1. Physical Model of the Coupled Isolation System for the Rotary Pump Unit
2.1.2. Model of Elastic Elements
2.2. Dynamic Characteristics Experiment of Elastic Elements
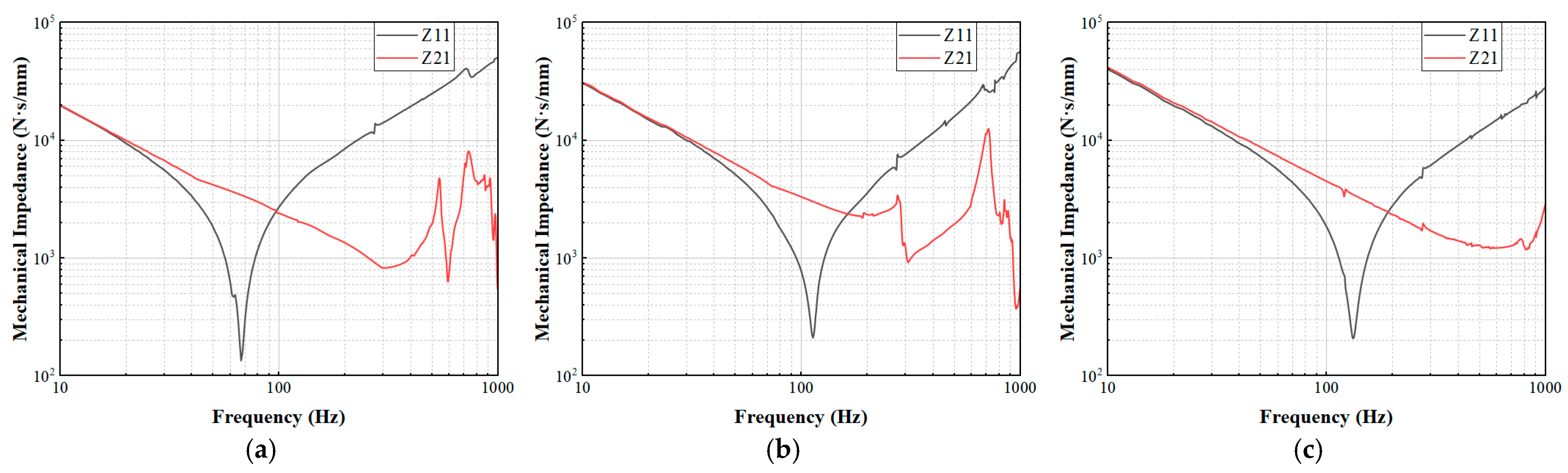
2.2.1. Dynamic Performance Experiment of Vibration Isolators
- Unidirectionality: The vibration level in the excitation direction at the input side must greater than that in any orthogonal direction by at least 15 dB;
- Blocking: The vibration level in the excitation direction at the input side must greater than the corresponding level at the output side by at least 20 dB;
2.2.2. Performance Experiment of Flexible Connectors
2.3. Numerical Model of the Coupled Isolation System
2.4. Vibration Experiment of the Coupled Isolation System
2.5. Data Processing and Analysis
3. Results and Discussion
3.1. Numerical and Experimental Validation of the Coupled Isolation System
3.2. Isolation Effectiveness Under Different Operating Conditions
- The system achieves a maximum overall vibration acceleration level reduction of 29.32 dB and a minimum of 6.4 dB across all operating conditions. In the vertical direction under all conditions, the isolation effectiveness of the M-1200 isolator is significantly superior to that of the M-1500 type; in the transverse direction, the M-1500 type performs better; in the longitudinal direction, the difference is minimal. Unlike the transverse and longitudinal excitations generated by the rotary pump, the vibration of the bend pipe is primarily dominated by the internal fluid flow. Consequently, the M-1200 isolator provides better isolation in the vertical direction than in the other two directions, while the M-1500 isolator performs better in the transverse direction.
