Next Article in Journal
Design and Vibration Suppression Performance of a Coupled Isolation System for Marine Rotary Pump Units
Previous Article in Journal
Reliability and Sensitivity Analysis of Liquid Storage Tank Using Active Learning Kriging
 
 
Font Type:
Arial Georgia Verdana
Font Size:
Aa Aa Aa
Line Spacing:
Column Width:
Background:
Article

Research on Acoustic-Black-Hole-Type Baffles for Suspended Water Tanks of High-Speed Trains: Considering Vibration and Wave Suppression Characteristics

1
School of Transportation Engineering, Dalian Jiaotong University, Dalian 116028, China
2
College of Zhan Tianyou, Dalian Jiaotong University, Dalian 116028, China
*
Author to whom correspondence should be addressed.
Appl. Sci. 2026, 16(4), 1807; https://doi.org/10.3390/app16041807
Submission received: 14 January 2026 / Revised: 4 February 2026 / Accepted: 9 February 2026 / Published: 11 February 2026

Abstract

To mitigate structural vibrations caused by liquid sloshing inside the suspended water tank of high-speed trains and to prevent issues such as baffle fatigue failure and water leakage from tank cracking, this study designed an acoustic black hole (ABH)-type baffle that comprehensively considers both vibration and wave suppression performance. Based on acoustic black hole (ABH) theory, numerical simulations were conducted using the CFD software Fluent to analyze the vibration and wave suppression characteristics of the ABH-type baffle under lateral and longitudinal impact conditions. The influence of the position and number of ABH structures on the baffle’s performance was systematically examined. Finally, the structural strength and the vibration/wave suppression capability of the baffle were validated. The results demonstrate that the structural strength of the ABH-type baffle meets the design requirements. Compared to a conventional baffle, the ABH-type baffle reduces the liquid sloshing force inside the tank, lowers the peak sloshing pressure under various operating conditions, and decreases the surface vibration velocity of the baffle within its dominant vibration frequency range of 0–100 Hz. The optimal positions of the ABH are located at the 80% and 20% water level lines of the baffle. The ABH-type baffle achieves the best suppression performance when the center of the ABH is horizontally aligned with the liquid surface. In addition, the vibration and wave suppression capability of the ABH-type baffle decreases when the number of ABHs is more or less than three.

1. Introduction

High-speed trains represent a vital force for achieving regional sustainable development [1,2]. The water supply system of high-speed trains is responsible for functions such as restroom water supply, drinking water provision, and carriage air conditioning cooling. Its normal operation relies on suspended water tank equipment providing a stable and continuous water source. However, frequent acceleration and braking during high-speed train operation induce nonlinear liquid sloshing, which can impose repeated dynamic impacts on the water tank, generating sustained structural vibration [3,4]. This exacerbates the cumulative fatigue damage at the connection points between the built-in baffle and the external car body with the water tank, potentially leading to issues such as fatigue failure of the baffle, tank cracking, and water leakage [5,6,7], which may compromise the safe operation of high-speed trains.
Installing internal baffles is an important method for suppressing liquid sloshing within the tank and mitigating tank structural vibration. Recent related research has found that the intensity of liquid sloshing in water tanks is related to the number, type, and structural design of the baffles themselves [8,9,10]. In studies on the influence of baffle quantity on tank structural vibration and liquid sloshing, Lu and Cao [11] investigated the effect of the number of vertical baffles in a rectangular tank on liquid sloshing, using the SPH method for numerical simulation. They demonstrated that increasing the number of baffles can reduce the system’s natural frequency, enhance damping energy dissipation, and reduce wave height and dynamic pressure. In research on the influence of baffle orientation, Amirsardari et al. [12], through experiments and numerical simulation, confirmed that vertical baffles can significantly reduce the hydrodynamic pressure (20–70%) and base shear force (9–65%) in tanks under seismic conditions. The optimal effect was achieved when the baffle height-to-water depth ratio was 0.75, providing a reference for tank seismic design. Furthermore, tangential baffles in cylindrical storage tanks outperform radial baffles, achieving a damping ratio up to twice that of radial baffles, significantly reducing the system’s natural frequency, and generating new multi-peak waves to attenuate liquid surface height [13]. Research on the influence of baffle shape found that tree-shaped baffles, through their branching structure, enhance energy dissipation. Under 50% fill ratio and resonance conditions, they can reduce the maximum wall force by 36.3% and wave height by 28.1% [14]; sinusoidal, cosine-shaped, and their straight-edge variant baffles can effectively reduce the natural frequency at low fill depths, achieving a damping ratio 10–12 times that of a tank without baffles at a dimensionless depth of 1.15 [15]. Studies on baffle opening shapes indicate that their influence on liquid sloshing suppression in rectangular tanks is not significant, but perforated baffles can effectively suppress first-order resonance, achieving an 85% suppression rate for side wall wave amplitude, although their suppression effect on third-order resonance is weaker [16]. Additionally, baffle installation parameters are crucial. When placed 80 mm from the initial liquid surface, the free surface height can be reduced to 6.39 mm. Baffles with a 30° inclination angle can counteract dynamic impact through fluid collision, reducing turbulent energy [17]. Although existing research has analyzed the effects of baffle quantity [11], orientation [12,13], shape [14,15], opening form [16], and installation parameters [17] on structural vibration and liquid sloshing in various tanks, the mechanism of how the liquid surface evolution mechanism under impact in high-speed train suspended water tanks affects baffle structural response remains unclear. With China’s ongoing promotion of green innovation guided by the “dual carbon goals,” the operational speed of new high-speed trains continues to increase [18]. During train start-up and braking states, especially under emergency braking with increasingly higher accelerations, the sloshing impact force generated by the liquid inside suspended water tanks becomes stronger, leading to significantly larger deformation and vibration of the tank inner walls and baffles [19]. This poses new challenges to the performance and strength of existing baffle structures. Therefore, to adapt to the increasingly large impact loads on suspended water tanks, it is necessary to develop baffles with stronger vibration and sloshing suppression capabilities based on train lightweighting.
With the continuous development of structural mechanics and simulation technology, novel wave and vibration suppression structures have emerged. The acoustic black hole is a new wave-control technique that focuses flexural waves through geometric parameter or material property variations. Under ideal conditions, the flexural wave speed gradually decreases to zero within the ABH region. The most obvious geometric feature of an ABH is a power-law varying cross-section [20], where the power exponent is at least 2, described by the shape function h(x) = εxm (m ≥ 2). Early research explored the flexural wave focusing effect of one-dimensional and two-dimensional ABHs through vibration response experiments [21,22]. Due to advantages such as simple structure, wide frequency range for vibration reduction, and high control efficiency, ABHs have found applications in vibration and noise control fields [23,24]. Bowyer et al. [25] embedded two-dimensional ABHs into automobile engine covers, effectively reducing the vibration amplitude of the covers and suppressing noise. Furthermore, related studies found that ABH damping structures with added mass could also effectively suppress structural vibrations in the 10–1000 Hz frequency range even when the mass was reduced by 30% [26]. The broadband performance of ABHs is comparable to active vibration control systems based on constant-thickness beams, but ABHs offer lower control costs and significant practical value [27].
Against the above research background, to improve the vibration and wave suppression performance of baffle plates for hoisted water tanks on high-speed trains and prevent issues such as baffle fatigue failure, water tank cracking and water leakage, this paper designs an ABH-type baffle structure suitable for hoisted water tanks on high-speed trains based on the ABH theory, and conducts verification via numerical simulation using the Computational Fluid Dynamics (CFD) software Fluent (2024R2). Since the vibration and wave-suppression mechanism of ABH is based on the laws of fluid–structure interaction (FSI) and the physical essence of wave propagation, it is independent of the specific “high-speed” characteristic of high-speed trains and applicable to all transportation equipment with the problem of “liquid sloshing–structure vibration coupling”, which endows the research method with cross-domain universality. In fact, the problem of water tank structural strength is prevalent in the conventional railway and aerospace fields. Recent relevant studies on conventional railway locomotives have shown that the impact and sloshing of water stored in water tanks are also extremely severe when conventional railway locomotives undergo acceleration, deceleration, emergency braking and excitation from track irregularities [28], and more than 90% of water tank leakage faults in conventional railway locomotives are caused by baffle fatigue failure, water-tank weld cracking and water-tank deformation induced by liquid impact [29]. Recent relevant studies in the aerospace field have indicated that the liquid sloshing in water tanks induced by aircraft maneuvering motions and gust loads exerts a significant influence on the structural strength of water tanks [30,31]. All these problems fall within the scope of “liquid sloshing–structure vibration coupling” and are highly compatible with the solution proposed in this study. In addition, the requirements for structural lightweighting in the aerospace field are highly consistent with the technical advantages of ABH in structural lightweighting [26].
The specific chapter arrangement of this paper is as follows: Section 2 completes the mesh generation of the suspended water tank model, the setup of boundary conditions in the CFD software, and the validation of the numerical method. Section 3 presents the analysis of experimental results: first, multiple sets of comparative experiments are designed to analyze the liquid surface evolution mechanism under different liquid volumes and determine the flow field characteristic values required for subsequent research; second, a three-factor three-level orthogonal experiment is designed to identify the optimal parameters for a single ABH embedded in the baffle, followed by the validation of the vibration and sloshing suppression effect of the single ABH. On this basis, the optimal design parameters of the ABH-type baffle are analyzed from two dimensions, namely the arrangement position and quantity of the ABHs. Finally, multiple sets of comparative experiments are designed to verify the performance improvement effect of the ABH-type baffle in comparison with traditional baffles. Section 4 summarizes the research conclusions of the entire paper and discusses the application prospects and limitations of this study.

