Improvement of Refined Rapeseed Oil Thermal Resistance by Native Antioxidants Present in Rapeseed, Coriander, and Apricot Cold-Pressed Oils
Abstract
1. Introduction
2. Materials and Methods
2.1. Research Material
2.2. Blends Preparation
2.3. Heating Procedure
2.4. Fatty Acid Groups
2.5. Calculation of Iodine Value
2.6. Indices of Lipid Nutritional Quality
2.7. Color Index Analysis
2.8. Total Polar Compound Content Analysis
2.9. Oxidized TAG Monomer Content and TAG Polymer Content Analysis
2.10. Statistical Calculation
3. Results and Discussion
3.1. Characteristics of Cold-Pressed Oils
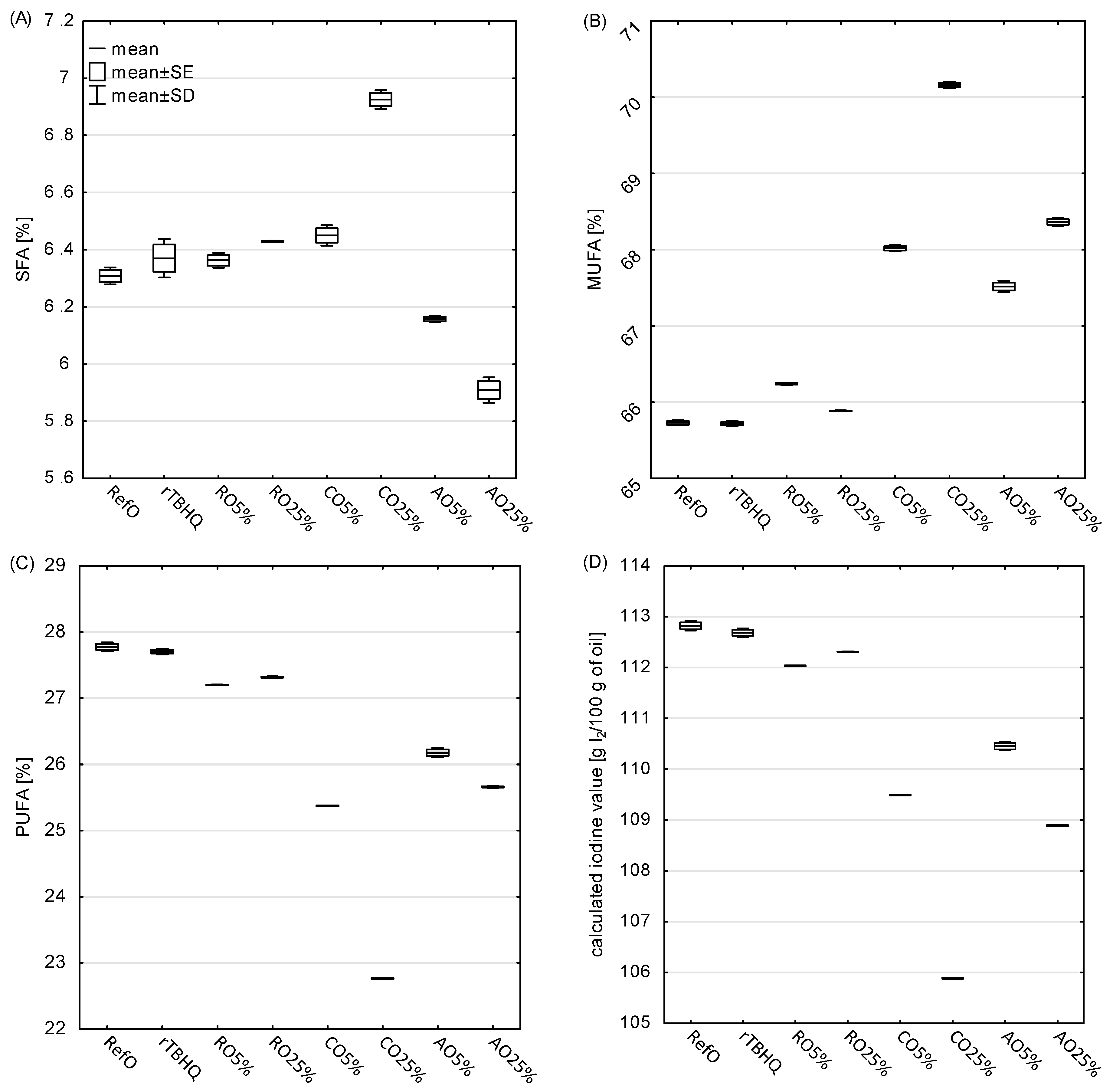
3.2. Fatty Acid Groups and Calculated Iodine Value (CIV)
3.3. Indices of Lipid Nutritional Quality
3.4. Color Index
3.5. Total Polar Compounds (TPCs) and Oxidized TAG Monomer (oxTAG) Content
3.6. Triacylglycerol (TAG) Polymer Content
3.7. Correlation Analysis
3.8. Principal Component Analysis (PCA)
4. Conclusions
Supplementary Materials
Author Contributions
Funding
Data Availability Statement
Conflicts of Interest
References
- Yang, R.; Zhang, L.; Li, P.; Yu, L.; Mao, J.; Wang, X.; Zhang, Q. A review of chemical composition and nutritional properties of minor vegetable oils in China. Trends Food Sci. Technol. 2018, 74, 26–32. [Google Scholar] [CrossRef]
- Gangopadhyay, N. Oils Extracted from Nuts and Grains. In Oil and Oilseed Processing; Lafarga, T., Bobo, G., Aguiló-Aguayo, I., Eds.; John Wiley & Sons Ltd.: Hoboken, NJ, USA, 2021; pp. 61–79. [Google Scholar]
- Liu, X.; Wang, S.; Masui, E.; Tamogami, S.; Chen, J.; Zhang, H. Model for prediction of the carbonyl value of frying oil from the initial composition. LWT 2020, 117, 108660. [Google Scholar] [CrossRef]
- Grajzer, M.; Prescha, A.; Korzonek, K.; Wojakowska, A.; Dziadas, M.; Kulma, A.; Grajeta, H. Characteristics of rose hip (Rosa canina L.) cold-pressed oil and its oxidative stability studied by the differential scanning calorimetry method. Food Chem. 2015, 188, 459–466. [Google Scholar] [CrossRef] [PubMed]
- Winkler, J.K.; Warner, K. The effect of phytosterol concentration on oxidative stability and thermal polymerization of heated oils. Eur. J. Lipid Sci. Technol. 2008, 110, 455–464. [Google Scholar] [CrossRef]
- Nyström, L.; Achrenius, T.; Lampi, A.M.; Moreau, R.A.; Piironen, V. A comparison of the antioxidant properties of steryl ferulates with tocopherol at high temperatures. Food Chem. 2007, 101, 947–954. [Google Scholar] [CrossRef]
- Barrera-Arellano, D.; Ruiz-Méndez, V.; Velasco, J.; Márquez-Ruiz, G.; Dobarganes, C. Loss of tocopherols and formation of degradation compounds at frying temperatures in oils differing in degree of unsaturation and natural antioxidant content. J. Sci. Food Agric. 2002, 82, 1696–1702. [Google Scholar] [CrossRef]
- Fedko, M.; Kmiecik, D.; Siger, A.; Majcher, M. The Stability of Refined Rapeseed Oil Fortified by Cold-Pressed and Essential Black Cumin Oils under a Heating Treatment. Molecules 2022, 27, 2461. [Google Scholar] [CrossRef]
- Kmiecik, D.; Fedko, M.; Siger, A.; Kowalczewski, P.Ł. Nutritional Quality and Oxidative Stability during Thermal Processing of Cold-Pressed Oil Blends with 5:1 Ratio of ω6/ω3 Fatty Acids. Foods 2022, 11, 1081. [Google Scholar] [CrossRef]
- Kancheva, V.D.; Angelova, S.E. Synergistic effects of antioxidant compositions during inhibited lipid autoxidation. In Lipid Peroxidation: Inhibition, Effects and Mechanisms; Nova Science Publishers Inc.: New York, NY, USA, 2017; pp. 49–81. ISBN 978-153610530-8, 978-153610506-3. [Google Scholar]
- Santos, S.C.; Fortes, G.A.C.; Camargo, L.T.F.M.; Camargo, A.J.; Ferri, P.H. Antioxidant effects of polyphenolic compounds and structure-activity relationship predicted by multivariate regression tree. LWT 2021, 137, 110366. [Google Scholar] [CrossRef]