- Although the stiffness of the flexible connectors is much greater than that of the isolators, they still contribute to vibration isolation within the coupled isolation system and provide displacement compensation for the rotary pump unit system. The axial isolation effectiveness of the inlet flexible connector is superior to its radial effectiveness, whereas the outlet flexible connector shows better radial isolation effectiveness. This is mainly because the inlet flexible connector is directly connected to the vibration source (the rotary pump), where the primary excitation originates from the motor torque, favoring axial isolation. The outlet flexible connector is connected via a bend pipe acting as a transition, where the primary excitation stems from the fluid within the bend, resulting in relatively better radial isolation compared to axial.
- As the pump rotational speed (i.e., motor output torque) increases, the vibration response of the pump unit intensifies. Under these conditions, the isolation capability of the M-1200 isolator slightly decreases, while that of the M-1500 isolator improves, particularly more noticeably in the transverse direction. On the other hand, an increase in the working water pressure of the pump leads to a slight decrease in the isolation effectiveness of all isolators.
- As the rotational speed increases, the axial isolation performance of the inlet flexible connector shows a weakening trend (though still superior to its radial isolation), while both the axial and radial isolation effects of the outlet flexible connector exhibit an enhancing trend.
- Within the rotary pump unit system, both the M-1500 isolator and the inlet flexible connector, which are directly connected to the rotary pump, demonstrate good isolation effectiveness in the transverse direction. This indicates that the coupled isolation system can effectively attenuate transverse vibrations transmitted from the rotary pump to the external piping. Vibrations transmitted to the hull in the longitudinal and vertical directions are attenuated collectively by both the M-1200 and M-1500 isolators.
4. Conclusions
- The explicit dynamic finite element model, established using true dynamic parameters of elastic components obtained through mechanical impedance testing and MTS testing machines, effectively predicts the system’s vibration response across a broad frequency range of 10–1000 Hz. The overall vibration acceleration level error between numerical calculations and full-scale test results falls within ±3 dB, validating the model’s reliable engineering prediction accuracy.
- Experimental results demonstrate that under various operating conditions involving changes in rotational speed and water pressure of the pump set, the coupled isolation system consistently exhibits excellent broadband vibration isolation performance. The system achieves a maximum vibration acceleration level reduction of 29.32 dB, effectively suppressing the transmission of pump set vibrations to the foundation and piping.
- The introduction of flexible connector connections not only compensates for pipeline displacement but also synergistically complements the dynamic performance of polyurethane vibration isolators. Both full-scale testing and numerical simulations confirm that flexible connector connections effectively suppress lateral vibration transmission from pump units to external pipelines. Working in tandem with the isolators, they achieve multidirectional vibration isolation, thereby enhancing the overall system performance.
- This study proposes a comprehensive, verifiable analytical framework for predicting system performance based on measured parameters of elastic components. Balancing model reliability with engineering practicality, this framework directly provides performance prediction and optimization guidance for vibration reduction design in marine pump units and other power equipment, while establishing a reliable foundation for subsequent in-depth analysis. Future work may explore parameter sensitivity analysis, energy flow analysis, and vibration transmission path analysis to broaden the application scope of this research and validate its universality.