2. Model and Method

2.1. Model and Mesh Generation

The CR 450 EMU (Fuxing CR 450 EMU Train) is a new generation of high-speed train developed by China State Railway Group Co., Ltd. in Changchun and Qingdao, China., aiming for commercial operation at 400 km/h, featuring higher safety, environmental protection, energy efficiency, and intelligence [32]. The effective capacity of the underframe suspended water tank on the CR 450 BF EMU is 700 L, which is 3.5 times the 200 L effective capacity of suspended water tanks on other CRH series trains [3]. This makes the liquid-sloshing force under impact more significant for this tank type. The model of the underframe suspended water tank on the CR 450 BF EMU is shown in Figure 1a, mainly consisting of the tank body, baffles, underframe water pump device, underframe water pump electrical control box, external water system, antifreeze device, and suspension brackets. The internal fluid domain structure of the tank is shown in Figure 1b. The fluid domain is 2350.8 mm long, 585 mm wide, and 675 mm high. The internal baffle is vertically installed inside the tank, with height and width both 675 mm and 585 mm, and a thickness of 3 mm.
According to the requirements of TB/T 1720—2017 [33]“Water Supply Equipment for Railway Passenger Cars and EMUs,” the suspended water tank structure is primarily welded from Q345 steel plates. TB/T 1720—2017 Railway Passenger Cars and Multiple Units—Water Supply Devices is a recommended technical standard for the railway industry, administered by the National Railway Administration of China and designated as the standardization competent unit by the Sifang Rolling Stock Research Institute. It serves as the core technical basis for the design, manufacture and inspection of water supply systems for China’s high-speed railways. This study takes the suspended water tank of the CR450 BF EMU (Electric Multiple Unit) as the research object. As a key component of the EMU water supply device, the core requirements for the tank such as material selection and structural strength must comply with the provisions of this standard. It is explicitly stipulated in the standard that the main body of the suspended water tank shall be fabricated by welding Q345 steel plates. In this study, the structural design and material parameter setting of the water tank (including density, elastic modulus and other parameters as shown in Table 1) are all strictly in accordance with this standard, which ensures the engineering applicability and compliance of the simulation model. This work provides a standardized industrial benchmark that conforms to sector specifications for the subsequent strength verification and performance optimization of ABH-type baffles. The material physical property parameters are listed in Table 1.
This study adopts a bidirectional fluid–structure interaction (FSI) research method, with an unstructured tetrahedral mesh generation strategy. Due to the overall structural complexity of the suspended water tank, to reduce subsequent computational scale, certain components and irregular shapes are simplified while ensuring computational accuracy, thereby improving computational efficiency. To ensure result precision, the following simplifications are made during mesh generation:
(1) Minor components such as tank water filling holes, overflow holes, cleaning holes, as well as external water pumps, pipes, switches, etc., unrelated to the internal fluid domain, have minimal impact on internal liquid flow and are therefore omitted;
(2) Minor details such as small fillets and rounds that have little impact on structural strength and stiffness are ignored to improve mesh quality and avoid affecting simulation accuracy.
Mesh independence verification is a crucial step to ensure that calculation results are not affected by mesh generation [34]. Taking the boundary condition of the tank structure under static hydraulic pressure from a full tank and gravity as an example, with the top fixing structure subjected to fixed constraints. The relationship between mesh number and the pressure value on the tank bottom surface is shown in Table 2.
As the element size decreased from 10 mm to 9 mm, the pressure value refined from 3372.4 N to 3330.3 N, indicating that coarser meshes cannot sufficiently capture structural details, resulting in significant errors. When the element size is 8 mm, the error between the pressure value and the next level is only 0.11%, indicating that the calculation results tend to stabilize and are no longer affected by mesh count. When the mesh size is 7 mm, the fluid domain mesh count increases by 140%, which would significantly increase computation time. Therefore, considering time cost and solution efficiency comprehensively, this paper uses an 8 mm mesh for dividing both the solid and fluid domains of the suspended water tank. The mesh generation result is shown in Figure 2.

2.2. Boundary Conditions and Method

The unidirectional FSI method cannot obtain the time-varying stress distribution of the tank body nor consider the influence of solid structural deformation on the flow field. Therefore, this paper adopts a bidirectional FSI method, with the process shown in Figure 3. The research uses ANSYS Workbench (2024R2) to simulate the bidirectional interaction between fluid and structure. Its core principle lies in fluid loads acting on solid boundaries causing deformation or motion, while the deformation/motion of the solid in turn changes the geometry and boundary conditions of the fluid domain, thereby affecting the flow field distribution. Finite element calculations iterate within each time step: the fluid solver calculates loads, ransfers them to the structure solver, the structure solver calculates deformation/displacement, updates the fluid mesh, the fluid solver recalculates the flow field based on the new geometry, until the coupled solution for that time step converges. This method can effectively simulate the mechanical response behavior of the baffle during high-speed train operation when a certain amount of liquid exists in the tank.
The SIMPLEC algorithm is used for fluid velocity–pressure coupling. The convection term is discretized using a second-order upwind scheme, the dissipation term is handled with the QUICK format, and the time term is discretized using a second-order accurate implicit scheme. Ten iterations are performed within a single coupling iteration, and residuals for each equation within a coupling step are below 10−4, ensuring solution accuracy and stability. The finite element calculation considers geometric nonlinearity (Large Deflection), and Line Search is enabled to improve iteration stability. Shell elements are used to simulate the tank structure, while other components are modeled with Solid elements. The MPC contact algorithm handles motion constraints between Shell and Solid elements. For the System Coupling module, the coupling time step is 6 × 10−4 s, with maximum/minimum iteration counts of 5 and 10 within a coupling step, respectively. Data exchange employs load/displacement linear interpolation to enhance coupling calculation stability. The standard wall function is adopted for wall treatment. For the VOF model, the surface tension coefficient at the water–air interface is set to 0.072 N/m, and the phase volume fraction transport equation is discretized using the Geo-Reconstruct scheme. The time step is adaptively adjusted with a minimum of 1 × 10−5 s and a maximum of 6 × 10−4 s. In addition, the residuals of the continuity equation, momentum equation, k-equation and ε-equation all converge to below 1 × 10−4.
The impact on the tank structure caused by train braking can be simulated using the impact loads specified in impact and vibration tests for rail vehicle equipment [4]. Therefore, the fluid domain boundary conditions are the following: applying a half-sine wave impact function with a peak of 50 m/s2 in the longitudinal direction, a half-sine wave impact function with a peak of 30 m/s2 in the transverse direction, and gravitational acceleration in the vertical direction, as shown in Figure 4 below. Since vertical impact loads do not induce liquid-sloshing forces in the tank [35] and thus cannot test the baffle’s wave suppression performance, longitudinal and transverse impact loads are chosen as test conditions. Different liquid fill levels (20%, 40%, 60%, 80%, 100%), buoyancy parameters, free surface conditions, and initial conditions are set. Heat transfer effects are not considered, and the tank inner wall is set as a no-slip boundary. The solid domain boundary condition is applying fixed constraints to the top angle iron of the tank.

