Improved Grey Wolf Optimizer and Backpropagation Neural Network for Fractional-Order Control of PMSM
Abstract
1. Introduction
2. PMSM Speed Servo System Model
- (1)
- The magnetic circuit is unsaturated, meaning the motor’s inductance is not affected by current changes. Eddy current and hysteresis losses are ignored.
- (2)
- The effects of the slotting, commutation processes, and armature reactions are neglected.
- (3)
- The three-phase windings are fully symmetric, and the magnetic field of the permanent magnet follows a sinusoidal distribution around the air gap.
- (4)
- The armature windings are evenly and continuously distributed on the inner surface of the stator, the three-phase windings are star-connected, and the sum of the three-phase currents is zero.
- (5)
- Neglect measurement noise.
- (6)
- The actuator saturation effect is considered, meaning the output current is limited within the physically achievable maximum range.
- (7)
- Computational delays are neglected, and fixed-step sampling is employed.
3. Improved Grey Wolf Optimizer
3.1. Introduction to the Traditional Grey Wolf Optimizer
3.2. Improvements to the Grey Wolf Optimizer
3.2.1. Initialization Based on Chebyshev Chaotic Mapping
- (1)
- Set the number of grey wolves to N, and randomly generate the initial vector of the first grey wolf individual Y11 = [… … ], where each element is a random number within the range [−1, 1].
- (2)
- Use Equation (6) to perform N − 1 iterations on each dimension of Y11, generating the initial vectors for the remaining N − 1 grey wolf individuals.
- (3)
- Determine the upper bound and lower bound of the d-th dimension in the search space, and then use the following equation to generate the position vectors of the N grey wolf individuals:
3.2.2. Nonlinear Convergence Factor
3.2.3. Stochastic Position Update Formula
3.3. Performance Comparison of Optimization Algorithms
4. FOPI Control Strategy
4.1. Implementation of Discrete FOPI Control
- (1)
- Let the sampling time be Tsa, then at the k-th sampling point, the controller’s operating time is t = kTsa. Assuming the error at time t is e(k), and the fractional-order integral is D−λe(k), the output of the FOPI controller at time t can be expressed as follows:
- (2)
- By replacing α with −λ in Equation (15), the binomial coefficient sequence w(k) can be calculated. Then, the computation of D−λe(k) in Equation (16) is given by:
4.2. BPNN Based on IGWO
4.3. FOPI Control Strategy Based on IGWO and BPNN
5. Results and Discussion
6. Conclusions
- (1)
- This paper proposes an improved grey wolf optimizer. The Chebyshev chaotic mapping is introduced during the algorithm’s initialization phase to enhance individual diversity. A new nonlinear convergence factor is proposed, which improves the search accuracy in the later stages of the algorithm. A stochastic position update formula is introduced to avoid falling into local optima. The improved GWO is tested using six benchmark functions, and the results demonstrate that these modifications are effective. Furthermore, compared to several other algorithms, IGWO exhibits faster convergence speed and better stability.
- (2)
- The BPNNs integrated with IGWO accurately fit the relationship between FOPI controller parameters and control performance metrics. By employing IGWO to update the weights and biases of the BPNNs, the training effectiveness of the networks is enhanced. The BPNNs achieve high fitting accuracy, with an error of only 3% in fitting the overshoot.
- (3)
- This paper designs a FOPI control strategy capable of online parameter adjustment. A fitness function is developed based on the performance indicators approximated by the BPNNs, enabling real-time evaluation of current control parameters. Consequently, the IGWO achieves online tuning of the FOPI controller parameters. This FOPI control strategy is successfully applied to PMSM servo systems.