- Manukyan, A. Secondary metabolites and their antioxidant capacity of Caucasian endemic thyme (Thymus transcaucasicus Ronn.) as affected by environmental stress. J. Appl. Res. Med. Aromat. Plants 2019, 13, 100209. [Google Scholar] [CrossRef]
- Romero, A.; Bastida, S.; Sánchez-Muniz, F.J. Cyclic fatty acid monomer formation in domestic frying of frozen foods in sunflower oil and high oleic acid sunflower oil without oil replenishment. Food Chem. Toxicol. 2006, 44, 1674–1681. [Google Scholar] [CrossRef] [PubMed]
- Xu, L.; Yang, F.; Li, X.; Zhao, C.; Jin, Q.; Huang, J.; Wang, X. Kinetics of forming polar compounds in frying oils under frying practice of fast food restaurants. LWT 2019, 115, 108307. [Google Scholar] [CrossRef]
- Huang, J.; Zhao, N.; Wang, L.; He, H.; Song, Z.; Xingguo, W. Effect of amino acids on the formation and distribution of volatile aldehydes in high oleic sunflower oil during frying. Food Res. Int. 2024, 192, 114749. [Google Scholar] [CrossRef]
- Wei, C.; Wang, X.; Ai, Y.; Zhang, S.; Zhang, X.; Zhou, Y.; Lu, S.; Gu, H.; Zhang, X.; Luo, X.; et al. Effect of oleic/linoleic acid ratio on simultaneous formation of epoxy fatty acids and polar compounds in deep frying oils. LWT 2023, 187, 115389. [Google Scholar] [CrossRef]
- Li, X.; Wu, G.; Yang, F.; Meng, L.; Huang, J.; Zhang, H.; Jin, Q.; Wang, X. Influence of fried food and oil type on the distribution of polar compounds in discarded oil during restaurant deep frying. Food Chem. 2019, 272, 12–17. [Google Scholar] [CrossRef]
- Cao, X.; Li, X.; Shu, N.; Tan, C.P.; Xu, Y.J.; Liu, Y. The Characteristics and Analysis of Polar Compounds in Deep-Frying Oil: A Mini Review. Food Anal. Methods 2022, 15, 2767–2776. [Google Scholar] [CrossRef]
- Al Amin, M.; Ali, M.A.; Alam, M.S.; Nahar, A.; Chew, S.C. Oxidative degradation of sunflower oil blended with roasted sesame oil during heating at frying temperature. Grain Oil Sci. Technol. 2023, 6, 34–42. [Google Scholar] [CrossRef]
- Liu, G.; Wu, Y.; Xu, X.; Xu, X.; Liang, L.; Zhang, J.; Wen, C.; Li, Y.; He, X.; Xu, X.; et al. The relationship between the deterioration of frying oil and the generation of hazards during frying. Food Addit. Contam.-Part A 2024, 41, 1554–1569. [Google Scholar] [CrossRef]
- Grootveld, M.; Percival, B.C.; Leenders, J.; Wilson, P.B. Potential adverse public health effects afforded by the ingestion of dietary lipid oxidation product toxins: Significance of fried food sources. Nutrients 2020, 12, 974. [Google Scholar] [CrossRef] [PubMed]
- Grootveld, M. Evidence-Based Challenges to the Continued Recommendation and Use of Peroxidatively-Susceptible Polyunsaturated Fatty Acid-Rich Culinary Oils for High-Temperature Frying Practises: Experimental Revelations Focused on Toxic Aldehydic Lipid Oxidation Products. Front. Nutr. 2022, 8, 711640. [Google Scholar] [CrossRef]
- Zhao, M.; Liu, Z.; Zhang, W.; Xia, G.; Li, C.; Rakariyatham, K.; Zhou, D. Advance in aldehydes derived from lipid oxidation: A review of the formation mechanism, attributable food thermal processing technology, analytical method and toxicological effect. Food Res. Int. 2025, 203, 115811. [Google Scholar] [CrossRef] [PubMed]
- Honerlaw, J.P.; Ho, Y.L.; Nguyen, X.M.T.; Cho, K.; Vassy, J.L.; Gagnon, D.R.; O’Donnell, C.J.; Gaziano, J.M.; Wilson, P.W.F.; Djousse, L. Fried food consumption and risk of coronary artery disease: The Million Veteran Program. Clin. Nutr. 2020, 39, 1203–1208. [Google Scholar] [CrossRef] [PubMed]