2.3. Numerical Methods

2.3.1. Flexural Waves in Acoustic Black Hole Structures

When the baffle is subjected to a perpendicular force, flexural waves are generated. These flexural waves propagate within the baffle and also radiate into the adjacent water domain, as shown in Figure 5 below. The wavelength within the baffle is λx, in the liquid domain is λ, and the radiation angle is θ.
In a one-dimensional medium with varying thickness, the flexural wave equation is:
2 x 2 D ( x ) 2 w x 2 + ρ h ( x ) 2 w t 2 = 0
where w is the transverse displacement of the structure; D is the bending stiffness; E is Young’s modulus; v is Poisson’s ratio; ρ is the density; h is the structural thickness; t is the time variable. For any point x, the amplitude of wave propagation can be expressed in complex form:
U ( x ) = A ( x ) e i Φ ( x )
where
Φ = 0 x k ( x ) d x
k ( x ) = 12 1 / 4 k p 1 / 2 h ( x ) 1 / 2
Here, Φ is the cumulative phase; kp = ω/cp, where kp is the wave number for a uniform plate. For a structure with exponentially varying thickness:
h ( x ) = ε x m
When the exponent m ≥ 2, the cumulative phase Φ tends to infinity, meaning the wave cannot reach the boundary nor be reflected back. Therefore, the flexural wave is trapped at the edge, and energy is concentrated.
For a thin plate structure with varying thickness, its flexural wave equation is:
2 D 2 w ( 1 ν ) 2 D x 2 2 w x 2 2 2 D x y 2 w x y + 2 D y 2 2 w y 2 = ρ h 2 w t 2
Assuming the rotational inertia and shear effects of the structure are negligible, the wave number k is:
k = ρ h ω 2 / D 1 / 4
where ω is the angular frequency. According to c = ω/k, the phase velocity of the flexural wave is obtained:
c = ω h E 12 ρ ( 1 ν 2 ) 1 / 4
For a baffle structure with uniform material, the phase velocity of a flexural wave at a specific frequency is proportional to the square root of the structural thickness. By tailoring the thickness of the baffle structure according to a specific power-law form, satisfying h(x) = εxm (m ≥ 2), a two-dimensional ABH can be formed, as shown in Figure 6.
In a two-dimensional ABH, as the thickness gradually decreases, the flexural wave phase velocity also gradually decreases, resulting in a local energy concentration effect within the baffle. The ABH is embedded in the plate structure, with the uniform portion outside the ABH region having a thickness h1. The ABH itself also includes uniform and non-uniform thickness portions. Since the thickness cannot decrease to zero according to the power function in practical structures, there is always a truncation at the center. In practical engineering manufacturing, a smooth circular arc transition shall be adopted for the thickness transition between the ABH structure and the main baffle body to avoid stress concentration. CNC milling can be employed for the machining process; the main baffle body is machined first, and then the ABH structures are milled at the designated positions (the 20% and 80% water level lines). The truncated thickness h0 = 1.4 mm is guaranteed by means of layered milling. In this paper, the thickness variation function exponent for the non-uniform portion of the two-dimensional ABH is m = 2, the truncation thickness is h0, and the relationship between thickness and position within the ABH region is given by:
h r = ε r 2 , r 0 r r 1

2.3.2. Tank Fluid Domain Governing Equations and VOF Model

The irregular unsteady action of liquid sloshing inside the tank on the inner walls is simulated using the Realizable k-ε turbulence model. The transport equations for turbulent kinetic energy and turbulent dissipation rate are as follows:
( ρ k ) t + ( ρ k u j ) x i = x j μ + μ t σ k k x i + G k + G b ρ ε
( ρ ε ) t + ( ρ ε u j ) x i = x j μ + μ t σ ε k x j + ρ C 1 E ρ C 2 ε 2 k + ε V + C ε 1 ε k C ε 3 G b
Here, xi, xj are position vectors (m); ui is the fluid velocity component in direction i (m/s); ρ is the liquid density (kg/m3); k is the turbulent kinetic energy; μ is the molecular viscosity coefficient (Pa·s); μt is the turbulent viscosity coefficient (Pa·s); σk is the turbulent Prandtl number; Gk is the shear production term for turbulent kinetic energy (m2/s2); Gb is the buoyancy production term for turbulent kinetic energy (m2/s2); ε is the turbulent kinetic energy dissipation rate (m2/s3); σε is the turbulent kinetic energy dissipation rate Prandtl number; E is the source term; v is the velocity component parallel to the gravity direction (m/s); Cε1, Cε2, Cε3 are empirical constants affecting the generation and dissipation rates of turbulent kinetic energy, with values Cε1 = 1.44, Cε2 = 1.92, Cε3 = 1.0.
The internal flow during tank sloshing is an unsteady gas–liquid two-phase flow, therefore the VOF model is used to handle the two-phase flow inside the tank. The VOF model governing equations are as follows:
Momentum conservation equation:
( ρ v ) t + ( ρ v v ) = p + μ v + v T + ρ g + F
where F is the equivalent volume force of surface tension (N); v is the fluid velocity (m/s); p is the pressure (Pa); ρ is the fluid density (kg/m3); μ is the dynamic viscosity coefficient.
Fluid continuity equation:
ρ t + ( ρ v ) = 0
where Saq is the mass source, generally 0; ρ is the fluid density (kg/m3); v is the fluid velocity (m/s).
Volume fraction continuity equation:
α 1 t + v ( α 1 ) = 0
α 2 t + v ( α 1 ) = 0
where a1, a2 are the volume fractions of the two phases, satisfying a1 + a2 = 1; v is the fluid velocity (m/s).

2.3.3. Validation of the Numerical Simulation Method

In order to verify the correctness and effectiveness of the numerical simulation method, the damage values of the fuel tank under load were simulated and calculated with reference to the research object and experimental data in Liu Shangyuan [36]. Following the experimental method of the original literature, the same time-domain constant-frequency and constant-amplitude sinusoidal excitation with a vertical acceleration of 2 g at 10 Hz was applied to the fuel tank filled with 1/4 oil in this study. Considering the large computational load and high resource consumption of transient analysis, the excitation duration was set as 1 s with a time step of 0.002 s (500 steps in total) to improve computational efficiency on the premise of ensuring the reliability of simulation results. The comparison between the simulated measurement values at each test point and the experimental results is presented in Figure 7. Comparative analysis indicates that the simulated values at each test point show a fluctuating trend relative to the experimental values and are slightly higher than the latter, while the errors of the vast majority of test points are within 4%, with the minimum error being only 0.1%. The numerical simulation results of this study are in good agreement with those of the aforementioned literature, which demonstrates the feasibility and effectiveness of the numerical simulation method adopted in this study.

3. Analysis Process and Results

3.1. Analysis of Liquid Surface Evolution Mechanism at Different Water Levels

During train operation, the water volume in the tank continuously decreases with consumption, and the liquid’s effect on the tank structure also changes with the water volume. To obtain the flow field characteristic values required for the subsequent design of the ABH-type baffle, CFD solutions were completed using Fluent (2024R2) software, revealing the evolution patterns of the liquid surface inside the tank under impact for different water volumes and the pressure changes on the tank inner walls.
As shown in Figure 8, the period from 0 to 0.03 s is the impact-load phase. The impact load causes inertial motion of the liquid inside the tank, rapidly increasing the sloshing force on the tank inner walls. After 0.015 s, the pressure value on the tank inner walls quickly decreases. From 0.03 s to 0.5 s is the inertial sloshing phase. After the impact ends, the liquid sloshing inside the tank does not immediately subside but exhibits certain fluctuating characteristics, indicating residual motion of the liquid after the impact ceases. The tank fill level is positively correlated with the peak pressure on the tank inner walls and negatively correlated with the time to reach maximum pressure. The maximum impact load occurs at 100% fill level. When the water volume reaches 80%, the pressure peak during the sloshing phase is the highest and significantly higher than other fill level conditions. After the impact ends, the pressure value maintains certain fluctuations, and residual sloshing is more pronounced.
The higher the tank fill level, the faster the liquid tends to stabilize after the impact load ends, as shown in Figure 9. At different moments (t = 0.1 s, 0.2 s, 0.3 s, 0.4 s), the flow state of the liquid surface inside the tank differs significantly. The liquid moves forward due to inertia, with the front liquid rising due to obstruction by the end wall; the middle and rear liquid is obstructed by the baffle, with most following a trajectory similar to the front liquid, and a small portion decelerating and continuing to flow forward through the openings. The liquid inside the tank is in the aforementioned reciprocating cyclic motion, gradually attenuating in intensity. The flow patterns inside the tank are basically consistent for different water level heights, with the difference lying in the decay rate of the liquid surface motion. The higher the water level, the faster the fluctuation decays, consistent with the tank wall pressure change phenomenon in Figure 8.