Author Contributions
Funding
Institutional Review Board Statement
Informed Consent Statement
Data Availability Statement
Conflicts of Interest
References
- Lin, T.R.; Pan, J.; O’Shea, P.J.; Mechefske, C.K. A study of vibration and vibration control of ship structures. Mar. Struct. 2009, 22, 730–743. [Google Scholar] [CrossRef]
- Vizentin, G.; Vukelic, G.; Murawski, L.; Recho, N.; Orovic, J. Marine propulsion system failures—A review. J. Mar. Sci. Eng. 2020, 8, 662. [Google Scholar] [CrossRef]
- Matta, L.M.; Szasz, G. Vibration and Fatigue Failures at Pipeline Facilities. In Proceedings of the International Pipeline Conference, Calgary, AB, Canada, 24–28 September 2018. [Google Scholar]
- Jensen, A.; Jepsen, J.R. Vibration on board and health effects. Int. Marit. Health 2014, 65, 58–60. [Google Scholar] [CrossRef] [PubMed][Green Version]
- Picu, L.; Picu, M.; Rusu, E. An investigation into the health risks associated with the noise and vibrations on board of a boat—A case study on the Danube River. J. Mar. Sci. Eng. 2019, 7, 258. [Google Scholar] [CrossRef]
- de Alwis, M.P.; Garme, K. Effect of occupational exposure to shock and vibration on health in high-performance marine craft occupants. Proc. Inst. Mech. Eng. Part M J. Eng. Marit. Environ. 2021, 235, 394–409. [Google Scholar] [CrossRef]
- Erbe, C.; Marley, S.A.; Schoeman, R.P.; Smith, J.N.; Trigg, L.E.; Embling, C.B. The Effects of Ship Noise on Marine Mammals—A Review. Front. Mar. Sci. 2019, 6, 606. [Google Scholar] [CrossRef]
- Park, M.-H.; Yeo, S.; Choi, J.-H.; Lee, W.-J. Review of noise and vibration reduction technologies in marine machinery: Operational insights and engineering experience. Appl. Ocean Res. 2024, 152, 104195. [Google Scholar] [CrossRef]
- Bart, A.; Clark, J.; Young, J.; Zohar, Y. Underwater ambient noise measurements in aquaculture systems: A survey. Aquac. Eng. 2001, 25, 99–110. [Google Scholar] [CrossRef]
- Moon, S.-J.; Kwak, J.-S.; Chung, J.-H.; Ji, Y.-J.; Yoon, J.-S.; Choi, S.-B.; Lee, H.-Y.; Jung, W.-J.; Ki, D.-J. A study on the hybrid mount against vibration and shock for naval ships. Shock Vib. 2010, 17, 269–283. [Google Scholar] [CrossRef]
- Sunde, E.; Irgens-Hansen, K.; Moen, B.E.; Gjestland, T.; Koefoed, V.F.; Oftedal, G.; Bråtveit, M. Noise and exposure of personnel aboard vessels in the Royal Norwegian Navy. Ann. Occup. Hyg. 2015, 59, 182–199. [Google Scholar]
- Han, H.S.; Lee, K.H.; Park, S.H. Naval-vessel on board equipment base to minimize structure-borne noise. J. Mech. Sci. Technol. 2016, 30, 5371–5379. [Google Scholar] [CrossRef]
- Yang, T.; Wu, L.; Li, X.; Zhu, M.; Brennan, M.J.; Liu, Z. Active vibration isolation of a diesel generator in a small marine vessel: An experimental study. Appl. Sci. 2020, 10, 3025. [Google Scholar] [CrossRef]
- Qiu, Y.; Xu, W.; Hu, Z.; Fu, J.; He, M. Review of lightweight vibration isolation technologies for marine power devices. Shock Vib. 2024, 2024, 1076935. [Google Scholar] [CrossRef]
- Park, Y.-I.; Kang, M.-S.; Kim, M.-H.; Choi, J.; Kim, J.-H. Experimental and numerical study on the shock characteristics of an electric switchboard with wire rope isolators in naval ships. Proc. Inst. Mech. Eng. Part M J. Eng. Marit. Environ. 2024, 238, 876–884. [Google Scholar] [CrossRef]