- Wang, A.; Wan, X.; Zhuang, P.; Jia, W.; Ao, Y.; Liu, X.; Tian, Y.; Zhu, L.; Huang, Y.; Yao, J.; et al. High fried food consumption impacts anxiety and depression due to lipid metabolism disturbance and neuroinflammation. Proc. Natl. Acad. Sci. USA 2023, 120, e2221097120. [Google Scholar] [CrossRef]
- Dangal, A.; Tahergorabi, R.; Acharya, D.R.; Timsina, P.; Rai, R.; Dahal, S.; Acharya, P.; Giuffrè, A.M. Review on deep-fat fried foods: Physical and chemical attributes, and consequences of high consumption. Eur. Food Res. Technol. 2024, 250, 1537–1550. [Google Scholar] [CrossRef]
- Zhao, X.; Wu, S.; Gong, G.; Li, G.; Zhuang, L. TBHQ and peanut skin inhibit accumulation of PAHs and oxygenated PAHs in peanuts during frying. Food Control 2017, 75, 99–107. [Google Scholar] [CrossRef]
- Liu, X.; Zhang, X.; Wu, Y.; Xu, X.; Xu, X.; Liang, L.; Zhang, J.; Wen, C.; Li, Y.; He, X.; et al. Inhibition of TBHQ and TPP on Four Categories of Food Safety Hazards in Fried Potatoes. Food Bioprocess Technol. 2025, 18, 519–533. [Google Scholar] [CrossRef]
- Xu, X.; Liu, A.; Hu, S.; Ares, I.; Martínez-Larrañaga, M.R.; Wang, X.; Martínez, M.; Anadón, A.; Martínez, M.A. Synthetic phenolic antioxidants: Metabolism, hazards and mechanism of action. Food Chem. 2021, 353, 129488. [Google Scholar] [CrossRef]
- Ren, J.; Li, Z.; Li, X.; Yang, L.; Bu, Z.; Wu, Y.; Li, Y.; Zhang, S.; Meng, X. Exploring the Mechanisms of the Antioxidants BHA, BHT, and TBHQ in Hepatotoxicity, Nephrotoxicity, and Neurotoxicity from the Perspective of Network Toxicology. Foods 2025, 14, 1095. [Google Scholar] [CrossRef]
- Khezerlou, A.; Akhlaghi, A.P.; Alizadeh, A.M.; Dehghan, P.; Maleki, P. Alarming impact of the excessive use of tert-butylhydroquinone in food products: A narrative review. Toxicol. Rep. 2022, 9, 1066–1075. [Google Scholar] [CrossRef]
- Wu, G.; Han, S.; Zhang, Y.; Liu, T.T.; Karrar, E.; Jin, Q.; Zhang, H.; Wang, X. Effect of phenolic extracts from Camellia oleifera seed cake on the formation of polar compounds, core aldehydes, and monoepoxy oleic acids during deep-fat frying. Food Chem. 2022, 372, 131143. [Google Scholar] [CrossRef]
- Li, P.; Yang, X.; Jun, W.; Huang, F.; Wang, Y.; Li, Y. Comparison between synthetic and rosemary-based antioxidants for the deep frying of French fries in refined soybean oils evaluated by chemical and non-destructive rapid methods. Food Chem. 2021, 335, 127638. [Google Scholar] [CrossRef] [PubMed]
- Manzoor, S.; Masoodi, F.A.; Rashid, R.; Dar, M.M. Improving oxidative stability of soyabean oil by apple pomace extract during deep frying of french fries. Food Biosci. 2022, 49, 101874. [Google Scholar] [CrossRef]
- Sharma, S.; Cheng, S.; Bhattacharya, B.; Chakkaravarthi, S. Efficacy of free and encapsulated natural antioxidants in oxidative stability of edible oil: Special emphasis on nanoemulsion-based encapsulation. Trends Food Sci. Technol. 2019, 91, 305–318. [Google Scholar] [CrossRef]
- Pérez-López, A.J.; Luis, N.-A.; González, S.L.-M.; Miguel, P.G.-S.; Ferrández, B.; Carbonell-Barrachina, Á.A. Acrylamide content in French fries prepared with vegetable oils enriched with β-cyclodextrin or β-cyclodextrin-carvacrol complexes. LWT 2021, 148, 111765. [Google Scholar] [CrossRef]
- Konopka, I.; Tańska, M.; Dąbrowski, G.; Ogrodowska, D.; Czaplicki, S. Edible Oils from Selected Unconventional Sources—A Comprehensive Review of Fatty Acid Composition and Phytochemicals Content. Appl. Sci. 2023, 13, 12829. [Google Scholar] [CrossRef]
- Rigano, F.; Vento, F.; Cafarella, C.; Trovato, E.; Trozzi, A.; Dugo, P.; Mondello, L. Determination of main lipids and volatile compounds in unconventional cold-pressed seed oils through chromatographic techniques. J. Food Sci. 2025, 90, e17661. [Google Scholar] [CrossRef]