3.2. Determination of Optimal Acoustic Black Hole Parameters

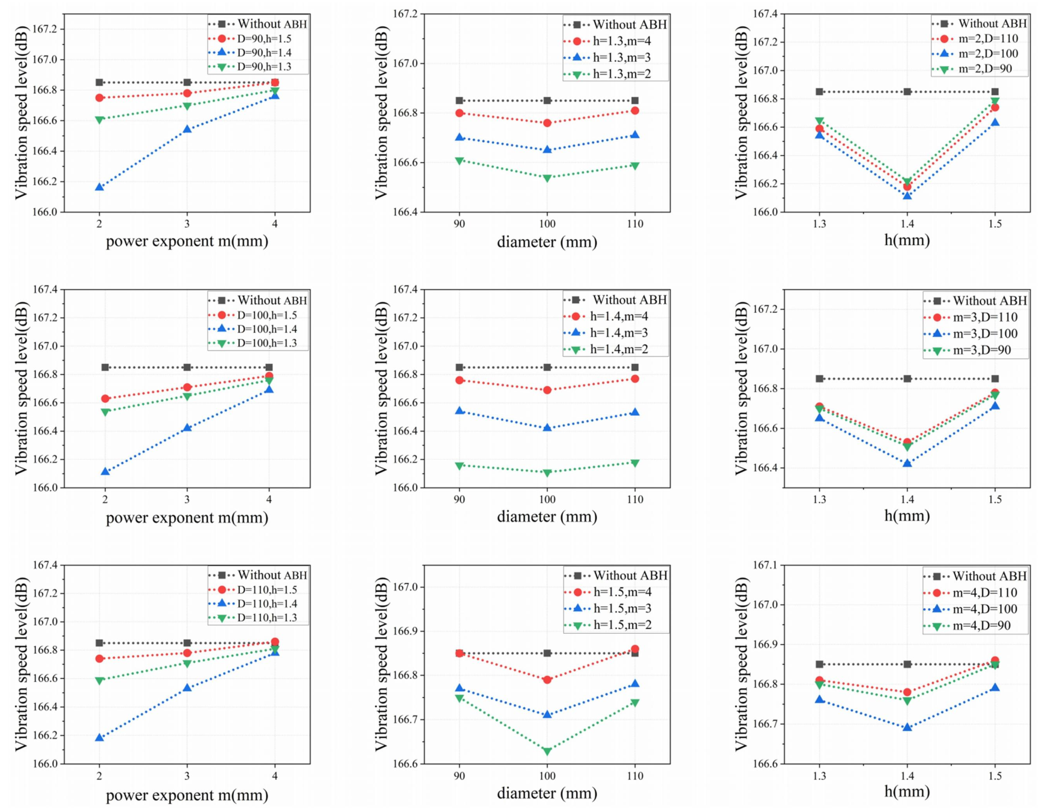
According to the formula h(x) = εxm and ABH theory, the power-law exponent m, diameter D, and truncation thickness h0 of the ABH structure determine the vibration and sloshing suppression performance of a single ABH. This section will take ABH structural parameters as variables and determine the optimal parameters for a single ABH embedded in the baffle by conducting a three-factor, three-level orthogonal experiment including two-dimensional ABH diameter, power-law exponent, and truncation thickness. In this paper, the intersection line between the liquid surface and the baffle surface when the tank is stationary at different fill levels is defined as the water level line. Considering the limited vibration and sloshing suppression capability of a single ABH, the peak pressure on the baffle under longitudinal impact at 40% fill level is selected as the test condition. To allow the ABH to function effectively, the ABH is embedded at the 20% water level line, as shown in Figure 10.
Considering the subsequent need for embedding in the suspended water tank baffle, ABH diameters of 90 mm, 100 mm, and 110 mm are selected for the experiment; the power-law exponent m is an integer greater than or equal to 2, so m values of 2, 3, and 4 are chosen for three groups; the value of h0 determines the ABH’s ability to focus flexural waves. Studies show that a smaller h0 enhances the flexural wave focusing ability, but if it is too small, local structural strength decreases, leading to a reduction in vibration suppression effect. Therefore, h0 values are set at 1.3 mm, 1.4 mm, and 1.5 mm. Parameter settings are listed in Table 3, and the test results are shown in Table 4.The control group is a baffle without an ABH. The obtained baffle surface vibration velocity is substituted into formula 16 to obtain the baffle surface vibration velocity level:
L = 20 lg v / v 0
where L is in decibels (dB), v is the root mean square velocity, v0 is the reference velocity. According to the mechanical industry environmental protection design specifications, v0 = 10−9 m/s is adopted.
Research indicates that the excitation frequency of large water tanks on high-speed trains is mainly distributed in the low-frequency region of 0–100 Hz [37]. This study analyzes the vibration velocity level of the baffle within the 0–100 Hz frequency range. Based on simulation results, a pressure with a peak of 1040 N acting on the baffle surface at 40% tank fill level is applied, with the baffle edges set as fixed supports.
Experimental results show that the ABH can effectively reduce the vibration velocity of the baffle under impact. As shown in Figure 11, as m increases, the baffle surface vibration velocity shows an upward trend. ABH structures with smaller power-law exponents m have stronger vibration suppression capabilities because ABHs with smaller exponents reflect less vibrational energy to other areas of the thin plate, resulting in a stronger focusing effect on elastic waves compared to ABHs with larger exponents. The baffle surface vibration velocity shows a trend of first decreasing and then increasing in single-factor increase experiments with D and h0. The optimal value for ABH diameter D within the 0–100 Hz frequency range is 100 mm. Both larger and smaller ABH diameters lead to reduced vibration suppression effectiveness. The reason is that a larger ABH diameter results in a larger area of reduced baffle thickness, causing a decrease in the plate’s area density and ultimately reducing baffle structural strength. Smaller diameter ABHs cannot effectively focus flexural waves in the baffle due to their limited effective range. When the truncation thickness h0 is larger, the ABH reflects more flexural waves, weakening the focusing effect. As h0 decreases, the reflection of flexural waves by the ABH decreases, and theoretically, wave focusing ability becomes stronger. However, when h0 is too small, a significant decrease in the area density of the baffle region causes a substantial reduction in regional structural strength, leading to decreased vibration and sloshing suppression capabilities of the ABH-type baffle. Therefore, the optimal values for the three factors are: truncation thickness h0 = 1.4 mm, power-law exponent m = 2, diameter D = 100 mm.

3.3. Study on Sloshing and Vibration-Suppression Characteristics of Acoustic-Black-Hole-Type Baffle

The orthogonal experiment results indicate that the optimal parameters for a single ABH structure embedded in the baffle are: truncation thickness h0 = 1.4 mm, power-law exponent m = 2, diameter D = 100 mm. Embedding this ABH structure at the 20% water level line on the baffle yields the ABH-type baffle, as shown in Figure 12. A 40% fill level is set to study the sloshing- and vibration-suppression performance of this ABH-type baffle. The average pressure on the tank inner walls is analyzed to evaluate the baffle’s sloshing suppression performance. Simultaneously, the peak pressure experienced by the baffle during liquid surface evolution is selected to analyze the baffle surface vibration velocity level within the 0–100 Hz frequency range under this peak pressure, assessing the baffle’s ability to suppress its own vibration.
Results indicate that under longitudinal impact conditions, compared to the traditional baffle, the ABH-type baffle reduces the average wall pressure by 38.4 N, a decrease of 2%. As shown in Figure 13a, the maximum wall pressure decrease is 3.6%, occurring at the maximum dynamic pressure point during the residual sloshing phase. In the vibration-suppression test, compared to the traditional baffle, the ABH-type baffle shows an average decrease in surface vibration velocity level of 1.18 dB, as shown in Table 5. This indicates a reduction in baffle surface vibration velocity under impact excitation of approximately 14.5%. As shown in Figure 13b, the maximum decrease in vibration velocity level is 2.65 dB, occurring at the resonance peak, indicating that the ABH reduces the baffle’s vibration velocity at its natural frequency by 28%, effectively suppressing baffle resonance. Under transverse conditions, the ABH-type baffle also shows significant improvement in sloshing- and vibration-suppression performance compared to the traditional baffle, but the reduction amplitudes are smaller than under longitudinal conditions. The reason is that under transverse conditions, the water flow directly impacts the tank walls rather than the baffle, limiting the baffle’s effectiveness.
Thus, embedding an acoustic black hole (ABH) structure in a traditional baffle can effectively concentrate the vibrational energy induced by liquid sloshing and reduce the energy of liquid impacting the tank walls. The core reason is that the concave geometric structure of the ABH can restructure the fluid velocity vector. On the one hand, the varying flow cross-section causes a reduction in flow velocity when the fluid passes through the ABH region; on the other hand, the concave structure alters the impinging direction of the liquid. It can be seen from Figure 14 that the original impinging flow perpendicular to the baffle generates radial diversion and forms local vortices, which leads to an effective attenuation of the liquid momentum inside the tank. According to the momentum theorem Δp = ρV·Δv, the reduction in the flow velocity Δv directly decreases the impact load of the liquid on the baffle and tank walls. Next, the optimal combination parameters of the ABH-type baffle are analyzed from two dimensions: the arrangement position and layout number of the ABH structures embedded in the baffle.