- Hu, J.; Lin, L.; Xia, Z. Research on Vibration Isolation Performance of Active Vibration Isolation System Base Structure for Marine Power Equipment. In Advanced and Emerging Marine Engineering Technologies; Wan, D., Ning, D., Tian, H., Eds.; Springer Nature: Singapore, 2026; pp. 551–558. [Google Scholar]
- Jiang, Y.; Duan, R.; Liu, P. Fuzzy Control of Floating Raft Active Vibration Isolation System under Narrowband Interference. Int. J. Acoust. Vib. 2020, 25, 556–565. [Google Scholar] [CrossRef]
- Lee, H.-Y.; Shin, S.-Y.; Chung, J.-H.; Kwak, J.-S.; Lew, J.-M. An Experimental Study on the Vibration of Rubber Mounts for Naval Shipboard Equipments. J. Soc. Nav. Archit. Korea 2009, 46, 165–170. [Google Scholar] [CrossRef]
- Feng, X.; Yan, L.; Chun, W. Review on vibration isolation technology. J. Phys. Conf. Ser. 2021, 1820, 012009. [Google Scholar] [CrossRef]
- Fang, Y.Y.; Zhang, G.H.; Li, Y.F.; Qi, P.Z. Design of vibration isolation device for ship power equipment and investigation on its dynamic properties. Appl. Mech. Mater. 2014, 496, 1129–1133. [Google Scholar] [CrossRef]
- Liu, Y.; Liu, J.; Pan, G.; Huang, Q.; Guo, L. Vibration analysis and isolator component design of the power system in an autonomous underwater glider. Int. J. Acoust. Vib. 2022, 27, 112–121. [Google Scholar] [CrossRef]
- Jazar, G.N.; Narimani, A.; Golnaraghi, M.; Swanson, D. Practical frequency and time optimal design of passive linear vibration isolation mounts. Veh. Syst. Dyn. 2003, 39, 437–466. [Google Scholar] [CrossRef]
- Li, W.; Lavrich, P. Prediction of power flows through machine vibration isolators. J. Sound Vib. 1999, 224, 757–774. [Google Scholar] [CrossRef]
- Dylejko, P.G.; MacGillivray, I.R.; Moore, S.M.; Skvortsov, A.T. The influence of internal resonances from machinery mounts on radiated noise from ships. IEEE J. Ocean. Eng. 2016, 42, 399–409. [Google Scholar] [CrossRef]
- Lei, X.; Wu, C.; Wu, H. A novel composite vibration control method using double-decked floating raft isolation system and particle damper. J. Vib. Control 2018, 24, 4407–4418. [Google Scholar] [CrossRef]
- Cheng, Z.; Cui, J.; Zhao, Y.; Jin, M.; Cui, J. Analysis of double-layer vibration isolation characteristics of ship power equipment. Vibroeng. Procedia 2022, 41, 22–27. [Google Scholar] [CrossRef]
- Ren, L.; Li, Y.; Huang, X.; Hua, H. Dynamic modeling and characteristic analysis of floating raft system with attached pipes. Shock Vib. 2017, 2017, 9135715. [Google Scholar] [CrossRef]
- Sun, H.; Zhang, K.; Zhang, P.; Chen, H. Application of dynamic vibration absorbers in floating raft system. Appl. Acoust. 2010, 71, 250–257. [Google Scholar] [CrossRef]
- Shatskyi, I.; Velychkovych, A. Analytical Model of Structural Damping in Friction Module of Shell Shock Absorber Connected to Spring. Shock Vib. 2023, 2023, 4140583. [Google Scholar] [CrossRef]
- Dutkiewicz, M.; Velychkovych, A.; Shatskyi, I.; Shopa, V. Efficient Model of the Interaction of Elastomeric Filler with an Open Shell and a Chrome-Plated Shaft in a Dry Friction Damper. Materials 2022, 15, 4671. [Google Scholar] [CrossRef]