- Grygier, A.; Chakradhari, S.; Rudzińska, M.; Wroniak, M.; Segliņa, D.; Patel, K.S.; Soliven, A.; Górnaś, P. Comparative analysis of lipophilic phytochemicals in seed oils of six aromatic plant species. Eur. Food Res. Technol. 2025, 251, 2993–3005. [Google Scholar] [CrossRef]
- Symoniuk, E.; Wroniak, M.; Napiórkowska, K.; Brzezińska, R.; Ratusz, K. Oxidative Stability and Antioxidant Activity of Selected Cold-Pressed Oils and Oils Mixtures. Foods 2022, 11, 1597. [Google Scholar] [CrossRef]
- Rabiej-Kozioł, D.; Momot-Ruppert, M.; Stawicka, B.; Szydłowska-Czerniak, A. Health Benefits, Antioxidant Activity, and Sensory Attributes of Selected Cold-Pressed Oils. Molecules 2023, 28, 5484. [Google Scholar] [CrossRef]
- Zou, M.; Chen, Y.; Hu, C.; He, D.; Gao, P. Physicochemical properties of rice bran blended oil in deep frying by principal component analysis. J. Food Sci. Technol. 2022, 59, 4187–4197. [Google Scholar] [CrossRef] [PubMed]
- Zhang, Y.; Fan, L.P. Thermal stability and frying performance of low-saturated blending vegetable oil. Food Ferment. Ind. 2019, 45, 75–81. [Google Scholar] [CrossRef]
- Ramroudi, F.; Yasini Ardakani, S.A.; Dehghani-Tafti, A.; Khalili Sadrabad, E. Investigation of the Physicochemical Properties of Vegetable Oils Blended with Sesame Oil and Their Oxidative Stability during Frying. Int. J. Food Sci. 2022, 2022, 3165512. [Google Scholar] [CrossRef] [PubMed]
- Wroniak, M.; Rękas, A. Nutritional value of cold-pressed rapeseed oil during long term storage as influenced by the type of packaging material, exposure to light & oxygen and storage temperature. J. Food Sci. Technol. 2016, 53, 1338–1347. [Google Scholar] [CrossRef]
- Dedebas, T.; Ekici, L.; Sagdic, O. Chemical characteristics and storage stabilities of different cold-pressed seed oils. J. Food Process. Preserv. 2021, 45, e15107. [Google Scholar] [CrossRef]
- Ali, R.F.M.; El-Anany, A.M. Physico-chemical characteristics, nutritional quality, and oxidative stability of cold-pressed chia seed oil, date palm seed oil, along with their binary mixtures. Cogent Food Agric. 2025, 11, 2466061. [Google Scholar] [CrossRef]
- Perna, M.; Hewlings, S. Saturated Fatty Acid Chain Length and Risk of Cardiovascular Disease: A Systematic Review. Nutrients 2023, 15, 30. [Google Scholar] [CrossRef]
- Li, Z.; Lei, H.; Jiang, H.; Fan, Y.; Shi, J.; Li, C.; Chen, F.; Mi, B.; Ma, M.; Lin, J.; et al. Saturated fatty acid biomarkers and risk of cardiometabolic diseases: A meta-analysis of prospective studies. Front. Nutr. 2022, 9, 963471. [Google Scholar] [CrossRef]
- Shetty, S.S.; Kumari, N.S.; Varadarajan, R. The ratio of omega-6/omega-3 fatty acid: Implications and application as a marker to diabetes. In Biomarkers in Diabetes; Patel, V.B., Preedy, V.R., Eds.; Springer International Publishing: London, UK, 2022; pp. 449–467. [Google Scholar]
- Kousparou, C.; Fyrilla, M.; Stephanou, A.; Patrikios, I. DHA/EPA (Omega-3) and LA/GLA (Omega-6) as Bioactive Molecules in Neurodegenerative Diseases. Int. J. Mol. Sci. 2023, 24, 10717. [Google Scholar] [CrossRef]
- Simopoulos, A.P. The importance of the ratio of omega-6/omega-3 essential fatty acids. Biomed. Pharmacother. 2002, 56, 365–379. [Google Scholar] [CrossRef]
- WHO and FAO Joint Consultation: Fats and Oils in Human Nutrition. Nutr. Rev. 1995, 53, 202–205. [CrossRef]
- Mariamenatu, A.H.; Abdu, E.M. Overconsumption of Omega-6 Polyunsaturated Fatty Acids (PUFAs) versus Deficiency of Omega-3 PUFAs in Modern-Day Diets: The Disturbing Factor for Their “Balanced Antagonistic Metabolic Functions” in the Human Body. J. Lipids 2021, 2021, 8848161. [Google Scholar] [CrossRef]
- British Department of Health. Nutritional Aspects of Cardiovascular Disease; Report on Health and Social Subjects. No. 46.; H.M. Stationery Office: London, UK, 1994.