3.4. Single-Factor Analysis Results and Discussion

3.4.1. Analysis of the Influence of Acoustic-Black-Hole Position on Baffle Vibration and Sloshing-Suppression Performance

This section investigates the influence of the relative position of Acoustic Black Holes (ABHs) on the wave suppression and vibration suppression performance of ABH-type baffles. Longitudinal impact at 80% fill level is selected as the test condition, as the inertial sloshing force is greatest under this condition. Two ABH structures with identical specifications are embedded in the baffle, with the ABH centers precisely located at the 80% water level line. The control group is the traditional baffle. The ABH baffle structural parameters are shown in Figure 15.
The average wall pressures when the ABH structure is located at the 80% water-level line and other water-level lines are shown in Figure 16a. Analysis shows that the sloshing-suppression effect is best when the ABH structure is located at the 80% water-level line. This is because liquid sloshing is more intense at the water level line, causing the ABH structure to dissipate more turbulent kinetic energy. Therefore, when the ABH center is at the same height as the liquid surface, the baffle’s sloshing-suppression effect is optimal.
As shown in Figure 16b, the ABH position significantly influences the baffle’s vibration suppression capability. Observing the vibration energy distribution contours of the two baffles at the vibration peak of observation point print 1, as shown in Figure 16c, it can be seen that the vibration energy of the traditional baffle without ABH is widely distributed around the flow openings, while the ABH baffle shows a significant energy concentration effect. Flexural wave energy is more concentrated around the ABH structure, resulting in a substantial reduction in vibration velocity in other areas of the baffle. When the ABH structure is positioned between 30% and 70% water level lines, its proximity to the flow openings causes a noticeable decrease in the area density of the baffle region, reducing structural strength and leading to increased surface vibration velocity. When the ABH is at the 10% and 90% water-level lines, being too close to the upper and lower edges of the baffle reduces the strength near the fixed structures, increasing overall vibration velocity. Therefore, the optimal positions for vibration suppression are the 20% and 80% water level lines.

3.4.2. Analysis of the Influence of Acoustic Black Hole Quantity on Baffle Vibration and Sloshing Suppression Performance

Multiple ABH structures with identical specifications are embedded in the baffle, with quantities of 1, 2, 3, and 4, corresponding to four schemes. The ABH positions are shown in Figure 17. To ensure all ABHs function, the fill level is set to 80%.
The average pressure on the tank walls and the vibration velocity level on the baffle surface for baffles with different numbers of acoustic black hole (ABH) structures are presented in Figure 17. When the number of ABHs is three, the average pressure acting on the tank walls attains the minimum value, and the vibration velocity level on the baffle surface is also at the lowest level. When the number of ABHs is less than three, the flexural wave energy in the baffle exceeds its suppression capacity, making it impossible to achieve sufficient energy concentration. When the number of ABHs increases from three to four, the effective load-bearing area of the baffle decreases by approximately 12%, and its areal density reduces by about 4.2%. According to the structural stiffness formula K = EI/L3 (where E denotes the elastic modulus, I is the moment of inertia of the cross-section, and L represents the baffle span), I is proportional to the cube of the thickness. The low-thickness characteristic of the ABH regions leads to a substantial reduction in the local moment of inertia, which in turn diminishes the overall stiffness of the baffle and causes the intensification of its vibration response. In summary, the number of ABHs on the baffle exerts a significant influence on its vibration- and sloshing-suppression performance, and a greater number of ABHs does not necessarily result in better vibration and sloshing-suppression effects.

3.5. Strength Verification of the Acoustic-Black-Hole-Type Baffle

Based on the above research, the baffle’s vibration and sloshing suppression effect is best when three embedded ABHs have their centers located at the 80% and 20% water-level lines. Therefore, comprehensively considering the variation in liquid surface height during tank operation and the magnitude of impact loads at different fill ratios, scheme 3 is ultimately determined as the final solution. Considering the symmetry of the baffle shape, when the number of ABHs in the baffle is 3, arranging 2 ABHs at the 20% water level and 1 ABH at the 80% water level is also a feasible solution. However, based on the conclusions in Section 3.4.1 regarding the influence of ABH position on baffle performance, the baffle exhibits the best wave and vibration suppression capability when ABHs are located at the 80% water-level line, whereas the baffle demonstrates relatively good vibration suppression but only moderate wave suppression when ABHs are positioned at the 20% water level line. Therefore, when the number of ABHs is 3, the 80% water-level line on the baffle is the preferred placement position. Thus, the current Scheme 3 is the optimal solution.
According to regulations concerning impact-response conditions for rail-vehicle equipment, onboard equipment must undergo impact tests by applying half-sine pulse waves in the positive and negative directions of the X, Y, and Z axes six times each. The tank fill ratio is set to 100% during the test. Among the impact tests in the three directions, the longitudinal acceleration peak is the highest, and its impact force direction is perpendicular to the baffle and front/rear walls, having the most significant effect on the water tank baffle structure. Therefore, the study focuses only on longitudinal impact. Impact loads are applied via user-defined functions for FSI experiments. The test results are shown in Figure 18a. The load at the moment when the baffle experiences maximum stress during the six longitudinal impacts is extracted for static analysis of the baffle. As shown in Figure 18b, when the ABH baffle is subjected to the maximum longitudinal impact, the maximum stress points on both sides of the baffle appear in the fixed areas on both sides of the baffle. The maximum value is 78.5 MPa at MAX 1 on the front side, which falls within the material’s allowable range.
The ABH-type baffle plate adopted in this study is fabricated from Q345 steel with a yield strength of Re = 345 MPa. According to the structural safety factor formula S = Re/σmax, the safety factor is calculated to be S = 345/78.5 ≈ 4.4. This value is significantly higher than the industrial standard of 3.0 specified for the structural design of railway rolling stock, which indicates that the ABH-type baffle plate retains sufficient redundancy in structural strength when subjected to extreme impact loads. The core mechanism of fatigue failure of the baffle plate lies in the accumulation of fatigue damage induced by long-term cyclic loads, and the damage degree is positively correlated with the cyclic stress amplitude. There exists a distinct positive correlation between the vibration velocity of Q345 steel and its cyclic stress amplitude. Under longitudinal impact with an 80% liquid filling rate, the average surface vibration velocity of the ABH-type baffle plate is reduced by 30.6%, with a 3.17 dB decrease in the vibration velocity level, which in turn results in a synchronous reduction of approximately 28% in the cyclic stress amplitude. In accordance with Miner’s linear cumulative damage criterion, a smaller stress amplitude leads to a lower damage per loading cycle, which consequently improves the fatigue life of the baffle plate.

3.6. Performance Verification of the Acoustic-Black-Hole-Type Baffle

3.6.1. Vibration-Suppression Effect

Using the maximum peak stress on the baffle under longitudinal impact at 80% water level as the test condition, the surface vibration velocity levels of the conventional baffle and the ABH-type baffle are compared. Test results are shown in Table 6. Within the 0–100 Hz frequency band, due to the embedded ABH, the response of scheme 3 baffle at the resonance peak is lower than that of the conventional baffle. Its vibration velocity level is reduced by an average of 3.17 dB, meaning the baffle surface vibration velocity is reduced by an average of 30.6%, demonstrating the good vibration suppression effect of the ABH.
Selecting the characteristic frequency point (69 Hz) corresponding to point A in Figure 19a, their vibration energy distribution contours are compared. As shown in Figure 19b, the vibration energy of the conventional baffle is dispersed across the plate surface and concentrated around the flow openings, whereas the energy of the ABH-type baffle is clearly concentrated in the ABH regions, effectively reducing vibration around the holes. The ABH structure can guide vibrational energy to concentrate in the ABH region, facilitating energy dissipation and vibration suppression.
In summary, introducing ABHs into a conventional baffle can significantly reduce its vibration response under liquid impact excitation. During high-speed train operation, inertial forces from liquid sloshing in the tank easily induce baffle vibration. Long-term effects can lead to structural fatigue damage. The ABH-type baffle, by concentrating and dissipating vibrational energy, not only suppresses structural vibration but also reduces resonance risk, thereby protecting the baffle and helping to extend its service life.