- Velychkovych, A.; Mykhailiuk, V.; Andrusyak, A. Numerical Model for Studying the Properties of a New Friction Damper Developed Based on the Shell with a Helical Cut. Appl. Mech. 2025, 6, 1. [Google Scholar] [CrossRef]
- Velychkovych, A.; Mykhailiuk, V.; Andrusyak, A. Evaluation of the Adaptive Behavior of a Shell-Type Elastic Element of a Drilling Shock Absorber with Increasing External Load Amplitude. Vibration 2025, 8, 60. [Google Scholar] [CrossRef]
- Zhu, H.; Wu, J. A study on the vibration analysis of thick-walled, fluid-conveying pipelines with internal hydrostatic pressure. J. Mar. Sci. Eng. 2023, 11, 2338. [Google Scholar] [CrossRef]
- Sunarsih, S.; Nugroho, T.F.; Navyazka, M.Y. Noise reduction in ship engine room by optimisation of muffler design. Int. J. Mar. Eng. Innov. Res. 2020, 5, 224–233. [Google Scholar] [CrossRef]
- Liu, H.; Lin, J.; Hua, R.; Dong, L. Structural Optimization of a Muffler for a Marine Pumping System Based on Numerical Calculation. J. Mar. Sci. Eng. 2022, 10, 937. [Google Scholar] [CrossRef]
- Liu, G.; Li, Y. Vibration analysis of liquid-filled pipelines with elastic constraints. J. Sound Vib. 2011, 330, 3166–3181. [Google Scholar] [CrossRef]
- Fan, J.; Chang, X.; Chen, B.; Yang, Y.; Luo, Q.; Li, Y. Stability optimization of spinning FGM pipes conveying fluid via intermediate elastic supports. Ocean Eng. 2024, 292, 116368. [Google Scholar] [CrossRef]
- Chen, J.; Jin, R.; Gao, W.; Liu, C.; Zeng, Y.; Wang, J. Development of an inertia-driven resonant piezoelectric stack pump based on the flexible support structure. Smart Mater. Struct. 2024, 33, 075017. [Google Scholar] [CrossRef]
- Dai, Y.; Pang, L.; Chen, L.; Zhu, X.; Zhang, T. A New Multi-Body Dynamic Model of a Deep Ocean Mining Vehicle-Pipeline-Ship System and Simulation of Its Integrated Motion. J. Mech. Eng./Stroj. Vestn. 2016, 62, 757. [Google Scholar] [CrossRef]
- Malakhov, O.; Kiris, O.; Bondarenko, A.; Kozyryev, I.; Palagin, O.; Naydyonov, A. Evaluation of operational parameters for vessel’s flexible subsea pipelines. Eng. Rep. 2024, 6, e12991. [Google Scholar] [CrossRef]
- Chai, K.; Lou, J.; Zhu, S.; Feng, S. Research on Low-Noise Design of Typical Ship Pipeline Systems. Noise Vib. Control 2021, 41, 156–162. [Google Scholar]
- Yang, Y.; Pan, G.; Yin, S.; Yuan, Y. Experiment investigate on the effectiveness of flexible pipes to isolate sea-water pump generated vibration. Coatings 2020, 10, 43. [Google Scholar] [CrossRef]
- Zheng, Z.; Wang, S.; Song, X.; Wang, X. Vibration isolation performance of a constrained damping base for a high-pressure plunger pump. J. Mar. Sci. Eng. 2024, 12, 738. [Google Scholar] [CrossRef]
- Dal Bo, L.; Gardonio, P.; Battistella, N.; Turco, E. Non-linear isolator for vibration and force transmission control of unbalanced rotating machines. J. Vib. Eng. Technol. 2023, 11, 1741–1764. [Google Scholar] [CrossRef]
- Wang, H.; Cao, S.; Luo, X.; He, X.; Zhang, Z.; Zhu, Y. Study on the influence of rubber isolator’s dynamic stiffness on the dynamic behavior of seawater hydraulic piston pump. Ocean Eng. 2019, 182, 14–20. [Google Scholar] [CrossRef]