- Santos-Silva, J.; Bessa, R.J.B.; Santos-Silva, F. Effect of genotype, feeding system and slaughter weight on the quality of light lambs. II. Fatty acid composition of meat. Livest. Prod. Sci. 2002, 77, 187–194. [Google Scholar] [CrossRef]
- Moussavi Javardi, M.S.; Madani, Z.; Movahedi, A.; Karandish, M.; Abbasi, B. The correlation between dietary fat quality indices and lipid profile with Atherogenic index of plasma in obese and non-obese volunteers: A cross-sectional descriptive-analytic case-control study. Lipids Health Dis. 2020, 19, 213. [Google Scholar] [CrossRef]
- Pleadin, J.; Lešić, T.; Krešić, G.; Barić, R.; Bogdanović, T.; Oraić, D.; Vulić, A.; Legac, A.; ZrnčIć, S. Nutritional quality of different fish species farmed in the Adriatic sea. Ital. J. Food Sci. 2017, 29, 537–549. [Google Scholar]
- Attia, Y.A.; Al-Harthi, M.A.; Korish, M.A.; Shiboob, M.M. Fatty acid and cholesterol profiles and hypocholesterolemic, atherogenic, and thrombogenic indices of table eggs in the retail market. Lipids Health Dis. 2015, 14, 136. [Google Scholar] [CrossRef]
- Suri, K.; Singh, B.; Kaur, A.; Yadav, M.P. Physicochemical characteristics, oxidative stability, pigments, fatty acid profile and antioxidant properties of co-pressed oil from blends of peanuts, flaxseed and black cumin seeds. Food Chem. Adv. 2023, 2, 100231. [Google Scholar] [CrossRef]
- Fedko, M.; Siger, A.; Szydłowska-Czerniak, A.; Rabiej-Kozioł, D.; Tymczewska, A.; Włodarczyk, K.; Kmiecik, D. The Effect of High-Temperature Heating on Amounts of Bioactive Compounds and Antiradical Properties of Refined Rapeseed Oil Blended with Rapeseed, Coriander and Apricot Cold-Pressed Oils. Foods 2024, 13, 2336. [Google Scholar] [CrossRef] [PubMed]
- AOCS Official Method Cd 1c-85. Calculated iodine value. In Official Methods and Recommended Practices of the American Oil Chemists’ Society; American Oil Chemists’ Society: Champaign, IL, USA, 2009.
- Kmiecik, D.; Fedko, M.; Małecka, J.; Siger, A.; Kowalczewski, P.Ł. Effect of Heating Temperature of High-Quality Arbequina, Picual, Manzanilla and Cornicabra Olive Oils on Changes in Nutritional Indices of Lipid, Tocopherol Content and Triacylglycerol Polymerization Process. Molecules 2023, 28, 4247. [Google Scholar] [CrossRef]
- AOCS Official Method Cc 13c-50. Color of fats and oils, Spectrophotometric method. In Official Methods and Recommended Practices of the American Oil Chemists’ Society; American Oil Chemists’ Society: Champaign, IL, USA, 2009.
- AOCS Official Method 982.27. Polar components in frying fats. In Official Methods and Recommended Practices of the American Oil Chemists’ Society; American Oil Chemists’ Society: Champaign, IL, USA, 1984. [Google Scholar]
- Kmiecik, D.; Gramza-Michałowska, A.; Korczak, J. Anti-polymerization activity of tea and fruits extracts during rapeseed oil heating. Food Chem. 2018, 239, 858–864. [Google Scholar] [CrossRef] [PubMed]
- Santos, O.V.; Lemos, Y.S.; da Conceição, L.R.V.; Teixeira-Costa, B.E. Lipids from the purple and white açaí (Euterpe oleracea Mart) varieties: Nutritional, functional, and physicochemical properties. Front. Nutr. 2024, 11, 1385877. [Google Scholar] [CrossRef] [PubMed]
- Krumreich, F.D.; Mendonça, C.R.B.; Borges, C.D.; Crizel-Cardozo, M.M.; dos Santos, M.A.Z.; Otero, D.M.; Zambiazi, R.C. Margarida avocado oil: Effect of processing on quality, bioactive compounds and fatty acid profile. Food Chem. Adv. 2024, 4, 100617. [Google Scholar] [CrossRef]
- Szabo, Z.; Marosvölgyi, T.; Szabo, E.; Koczka, V.; Verzar, Z.; Figler, M.; Decsi, T. Effects of Repeated Heating on Fatty Acid Composition of Plant-Based Cooking Oils. Foods 2022, 11, 192. [Google Scholar] [CrossRef]
- Ahmad, A.; Husain, A.; Mujeeb, M.; Khan, S.A.; Najmi, A.K.; Siddique, N.A.; Damanhouri, Z.A.; Anwar, F. A review on therapeutic potential of Nigella sativa: A miracle herb. Asian Pac. J. Trop. Biomed. 2013, 3, 337–352. [Google Scholar] [CrossRef] [PubMed]
- Sahin Ozkan, K.; Ketenoglu, O.; Yorulmaz, A.; Tekin, A. Utilization of molecular distillation for determining the effects of some minor compounds on the quality and frying stability of olive pomace oil. J. Food Sci. Technol. 2019, 56, 3449–3460. [Google Scholar] [CrossRef] [PubMed]
- Aladedunye, F.; Przybylski, R. Performance of palm olein and modified rapeseed, sunflower, and soybean oils in intermittent deep-frying. Eur. J. Lipid Sci. Technol. 2014, 116, 144–152. [Google Scholar] [CrossRef]
- Nayak, P.K.; Dash, U.; Rayaguru, K.; Krishnan, K.R. Physio-Chemical Changes During Repeated Frying of Cooked Oil: A Review. J. Food Biochem. 2016, 40, 371–390. [Google Scholar] [CrossRef]