3.6.2. Sloshing-Suppression Effect

Considering the variation in liquid-level height during actual tank use, further tests are set up to analyze the sloshing-suppression effect of the new baffle during the inertial sloshing phase under impact loads in various directions at fill levels of 40%, 60%, and 80%.
Under longitudinal impact, the tank-wall pressure decreases for the ABH-type baffle compared to the traditional baffle at all tested fill levels. As shown in Figure 20a, the peak tank-wall pressure decreases by 7.1% under the 80% fill level condition. As shown in Figure 20b, at a 40% fill level, the average tank-wall pressure decreases by 3.4%; at 60%, it decreases by 3.4%; at 80%, it decreases by 3.5%.
Under transverse impact, the tank wall pressure decreases at all fill levels, but the effect is weaker than under longitudinal impact conditions. As shown in Figure 20c, the peak tank-wall pressure decreases by 6.2% under the 80% fill level condition. As shown in Figure 20d, at a 40% fill level, the average tank wall pressure decreases by 2.8%; at 60%, by 2.9%; at 80%, by 3.1%.
In summary, the ABH-type baffle can significantly reduce the wall pressure of the tank body under liquid impact excitation compared to the traditional baffle. The ABH-type baffle, through its special thickness variation curve, causes liquid energy dissipation, suppresses liquid motion, and effectively reduces the liquid-sloshing force inside the tank under impact.

4. Conclusions

To mitigate the adverse effects of sustained vibrations caused by liquid sloshing in water tanks on structurally weak areas of equipment during high-speed train operation, this study designed an ABH-type baffle based on the ABH principle. Using the suspended water tank model of the CR450 BF train as an example, the vibration and wave suppression effectiveness of the ABH-type baffle was investigated through numerical simulations employing computational fluid dynamics (CFD). The main conclusions are as follows:
(1) The ABH-type baffle achieves enhanced vibration suppression while reducing structural weight; the incorporation of ABHs reduced the steel usage of the baffle by 3% without compromising its structural strength. Under longitudinal impact conditions with an 80% liquid filling level, the average surface vibration velocity of the ABH-type baffle decreased by 30.6% compared to a traditional baffle, effectively suppressing the baffle’s own vibration.
(2) Compared to traditional baffles, the ABH-type baffle reduces the wall pressure of the tank caused by liquid sloshing. The wave suppression effect is particularly significant under longitudinal impact conditions, which exert the greatest impact force on the baffle. The reason is that when liquid flows through the ABHs, the propagation speed and direction of water waves are altered. The compression of the wavelength leads to a significant reduction in flow velocity, converting more kinetic energy into thermal energy for dissipation. The reduction in sloshing force lays a foundation for the lightweight design of the water tank’s supporting structure.
(3) Considering the structural strength of the baffle, the optimal positions for the ABHs are at the 80% and 20% water level lines on the baffle. The best wave and vibration suppression performance is achieved when the liquid level in the tank aligns horizontally with the ABHs on the baffle. The number of ABHs is not simply “the more, the better”; performance declines when the number is either greater or less than three. As the number of ABHs increased from one to three, the energy-focusing effect intensified. However, when the number exceeded three, the areal density of the baffle region decreased significantly, weakening the energy-focusing effect and consequently degrading the wave and vibration suppression performance.
The research object of this paper is the vertical baffle of a suspended water tank. However, as indicated by the literature [12,13,14,15], the optimal baffle shape and installation method vary for tanks of different geometries. Furthermore, the literature [38] suggests that adding a damping layer to the ABH can achieve better vibration suppression. Considering the specific application scenario of the ABH-type baffle in this study, the wave suppression effect after introducing damping has not been explored. Therefore, in the future, the two-dimensional ABH structure can be combined with other novel baffle designs, and factors such as temperature, fluid viscosity, and long-term material corrosion can be considered to systematically investigate the vibration and wave suppression performance of new ABH-type baffles with damping layers.
The core innovation of this study lies in the application of the acoustic black hole (ABH) theory to liquid sloshing suppression. Its essence is to focus structural flexural waves through the power-law thickness variation in the ABH structure (h(x) = εxm, m ≥ 2), achieving the local concentration and dissipation of vibrational energy. Meanwhile, by altering the direction of the fluid velocity vector and attenuating the sloshing kinetic energy, it ultimately alleviates structural vibration and liquid impact. This core mechanism is based on the laws of fluid–structure interaction (FSI) and the physical nature of wave propagation, and it is not only applicable to mitigating the vibration of suspended water tanks on high-speed trains, but also extendable to application scenarios in conventional railway transportation, urban rail transit and aviation fields, as well as related fields including mechanical vibration and structural dynamics. The research methods and findings can provide important guidance for addressing the vibration problems of various water tank structures.

Author Contributions

Methodology, S.D.; Software, Y.Z. and X.S.; Validation, S.D.; Formal analysis, Y.Z. and X.S.; Investigation, Y.Z. and W.B.; Resources, Y.Z.; Data curation, W.B.; Writing—original draft, Y.Z.; Writing—review & editing, S.L.; Visualization, X.S.; Supervision, S.L.; Project administration, S.L.; Funding acquisition, S.D. All authors have read and agreed to the published version of the manuscript.

Funding

This research received no external funding.

Data Availability Statement

The data presented in this study are available on request from the corresponding author.

Acknowledgments

Thanks for the financial support from KINGFAR INTERNATIONAL INC. (20230114479).

Conflicts of Interest

The authors declare no conflicts of interest.