- Horesco, J.; Tyson, T.; Worrich, C. Acoustic Results of Application of Large Diameter Flexible Piping Connections on High Pressure Centrifugal Pumps. In Proceedings of the NOISE-CON 2020, New Orleans, LA, USA, 8–10 June 2020. [Google Scholar]
- Liu, Y.; Meng, H.B.; Lv, W.J. Experimental Research on Vibration Transmission and Isolation for Ship’s Seawater Piping System. Appl. Mech. Mater. 2012, 192, 68–72. [Google Scholar] [CrossRef]
- Rui, J.; Wang, L.; Lu, P. Summary of Research on Supporting Facilities and Structure Vibration and Noise Reduction of High-Rise Buildings. IOP Conf. Ser. Earth Environ. Sci. 2021, 791, 012023. [Google Scholar]
- Balaji, P.S.; Rahman, M.E.; Moussa, L.; Lau, H.H. Wire rope isolators for vibration isolation of equipment and structures—A review. IOP Conf. Ser. Mater. Sci. Eng. 2015, 78, 012001. [Google Scholar] [CrossRef]
- Yang, Y.; Pan, G.; Yin, S.; Yuan, Y.; Huang, Q. Verification of vibration isolation effectiveness of the underwater vehicle power plant. J. Mar. Sci. Eng. 2021, 9, 382. [Google Scholar] [CrossRef]
- Ma, Z.; Zhou, R.; Yang, Q. Recent advances in quasi-zero stiffness vibration isolation systems: An overview and future possibilities. Machines 2022, 10, 813. [Google Scholar] [CrossRef]
- Eskandary-Malayery, F.; Ilanko, S.; Mace, B.; Mochida, Y.; Pellicano, F. Experimental and numerical investigation of a vertical vibration isolator for seismic applications. Nonlinear Dyn. 2022, 109, 303–322. [Google Scholar] [CrossRef]
- Zhang, J.; Ma, Z.; Wang, X.; Zhang, L.; Wu, Q.; Li, M. Vibration control on coupled unit-plant structure of pumped storage power station during sudden load-up process. Mech. Syst. Signal Process. 2024, 212, 111333. [Google Scholar] [CrossRef]
- Liu, J.; Zhou, Q.; Wu, L.; Cai, L.-Q.; Yang, T.; Wang, Y.; Lu, T. The Design and Analysis of Active–Passive Hybrid Vibration Isolation Mounts Applied in Pump. Sci. Technol. Nucl. Install. 2025, 2025, 9959911. [Google Scholar] [CrossRef]



















| Test Direction | Control Mode | Loading Rate/(mm·s−1) | Displacement Peak-to-Peak/mm | Step Size/mm | Number of Cycles | Sampling Rate/Hz |
|---|---|---|---|---|---|---|
| Axial | Displacement | 0.1 | 2–12 | 2 | 3 | 4 |
| Radial | Displacement | 0.1 | 2–12 | 2 | 3 | 4 |
| Test Direction | Control Mode | Excitation Frequency/Hz | Step Size/Hz | Excitation Amplitude/mm | Number of Cycles | Sampling Rate/Hz |
|---|---|---|---|---|---|---|
| Axial | Sinusoidal displacement waveform | 1–8 | 1 | 0.4, 0.8, 1.2, 1.6 2.0, 2.4, 2.8, 3.2 | 3 | 1024 points were recorded every 3 cycles |
| Radial | Sinusoidal displacement waveform | 1–8 | 1 | 0.4, 0.8, 1.2, 1.6 2.0, 2.4, 2.8, 3.2 | 3 | 1024 points were recorded every 3 cycles |
| Elastic Elements | Isolator Location | Overall Vibration Acceleration (dB) | |||
|---|---|---|---|---|---|
| Numerical Computation | Experiment | Prediction Error | |||
| M-1200 | X | Machine feet | 141.81 | 140.77 | −1.04 |
| Foundation | 122.29 | 121.61 | −0.68 | ||