- Lazarick, K. Cause of Color Component Formation in Oils During Frying. Doctoral Dissertation, University of Lethbridge, Lethbridge, AB, Canada, 2012. [Google Scholar]
- Li, X.; Wang, Z.; Xing, C.; Chen, Z.; Sun, W.; Sun, C.; Xu, G.; Wang, X. Feasibility of total polar compound and its five components to evaluate the deterioration of heated and fried oil: Aspect of regulations of various countries. LWT 2022, 171, 114153. [Google Scholar] [CrossRef]
- Ahmad Tarmizi, A.H.; Hishamuddin, E.; Abd Razak, R.A. Impartial assessment of oil degradation through partitioning of polar compounds in vegetable oils under simulated frying practice of fast food restaurants. Food Control 2019, 96, 445–455. [Google Scholar] [CrossRef]
- Abrante-Pascual, S.; Nieva-Echevarría, B.; Goicoechea-Oses, E. Vegetable Oils and Their Use for Frying: A Review of Their Compositional Differences and Degradation. Foods 2024, 13, 4186. [Google Scholar] [CrossRef]
- Bazina, N.; Ahmed, T.; Almdaaf, M.; Hallalah, H.; Jibia, S. Chemical Changes in Deep-Fat Frying: Reaction Mechanisms, Oil Degradation, and Health Implications. Food Sci. Nutr. 2025, 13, e70969. [Google Scholar] [CrossRef]
- Xu, T.T.; Li, J.; Fan, Y.W.; Zheng, T.W.; Deng, Z.Y. Comparison of Oxidative Stability among Edible Oils under Continuous Frying Conditions. Int. J. Food Prop. 2015, 18, 1478–1490. [Google Scholar] [CrossRef]
- Aladedunye, F.; Przybylski, R. Frying stability of high oleic sunflower oils as affected by composition of tocopherol isomers and linoleic acid content. Food Chem. 2013, 141, 2373–2378. [Google Scholar] [CrossRef]
- Chen, J.; Zhang, L.; Zhao, P.; Wang, J.; Li, Q.; Yu, X. Comparison of non-volatile degradation products formed from different vegetable oils during deep frying of French fries. Int. J. Food Sci. Technol. 2022, 57, 6763–6772. [Google Scholar] [CrossRef]
- Chen, B.; Mcclements, D.J.; Decker, E.A. Minor Components in Food Oils: A Critical Review of their Roles on Lipid Oxidation Chemistry in Bulk Oils and Emulsions. Crit. Rev. Food Sci. Nutr. 2011, 51, 901–916. [Google Scholar] [CrossRef] [PubMed]
- Poon, J.; Pratt, D.A. Recent Insights on Hydrogen Atom Transfer in the Inhibition of Hydrocarbon Autoxidation. Acc. Chem. Res. 2018, 51, 1996–2005. [Google Scholar] [CrossRef]
- Warner, K.; Moser, J. Frying stability of purified mid-oleic sunflower oil triacylglycerols with added pure tocopherols and tocopherol mixtures. J. Am. Oil Chem. Soc. 2009, 86, 1199–1207. [Google Scholar] [CrossRef]
- Athanasiadis, V.; Chatzimitakos, T.; Kalompatsios, D.; Palaiogiannis, D.; Makrygiannis, I.; Bozinou, E.; Lalas, S.I. Evaluation of the Efficacy and Synergistic Effect of α- and δ-Tocopherol as Natural Antioxidants in the Stabilization of Sunflower Oil and Olive Pomace Oil during Storage Conditions. Int. J. Mol. Sci. 2023, 24, 1113. [Google Scholar] [CrossRef]
- Bruscatto, M.H.; Pestana-bauer, V.R.; Otero, D.M.; Zambiazi, R.C. Effects of heating temperature on the tocopherol contents of chemically and physically refined rice bran oil. Grasas Aceites 2019, 70, e294. [Google Scholar]
- Kmiecik, D.; Fedko, M.; Siger, A.; Kulczyński, B. Degradation of tocopherol molecules and its impact on the polymerization of triacylglycerols during heat treatment of oil. Molecules 2019, 24, 4555. [Google Scholar] [CrossRef] [PubMed]
- Kostadinović Veličkovska, S.; Catalin Moţ, A.; Mitrev, S.; Gulaboski, R.; Brühl, L.; Mirhosseini, H.; Silaghi-Dumitrescu, R.; Matthäus, B. Bioactive compounds and “in vitro” antioxidant activity of some traditional and non-traditional cold-pressed edible oils from Macedonia. J. Food Sci. Technol. 2018, 55, 1614–1623. [Google Scholar] [CrossRef]
- Günç Ergönül, P.; Aksoylu Özbek, Z. Identification of bioactive compounds and total phenol contents of cold pressed oils from safflower and camelina seeds. J. Food Meas. Charact. 2018, 12, 2313–2323. [Google Scholar] [CrossRef]
- Rabadán, A.; Álvarez-Ortí, M.; Pardo, J.E.; Alvarruiz, A. Storage stability and composition changes of three cold-pressed nut oils under refrigeration and room temperature conditions. Food Chem. 2018, 259, 31–35. [Google Scholar] [CrossRef]
- Del Carlo, M.; Sacchetti, G.; Di Mattia, C.; Compagnone, D.; Mastrocola, D.; Liberatore, L.; Cichelli, A. Contribution of the phenolic fraction to the antioxidant activity and oxidative stability of olive oil. J. Agric. Food Chem. 2004, 52, 4072–4079. [Google Scholar] [CrossRef]
- Zhang, Y.Y.; Zhang, F.; Thakur, K.; Ci, A.T.; Wang, H.; Zhang, J.G.; Wei, Z.J. Effect of natural polyphenol on the oxidative stability of pecan oil. Food Chem. Toxicol. 2018, 119, 489–495. [Google Scholar] [CrossRef]