References

  1. Gu, W.; Yang, G.; Xing, H.; Shi, Y.; Liu, T. Temporal Convolutional Network with Attention Mechanisms for Strong Wind Early Warning in High-Speed Railway Systems. Sustainability 2025, 17, 6339. [Google Scholar] [CrossRef]
  2. Yan, Z.; Wang, X.; Qin, W.; Zhao, Y. Evaluation and Evolution Law of Sustainable Development Capacity in the Railway Transportation Industry. J. Railw. Sci. Eng. 2020, 17, 3028–3035. [Google Scholar] [CrossRef]
  3. Ma, F.; Li, Y.; Niu, Y.; Wang, Z.; Qi, J.; Zhang, S. Fatigue Life Analysis of the Hoisted Water Tank Structure of High-Speed Trains. J. Lanzhou Jiaotong Univ. 2025, 44, 8–18. [Google Scholar]
  4. Zhao, S.; Che, Q.; Li, X.; Yang, J.; Niu, J. Fluid-Structure Interaction Characteristics and Baffle Opening Optimization Design of Water Tanks Under Braking Conditions of High-Speed Trains. Railw. Veh. 2025, 1–11. Available online: https://link.oversea.cnki.net/doi/10.20213/j.cnki.tdcl.2025.10.09.01 (accessed on 14 January 2026).
  5. Li, H. Vibration Cracking Analysis and Structural Optimization of the Auxiliary Water Tank Bracket of a Light Truck. Mach. Des. Res. 2020, 36, 193–197. [Google Scholar] [CrossRef]
  6. Li, P. Structural Optimization for Durability Cracking of the Upper Crossbeam of a Passenger Car Water Tank. Mech. Electr. Technol. 2020, 85–89. Available online: https://link.oversea.cnki.net/doi/10.19508/j.cnki.1672-4801.2020.01.024 (accessed on 14 January 2026).
  7. Fu, L.; Lu, C.; Fang, H. Analysis of arc transition in welding structures of breakwaters based on numerical simulation. Weld. Join. 2021, 20–28+62–63. [Google Scholar]
  8. Zhang, Z.; Li, S. Numerical Simulation Study on the Effect of Horizontal Perforated Baffles on Liquid Surface Sloshing in Cylindrical Water Tanks. J. Tsinghua Univ. Nat. Sci. Ed. 2018, 58, 934–940. [Google Scholar] [CrossRef]
  9. Wang, H.; Zhang, F.; Qin, H.; Wang XHe, W. Design and Optimization of T-Shaped Baffles for Tank Trucks Based on Improved NSGA-III. Mach. Des. Res. 2025, 41, 204–212. [Google Scholar] [CrossRef]
  10. Duan, L.; Yang, Z.; Zhang, Y.; Liu, C.; Liu, F. Experimental Study on the Effect of Baffles on Liquid Sloshing in Tank Truck Models. Mech. Eng. 2023, 45, 1109–1116. [Google Scholar]
  11. Lu, T.; Cao, D. SPH study of sloshing dynamics and energy dissipation characteristics in baffled tanks with varying baffle quantities. Ocean. Eng. 2025, 340, 122378. [Google Scholar] [CrossRef]
  12. Amirsardari, S.; Rouzbahani, A.; Khosravi, S.; Goudarzi, M.A. The effect of baffles on the re-distribution of dynamic forces in rectangular water tanks. Can. J. Civ. Eng. 2024, 52, 994–1009. [Google Scholar] [CrossRef]
  13. Lu, T.; Cao, D. Comparative study on wave response to vertical baffle orientation for resonant sloshing suppression in an upright cylindrical tank. Ocean. Eng. 2025, 341, 122526. [Google Scholar] [CrossRef]
  14. Ali, U.; Hu, C.; Dief, T.N.; Kamra, M.M. Enhanced sloshing control using novel shaped baffle. Phys. Fluids 2025, 37, 082123. [Google Scholar] [CrossRef]
  15. Feng, B.; Hu, M.; Zhou, S.; Yang, X.; Li, X. Experimental study on liquid sloshing in a rectangular tank with curved baffles. Ocean. Eng. 2025, 341, 122634. [Google Scholar] [CrossRef]
  16. Duan, Z.; Zhu, Y.; Wang, C.; Yuan, Y.; Xue, H.; Tang, W. Numerical and theoretical prediction of the thermodynamic response in marine LNG fuel tanks under sloshing conditions. Energy 2023, 270, 86–15911066230. [Google Scholar] [CrossRef]
  17. Dong, F.; Zhang, W.; Hu, W.; Cao, X. Numerical investigation on the effects of wave suppression baffles in vehicle-integrated water tanks. Proc. Inst. Mech. Eng. Part D J. Automob. Eng. 2025, 239, 760–774. [Google Scholar] [CrossRef]
  18. Zhang, Q.; Wu, P. High-speed Railway, Green Innovation, and Industrial Structure Upgrading. J. Hunan Univ. Financ. Econ. 2025, 41, 73–84. [Google Scholar] [CrossRef]
  19. Hou, N. Structural Analysis and Optimization Design of Under-Vehicle Hoisted Water Tanks Based on Fluid-Structure Interaction. Master’s Thesis, Dalian Jiaotong University, Dalian, China, 2021. [Google Scholar]
  20. Pelat, A.; Gautier, F.; Conlon, S.C.; Semperlotti, F. The acoustic black hole: A review of theory and applications. J. Sound Vib. 2020, 476, 115316. [Google Scholar] [CrossRef]
  21. Huang, W.; Ji, H.; Qiu, J.; Cheng, L. Analysis of ray trajectories of flexural waves propagating over generalized acoustic black hole indentations. J. Sound Vib. 2018, 417, 216–226. [Google Scholar] [CrossRef]
  22. Zhu, H.; Semperlotti, F. Two-dimensional structure-embedded acoustic lenses based on periodic acoustic black holes. J. Appl. Phys. 2017, 122, 065104. [Google Scholar] [CrossRef]
  23. Gao, N.; Zhang, Z.; Wang, Q.; Guo, X.; Chen, K.; Hou, H. Research Progress and Applications of Acoustic Black Holes. Chin. Sci. Bull. 2022, 67, 1203–1213. [Google Scholar] [CrossRef]
  24. Li, X. Research on the Mechanical Properties of One-Dimensional Acoustic Black Hole Structures. Ph.D. Thesis, Tianjin University, Tianjin, China, 2018. [Google Scholar] [CrossRef]
  25. Bowyer Elizabeth, P.; Krylov Victor, V. A review of experimental investigations into the acoustic black hole effect and its applications for reduction of flexural vibrations and structure-borne sound. Inter-Noise Noise-Con Congr. Conf. Proc. 2015, 250, 2594–2605. [Google Scholar]
  26. Cheer, J.; Hook, K.; Daley, S. Active feedforward control of flexural waves in an Acoustic Black Hole terminated beam. Smart Mater. Struct. 2021, 30, 035003. [Google Scholar] [CrossRef]
  27. Wen, H.; Huang, H.; Shi, Z.; Guo, J. Acoustic-Vibration Characteristics Analysis of Stiffened Plates with Acoustic Black Holes. J. Ship Mech. 2024, 28, 442–449. [Google Scholar]
  28. Wang, L.; Zhao, Z.; Li, G.; Ding, W. Strength Analysis of Railway Passenger Car Water Tank Based on Bidirectional Fluid-Structure Coupling. J. Mech. Strength 2021, 43, 464–469. [Google Scholar] [CrossRef]
  29. Chen, W.; Lu, C.; Gao, J.; Zhang, W.; Liu, Y. Improvement on Inertial Failure of Water Leakage in Railway Passenger Car Water Tank. Railw. Veh. 2019, 57, 19–21+4. [Google Scholar] [CrossRef]
  30. Xu, C.; Xu, F. Fluid-structure interaction dynamic analysis of large civil aircraft tank sloshing. J. Phys. Conf. Ser. 2024, 2756, 012038. [Google Scholar] [CrossRef]
  31. Michel, J.; Durante, D.; Colagrossi, A.; Marrone, S. Energy dissipation in violent three-dimensional sloshing flows induced by high-frequency vertical accelerations. Phys. Fluids 2022, 34, 102114. [Google Scholar] [CrossRef]
  32. Wu, J.; Ma, B.; Yang, H.; Zhou, F. Research on the Development Model and Influencing Factors of 400 km/h High-Speed Railway. Railw. Econ. Res. 2024, 6, 42–46+64. Available online: https://link.oversea.cnki.net/doi/10.20162/j.cnki.issn.1004-9746.2024.06.06 (accessed on 14 January 2026).
  33. TB/T 1720-2017; Water Supply Devices of Railway Passenger Car and EMU/DMU (English Version). Standards Press of China: Beijing, China, 2017.
  34. Yang, L.J.; Fang, S.Y. Mesh Independence Verification of Curved Square Tubes Based on FLUENT. J. Beibu Gulf Univ. 2023, 38, 63–69. [Google Scholar] [CrossRef]
  35. Liu, S.Y. Stress Testing and Life Assessment of Locomotive Fuel Tanks. Master’s Thesis, Southwest Jiaotong University, Chengdu, China, 2020. [Google Scholar] [CrossRef]
  36. Li, Y. Strength and Fatigue Life Analysis of the Hoisted Water Tank Structure of High-Speed Trains. Master’s Thesis, Dalian Jiaotong University, Dalian, China, 2025. [Google Scholar] [CrossRef]
  37. Zhang, X. Structural Optimization Design of Train Water Tanks Based on Fluid-Structure Interaction Analysis. Master’s Thesis, Shijiazhuang Tiedao University, Shijiazhuang, China, 2021. [Google Scholar] [CrossRef]
  38. Deng, J.; Ma, J.; Chen, X.; Yang, Y.; Gao, N.; Liu, J. Vibration damping by periodic additive acoustic black holes. J. Sound Vib. 2024, 574, 118235. [Google Scholar] [CrossRef]
Figure 1. (a) Water tank; (b) Fluid Domain.
Figure 1. (a) Water tank; (b) Fluid Domain.
Applsci 16 01807 g001
Figure 2. (a) Water Tank Grid; (b) Fluid Domain Grid.
Figure 2. (a) Water Tank Grid; (b) Fluid Domain Grid.
Applsci 16 01807 g002
Figure 3. Two-Way Fluid–Structure Interaction (FSI) Flow Chart.
Figure 3. Two-Way Fluid–Structure Interaction (FSI) Flow Chart.
Applsci 16 01807 g003
Figure 4. Impact Load Acceleration Curve.
Figure 4. Impact Load Acceleration Curve.
Applsci 16 01807 g004
Figure 5. Schematic Diagram of Bending Wave Radiation in the Baffle.
Figure 5. Schematic Diagram of Bending Wave Radiation in the Baffle.
Applsci 16 01807 g005
Figure 6. (a) Two-Dimensional ABH Plate; (b) Cross-Section Thickness Variation.
Figure 6. (a) Two-Dimensional ABH Plate; (b) Cross-Section Thickness Variation.
Applsci 16 01807 g006
Figure 7. Comparison diagram of vertical position test inside and outside the fuel tank and simulated damage.
Figure 7. Comparison diagram of vertical position test inside and outside the fuel tank and simulated damage.
Applsci 16 01807 g007
Figure 8. (a) Time–History Curves of Inner Wall Pressure of Water Tank Under Longitudinal Impact; (b) Time–History Curves of Inner Wall Pressure of Water Tank Under Transverse Impact.
Figure 8. (a) Time–History Curves of Inner Wall Pressure of Water Tank Under Longitudinal Impact; (b) Time–History Curves of Inner Wall Pressure of Water Tank Under Transverse Impact.
Applsci 16 01807 g008
Figure 9. (a) Schematic Diagram of Liquid Surface Evolution Under Longitudinal Impact; (b) Schematic Diagram of Liquid Surface Evolution Under Transverse Impact. Arrow: time direction.
Figure 9. (a) Schematic Diagram of Liquid Surface Evolution Under Longitudinal Impact; (b) Schematic Diagram of Liquid Surface Evolution Under Transverse Impact. Arrow: time direction.
Applsci 16 01807 g009
Figure 10. Schematic Diagram of ABH Embedded in the Baffle.
Figure 10. Schematic Diagram of ABH Embedded in the Baffle.
Applsci 16 01807 g010
Figure 11. Orthogonal Test Results.
Figure 11. Orthogonal Test Results.
Applsci 16 01807 g011
Figure 12. ABH-Type Baffle.
Figure 12. ABH-Type Baffle.
Applsci 16 01807 g012
Figure 13. (a) Water Tank Inner Wall Pressure Under Longitudinal Impact; (b) Baffle Vibration Velocity Level Under Longitudinal Impact; (c) Water Tank Inner Wall Pressure Under Transverse Impact; (d) Baffle Vibration Velocity Level Under Transverse Impact.
Figure 13. (a) Water Tank Inner Wall Pressure Under Longitudinal Impact; (b) Baffle Vibration Velocity Level Under Longitudinal Impact; (c) Water Tank Inner Wall Pressure Under Transverse Impact; (d) Baffle Vibration Velocity Level Under Transverse Impact.
Applsci 16 01807 g013
Figure 14. Direction of Fluid Velocity Vector. Arrow: time direction.
Figure 14. Direction of Fluid Velocity Vector. Arrow: time direction.
Applsci 16 01807 g014
Figure 15. Position of the ABH.
Figure 15. Position of the ABH.
Applsci 16 01807 g015
Figure 16. (a) Wave-Suppression Effect; (b) Vibration-Suppression Effect; (c) Print 1—Vibration Energy Cloud Diagram; (d) Control Group—Vibration Energy Cloud Diagram.
Figure 16. (a) Wave-Suppression Effect; (b) Vibration-Suppression Effect; (c) Print 1—Vibration Energy Cloud Diagram; (d) Control Group—Vibration Energy Cloud Diagram.
Applsci 16 01807 g016
Figure 17. (a) Scheme 1; (b) Scheme 2; (c) Scheme 3; (d) Scheme 4; (e) Wave Suppression Effect; (f) Vibration Suppression Effect.
Figure 17. (a) Scheme 1; (b) Scheme 2; (c) Scheme 3; (d) Scheme 4; (e) Wave Suppression Effect; (f) Vibration Suppression Effect.
Applsci 16 01807 g017
Figure 18. (a) Front and Rear Surface Pressure of the Baffle; (b) Stress Cloud Diagram of the Baffle.
Figure 18. (a) Front and Rear Surface Pressure of the Baffle; (b) Stress Cloud Diagram of the Baffle.
Applsci 16 01807 g018
Figure 19. (a) Baffle Surface Vibration Velocity Level; (b) f = 69 Hz Two Types of Baffles—Vibration Energy-Cloud Diagrams.
Figure 19. (a) Baffle Surface Vibration Velocity Level; (b) f = 69 Hz Two Types of Baffles—Vibration Energy-Cloud Diagrams.
Applsci 16 01807 g019
Figure 20. (a) Longitudinal Impact Water-Tank Inner-Wall Pressure Variation Curve; (b) Longitudinal Impact Water-Tank Inner-Wall Pressure Mean Value; (c) Transverse Impact Water-Tank Inner-Wall Pressure Variation Curve; (d) Transverse Impact Water-Tank Inner-Wall Pressure Mean Value.
Figure 20. (a) Longitudinal Impact Water-Tank Inner-Wall Pressure Variation Curve; (b) Longitudinal Impact Water-Tank Inner-Wall Pressure Mean Value; (c) Transverse Impact Water-Tank Inner-Wall Pressure Variation Curve; (d) Transverse Impact Water-Tank Inner-Wall Pressure Mean Value.
Applsci 16 01807 g020aApplsci 16 01807 g020b
Table 1. Material Parameters.
Table 1. Material Parameters.
Material NameDensityElastic Modulus MPaPoisson’s RatioYield Strength MPa
Q 3457.85 × 10−62.1 × 1050.3345
Table 2. Grid Independence Verification Data.
Table 2. Grid Independence Verification Data.
Element Size (mm)Water TankFluid DomainPressure (N)Error
ElementNodeElementNode
101,220,1451,955,4871,684,2392,422,1503372.41.25%
91,712,3472,689,9352,321,4513,312,8613330.30.31%
82,218,3303,471,5223,194,6654,536,1073320.10.11%
73,219,4324,963,5394,502,8186,362,9903316.5-
Table 3. ABH Parameters.
Table 3. ABH Parameters.
LevelConsiderations
Truncated Thickness h0 (mm)Power Exponent mDiameter D (m)
11.320.09
21.430.10
31.540.11
Table 4. Orthogonal Test Results.
Table 4. Orthogonal Test Results.
ConsiderationsPower-Law ExpressionAverage Vibration-Speed Level (dB)
Truncated Thickness
h0 (mm)
Power Exponent mDiameter D (m)
1111h(x) = 0.84x2166.65
2112h(x) = 0.68x2166.54
3113h(x) = 0.56x2166.59
……
25331h(x) = 365.80x4166.85
26332h(x) = 240.00x4166.79
27333h(x) = 163.92x4166.86
Table 5. Test Results.
Table 5. Test Results.
Operating ConditionBaffle TypeAverage Vibration Velocity Level (dB)Vibration Suppression Effect (dB)Average Wall Pressure (N)Wave Suppression Effect (N)
Longitudinal ImpactABH165.471.181877.438.4
Without ABH166.65--1915.8--
Transverse ImpactABH161.201.011085.421.4
Without ABH162.21--1106.8--
Table 6. Test Results.
Table 6. Test Results.
Baffle TypeAverage Vibration-Velocity Level (dB)Vibration-Suppression Effect (dB)
ABH165.513.17
Without ABH168.68--
Disclaimer/Publisher’s Note: The statements, opinions and data contained in all publications are solely those of the individual author(s) and contributor(s) and not of MDPI and/or the editor(s). MDPI and/or the editor(s) disclaim responsibility for any injury to people or property resulting from any ideas, methods, instructions or products referred to in the content.