| Y | Machine feet | 143.02 | 142.28 | −0.74 | |
| Foundation | 116.10 | 114.78 | −1.32 | ||
| Z | Machine feet | 141.19 | 140.18 | −1.01 | |
| Foundation | 117.35 | 116.26 | −1.09 | ||
| M-1500 | X | Machine feet | 134.31 | 134.67 | 0.36 |
| Foundation | 108.40 | 108.74 | 0.34 | ||
| Y | Machine feet | 132.67 | 132.44 | −0.23 | |
| Foundation | 108.91 | 107.58 | −1.33 | ||
| Z | Machine feet | 138.24 | 136.67 | −1.57 | |
| Foundation | 113.21 | 113.12 | −0.09 | ||
| Elastic Elements | Isolator Location | Overall Vibration Acceleration (dB) | |||
|---|---|---|---|---|---|
| Operating Condition 1 | Operating Condition 2 | Operating Condition 3 | |||
| M-1200 | X | Machine feet | 147.11 | 139.70 | 146.05 |
| Foundation | 126.97 | 119.89 | 126.52 | ||
| Y | Machine feet | 148.22 | 140.77 | 147.17 | |
| Foundation | 120.25 | 113.16 | 119.57 | ||
| Z | Machine feet | 145.79 | 138.16 | 144.63 | |
| Foundation | 121.09 | 113.87 | 120.39 | ||
| M-1500 | X | Machine feet | 143.81 | 131.58 | 140.07 |
| Foundation | 114.49 | 107.46 | 112.76 | ||
| Y | Machine feet | 139.94 | 130.28 | 137.58 | |
| Foundation | 115.01 | 105.86 | 112.76 | ||
| Z | Machine feet | 145.01 | 135.49 | 142.55 | |
| Foundation | 120.70 | 111.76 | 118.44 | ||
| Inlet flexible connector | Radial | Machine feet | 151.09 | 139.81 | 150.53 |
| Foundation | 136.42 | 125.99 | 135.46 | ||
| Axial | Machine feet | 151.81 | 143.93 | 150.06 | |
| Foundation | 135.20 | 125.45 | 132.46 | ||
| Outlet flexible connector | Radial | Machine feet | 141.53 | 132.09 | 139.73 |
| Foundation | 130.81 | 123.20 | 130.02 | ||
| Axial | Machine feet | 145.41 | 137.02 | 144.11 | |
| Foundation | 139.01 | 131.80 | 137.02 | ||
Disclaimer/Publisher’s Note: The statements, opinions and data contained in all publications are solely those of the individual author(s) and contributor(s) and not of MDPI and/or the editor(s). MDPI and/or the editor(s) disclaim responsibility for any injury to people or property resulting from any ideas, methods, instructions or products referred to in the content. |
© 2026 by the authors. Licensee MDPI, Basel, Switzerland. This article is an open access article distributed under the terms and conditions of the Creative Commons Attribution (CC BY) license.
Share and Cite
Chen, F.; Zhao, Y.; Zhang, Z. Design and Vibration Suppression Performance of a Coupled Isolation System for Marine Rotary Pump Units. Appl. Sci. 2026, 16, 1809. https://doi.org/10.3390/app16041809
Chen F, Zhao Y, Zhang Z. Design and Vibration Suppression Performance of a Coupled Isolation System for Marine Rotary Pump Units. Applied Sciences. 2026; 16(4):1809. https://doi.org/10.3390/app16041809
Chicago/Turabian StyleChen, Feng, Yinglong Zhao, and Zhen Zhang. 2026. "Design and Vibration Suppression Performance of a Coupled Isolation System for Marine Rotary Pump Units" Applied Sciences 16, no. 4: 1809. https://doi.org/10.3390/app16041809
APA StyleChen, F., Zhao, Y., & Zhang, Z. (2026). Design and Vibration Suppression Performance of a Coupled Isolation System for Marine Rotary Pump Units. Applied Sciences, 16(4), 1809. https://doi.org/10.3390/app16041809