- Jiménez, P.; García, P.; Bustamante, A.; Barriga, A.; Robert, P. Thermal stability of oils added with avocado (Persea americana cv. Hass) or olive (Olea europaea cv. Arbequina) leaf extracts during the French potatoes frying. Food Chem. 2017, 221, 123–129. [Google Scholar] [CrossRef]
- Belščak-Cvitanović, A.; Durgo, K.; Huđek, A.; Bačun-Družina, V.; Komes, D. Overview of polyphenols and their properties. In Polyphenols: Properties, Recovery, And Applications; Woodhead Publishing: Cambridge, UK, 2018; ISBN 9780128135723. [Google Scholar]
- Vuolo, M.M.; Lima, V.S.; Maróstica Junior, M.R. Phenolic Compounds: Structure, Classification, and Antioxidant Power; Elsevier Inc.: Amsterdam, The Netherlands, 2018; ISBN 9780128147757. [Google Scholar]
- Palmieri, S.; Pellegrini, M.; Ricci, A.; Compagnone, D.; Lo Sterzo, C. Chemical composition and antioxidant activity of thyme, hemp and coriander extracts: A comparison study of maceration, soxhlet, UAE and RSLDE techniques. Foods 2020, 9, 1221. [Google Scholar] [CrossRef]
- Cirillo, G.; Parisi, O.I.; Restuccia, D.; Puoci, F.; Picci, N. Antioxidant activity of phenolic acids: Correlation with chemical structure and in vitro assays for their analytical determination. In Phenolic Acids: Composition, Applications and Health Benefits; Munné-Bosch, S., Ed.; Nova Science Publishers Inc.: New York, NY, USA, 2012; pp. 1–33. [Google Scholar]
- Ramadan, M.F.; Moersel, J.T. Screening of the antiradical action of vegetable oils. J. Food Compos. Anal. 2006, 19, 838–842. [Google Scholar] [CrossRef]
- Yang, H.; Wang, D.; Lu, X.; Wang, X.; Blasi, F. Eugenol, obtained from the bioassay-guided fractionation of Coriandrum sativum essential oil, displayed antioxidant effect in deep-frying procedure of sunflower oil and improved sensory properties of fried products, Caijiao. J. Essent. Oil Res. 2022, 34, 240–250. [Google Scholar] [CrossRef]
- Baschieri, A.; Ajvazi, M.D.; Tonfack, J.L.F.; Valgimigli, L.; Amorati, R. Explaining the antioxidant activity of some common non-phenolic components of essential oils. Food Chem. 2017, 232, 656–663. [Google Scholar] [CrossRef] [PubMed]
- Khor, Y.P.; Sim, B.I.; Abas, F.; Lai, O.M.; Wang, Y.; Nehdi, I.A.; Sbihi, H.M.; Gewik, M.M.; Tan, C.P. Influence of carbohydrate- and protein-based foods on the formation of polar lipid fraction during deep-frying. Food Control 2020, 107, 106781. [Google Scholar] [CrossRef]
- Dobarganes, C.; Márquez-Ruiz, G. Possible adverse effects of frying with vegetable oils. Br. J. Nutr. 2015, 113, S49–S57. [Google Scholar] [CrossRef]
- Ben Hammouda, I.; Márquez-Ruiz, G.; Holgado, F.; Freitas, F.; Da Silva, M.D.R.G.; Bouaziz, M. Comparative study of polymers and total polar compounds as indicators of refined oil degradation during frying. Eur. Food Res. Technol. 2019, 245, 967–976. [Google Scholar] [CrossRef]
- Zaghi, A.N.; Barbalho, S.M.; Guiguer, E.L.; Otoboni, A.M. Frying Process: From Conventional to Air Frying Technology. Food Rev. Int. 2019, 35, 763–777. [Google Scholar] [CrossRef]
- Harzalli, Z.; Willenberg, I.; Medfai, W.; Matthäus, B.; Mhamdi, R.; Oueslati, I. Potential use of the bioactive compounds of the olive mill wastewater: Monitoring the aldehydes, phenolic compounds, and polymerized triacylglycerols in sunflower and olive oil during frying. J. Food Process. Preserv. 2022, 46, e17006. [Google Scholar] [CrossRef]
- Li, X.; Li, J.; Wang, Y.; Liu, Y. Formation of Polar Compounds During Deep-frying—Determination by 1H NMR and ESR. Eur. J. Lipid Sci. Technol. 2020, 122, 1900363. [Google Scholar] [CrossRef]
- Hwang, H.S.; Ball, J.C.; Doll, K.M.; Anderson, J.E.; Vermillion, K. Investigation of polymers and alcohols produced in oxidized soybean oil at frying temperatures. Food Chem. 2020, 317, 126379. [Google Scholar] [CrossRef] [PubMed]
- Gruszka, J.; Nowicka, B.; Kruk, J. Inhibition of Lipid Peroxidation by Plastoquinol and Other Prenyllipids. In Photosynthesis Research for Food, Fuel and the Future. Advanced Topics in Science and Technology in China.; Kuang, T., Lu, C., Zhang, L., Eds.; Springer: Berlin/Heidelberg, Germany, 2013. [Google Scholar]
- Floegel, A.; Kim, D.O.; Chung, S.J.; Koo, S.I.; Chun, O.K. Comparison of ABTS/DPPH assays to measure antioxidant capacity in popular antioxidant-rich US foods. J. Food Compos. Anal. 2011, 24, 1043–1048. [Google Scholar] [CrossRef]




| RO | CO | AO | |
|---|---|---|---|
| SFAs [%] | 6.54 ± 0.04 a | 8.89 ± 0.04 b | 5.63 ± 0.01 c |
| MUFAs [%] | 66.81 ± 0.04 a | 82.92 ± 0.07 b | 70.96 ± 0.01 c |
| PUFAs [%] | 25.86 ± 0.02 a | 8.17 ± 0.04 b | 23.40 ± 0.02 c |