Share and Cite

MDPI and ACS Style

Dong, S.; Zhao, Y.; Li, S.; Bai, W.; Shan, X. Research on Acoustic-Black-Hole-Type Baffles for Suspended Water Tanks of High-Speed Trains: Considering Vibration and Wave Suppression Characteristics. Appl. Sci. 2026, 16, 1807. https://doi.org/10.3390/app16041807

AMA Style

Dong S, Zhao Y, Li S, Bai W, Shan X. Research on Acoustic-Black-Hole-Type Baffles for Suspended Water Tanks of High-Speed Trains: Considering Vibration and Wave Suppression Characteristics. Applied Sciences. 2026; 16(4):1807. https://doi.org/10.3390/app16041807

Chicago/Turabian Style

Dong, Sihui, Yuebiao Zhao, Shiqun Li, Wenhao Bai, and Xiang Shan. 2026. "Research on Acoustic-Black-Hole-Type Baffles for Suspended Water Tanks of High-Speed Trains: Considering Vibration and Wave Suppression Characteristics" Applied Sciences 16, no. 4: 1807. https://doi.org/10.3390/app16041807

APA Style

Dong, S., Zhao, Y., Li, S., Bai, W., & Shan, X. (2026). Research on Acoustic-Black-Hole-Type Baffles for Suspended Water Tanks of High-Speed Trains: Considering Vibration and Wave Suppression Characteristics. Applied Sciences, 16(4), 1807. https://doi.org/10.3390/app16041807

Note that from the first issue of 2016, this journal uses article numbers instead of page numbers. See further details here.

Article Metrics

Back to TopTop