| CIV [g I2/100 g of oil] | 110.91 ± 0.01 a | 85.73 ± 0.00 b | 101.67 ± 0.02 c |
| PUFA/SFA | 3.96 ± 0.02 a | 0.92 ± 0.00 b | 4.16 ± 0.01 c |
| n-6/n-3 | 1.83 ± 0.00 a | 23.82 ± 0.64 b | 355.73 ± 10.27 c |
| HH | 22.16 ± 0.08 a | 18.97 ± 0.00 b | 21.05 ± 0.05 c |
| AI | 0.046 ± 0.000 a | 0.054 ± 0.000 b | 0.048 ± 0.000 c |
| TI | 0.084 ± 0.000 a | 0.172 ± 0.001 b | 0.116 ± 0.000 c |
| color index | 0.056 ± 0.002 a | 1.088 ± 0.002 b | 0.136 ± 0.001 c |
| total polar compounds [%] | 4.10 ± 1.07 a | 6.07 ± 0.62 a | 5.80 ± 0.49 a |
| oxidized TAG monomers [mg/g oil] | 40.29 ± 10.78 a | 56.77 ± 5.71 a | 56.47 ± 5.00 a |
| Unheated | 170 °C | Increase in TPC Content After Heating at 170 °C | 200 °C | Increase in TPC Content After Heating at 200 °C | |
|---|---|---|---|---|---|
| RefO | 2.31 ± 0.11 aA | 7.78 ± 1.00 cB | 5.47 | 12.34 ± 1.19 cC | 10.03 |
| rTBHQ | 2.04 ± 0.57 aA | 5.02 ± 1.24 abB | 2.98 | 11.24 ± 0.35 bcC | 9.20 |
| RO5% | 2.71 ± 0.21 aA | 3.61 ± 0.57 aA | 0.90 | 8.45 ± 0.83 aB | 5.74 |
| RO25% | 2.19 ± 0.67 aA | 4.17 ± 0.51 aA | 1.98 | 10.60 ± 1.57 abcB | 8.41 |
| CO5% | 3.54 ± 1.21 aA | 4.96 ± 0.86 abA | 1.42 | 9.79 ± 1.25 abB | 6.25 |
| CO25% | 3.03 ± 1.71 aA | 4.77 ± 0.47 abA | 1.74 | 9.37 ± 0.99 abB | 6.34 |
| AO5% | 2.94 ± 0.45 aA | 3.11 ± 0.47 aA | 0.17 | 11.07 ± 1.27 bcB | 8.13 |
| AO25% | 4.65 ± 0.04 aA | 6.54 ± 0.66 bcB | 1.89 | 10.36 ± 0.73 abcC | 5.71 |
| Unheated | 170 °C | Increase in oxTAG Content After Heating at 170 °C | 200 °C | Increase in oxTAG Content After Heating at 200 °C | |
|---|---|---|---|---|---|
| RefO | 20.87 ± 2.14 aA | 75.84 ± 10.31 cB | 54.97 | 113.77 ± 9.53 cC | 92.90 |
| rTBHQ | 18.20 ± 5.65 aA | 49.06 ± 12.29 abB | 30.86 | 98.76 ± 4.06 bcC | 80.56 |
| RO5% | 24.94 ± 1.51 aA | 34.80 ± 6.11 aA | 9.86 | 73.20 ± 10.35 aB | 48.26 |
| RO25% | 20.17 ± 6.38 aA | 41.14 ± 4.89 aA | 20.97 | 91.92 ± 12.20 abcB | 71.75 |
| CO5% | 31.66 ± 12.01 aA | 45.99 ± 10.02 abA | 14.33 | 87.85 ± 11.49 abB | 56.19 |
| CO25% | 28.61 ± 16.04 aA | 46.19 ± 4.99 abA | 17.58 | 84.99 ± 9.80 abB | 56.38 |
| AO5% | 27.64 ± 4.21 aA | 29.04 ± 4.61 aA | 1.40 | 101.09 ± 14.49 bcB | 73.45 |
| AO25% | 43.28 ± 0.27 aA | 61.84 ± 6.09 bcA | 18.56 | 90.81 ± 9.42 abcB | 47.53 |
| Unheated | 170 °C | 200 °C | |
|---|---|---|---|
| RefO | n/d | n/d | 10.51 ± 1.99 a |
| rTBHQ | n/d | n/d | 10.44 ± 0.65 a |
| RO5% | n/d | n/d | 7.98 ± 0.37 ab |
| RO25% | n/d | n/d | 10.55 ± 2.91 a |
| CO5% | n/d | n/d | 7.24 ± 1.37 ab |
| CO25% | n/d | n/d | 6.11 ± 2.12 b |
| AO5% | n/d | n/d | 7.20 ± 0.83 ab |
| AO25% | n/d | n/d | 8.91 ± 2.43 ab |
| TPC | oxTAG | Dimers TAG | |
|---|---|---|---|
| α-tocopherol | −0.7237 | −0.7324 | −0.5748 |
| β-tocopherol | −0.5247 | −0.5191 | −0.4814 |
| γ-tocopherol | −0.8094 | −0.8058 | −0.7367 |
| δ-tocopherol | −0.6578 | −0.6416 | −0.7071 |
| PC-8 | −0.8173 | −0.8155 | −0.7131 |
| total tocochromanols | −0.7890 | −0.7915 | −0.6744 |
| total phytosterols | −0.4557 | −0.4571 | −0.3046 |
| DPPH | −0.5893 | −0.5920 | −0.4809 |
| ABTS | −0.7514 | −0.7552 | −0.6503 |
Disclaimer/Publisher’s Note: The statements, opinions and data contained in all publications are solely those of the individual author(s) and contributor(s) and not of MDPI and/or the editor(s). MDPI and/or the editor(s) disclaim responsibility for any injury to people or property resulting from any ideas, methods, instructions or products referred to in the content. |
© 2026 by the authors. Licensee MDPI, Basel, Switzerland. This article is an open access article distributed under the terms and conditions of the Creative Commons Attribution (CC BY) license.
Share and Cite
Fedko, M.; Siger, A.; Kmiecik, D. Improvement of Refined Rapeseed Oil Thermal Resistance by Native Antioxidants Present in Rapeseed, Coriander, and Apricot Cold-Pressed Oils. Appl. Sci. 2026, 16, 1589. https://doi.org/10.3390/app16031589
Fedko M, Siger A, Kmiecik D. Improvement of Refined Rapeseed Oil Thermal Resistance by Native Antioxidants Present in Rapeseed, Coriander, and Apricot Cold-Pressed Oils. Applied Sciences. 2026; 16(3):1589. https://doi.org/10.3390/app16031589
Chicago/Turabian StyleFedko, Monika, Aleksander Siger, and Dominik Kmiecik. 2026. "Improvement of Refined Rapeseed Oil Thermal Resistance by Native Antioxidants Present in Rapeseed, Coriander, and Apricot Cold-Pressed Oils" Applied Sciences 16, no. 3: 1589. https://doi.org/10.3390/app16031589
APA StyleFedko, M., Siger, A., & Kmiecik, D. (2026). Improvement of Refined Rapeseed Oil Thermal Resistance by Native Antioxidants Present in Rapeseed, Coriander, and Apricot Cold-Pressed Oils. Applied Sciences, 16(3), 1589. https://doi.org/10.3390/app16031589