- (4)
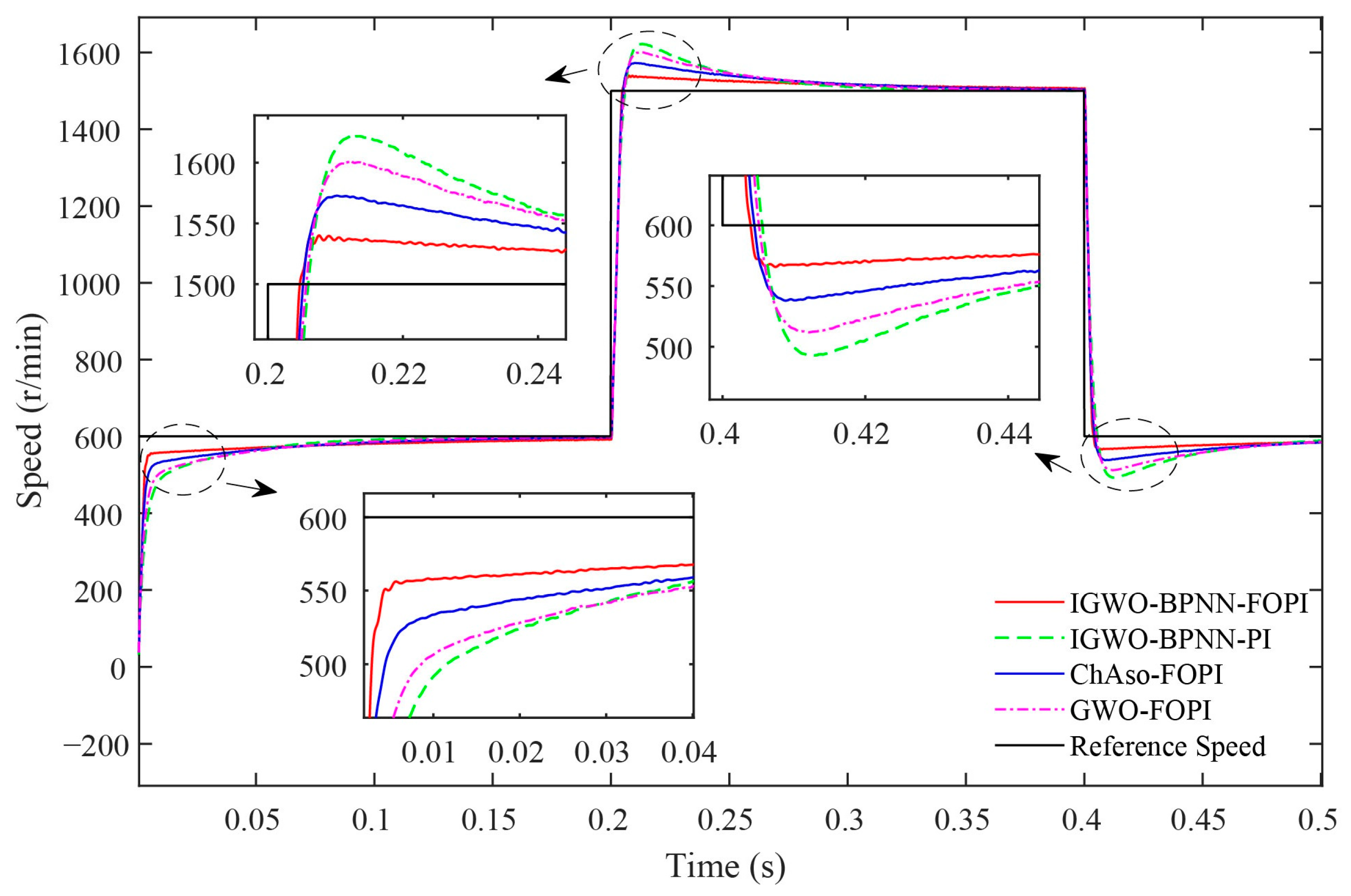
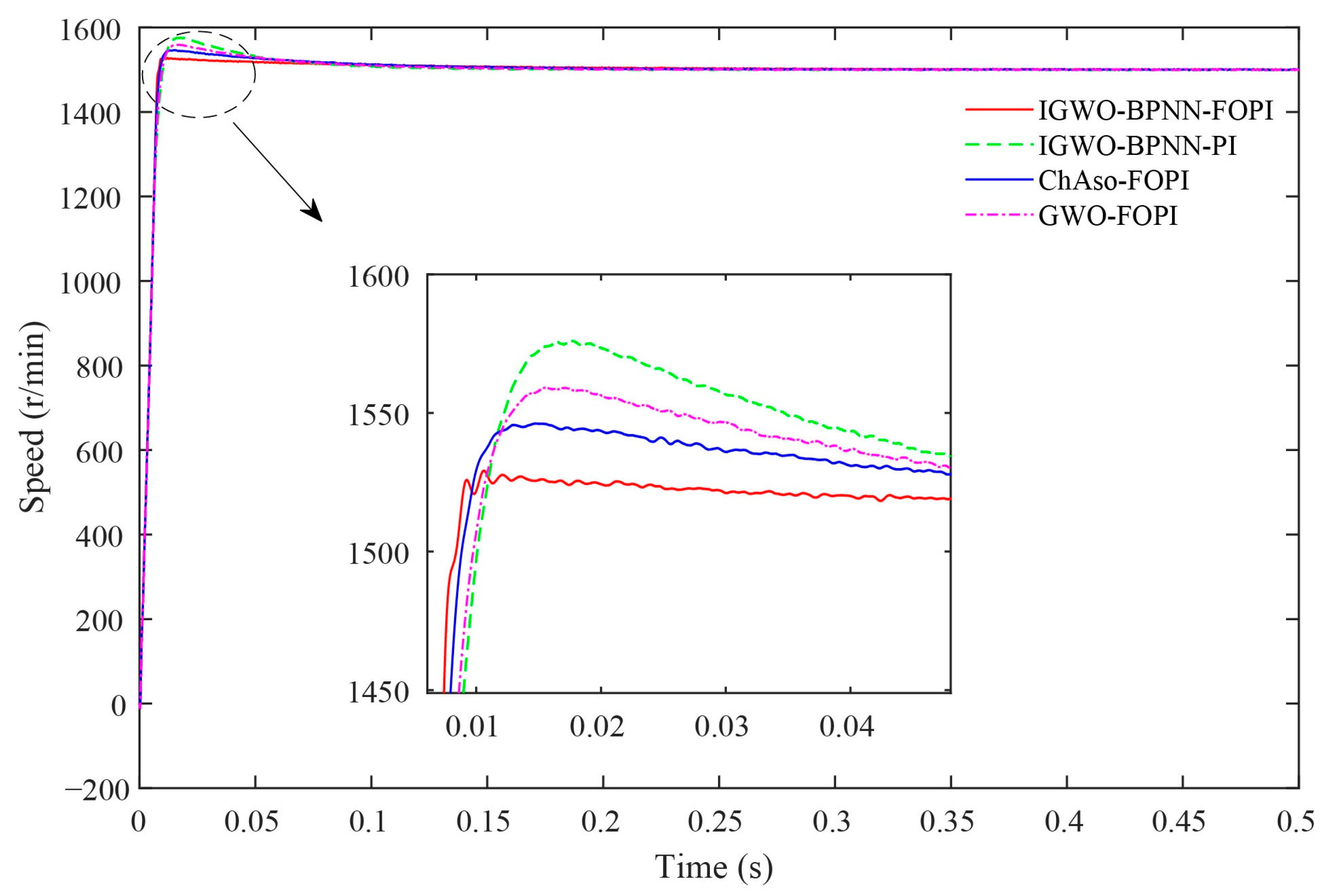
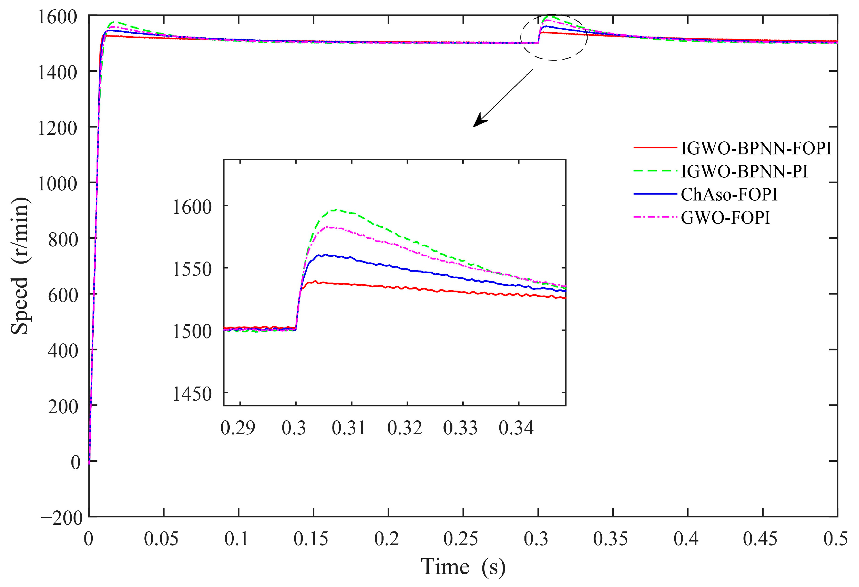
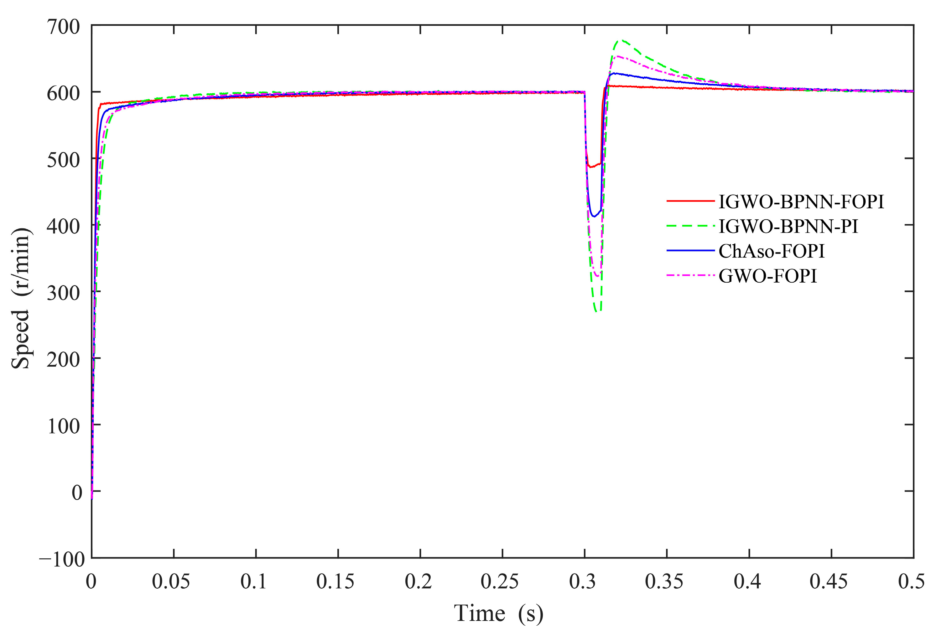
- The simulation results of the speed step response show that under the IGWO-BPNN-FOPI control method, the PMSM exhibits an overshoot of 1.958%, a settling time of 0.008 s, and an ITSE of 14.701. The proposed method demonstrates better control performance compared to the other three methods. In the load disturbance simulation, the PMSM under the proposed method experiences the smallest speed variation and the fastest recovery after being subjected to a load disturbance, indicating its stronger resistance to such disturbances.
Author Contributions
Funding
Institutional Review Board Statement
Informed Consent Statement
Data Availability Statement
Conflicts of Interest
References
- Yuan, T.; Wang, D.; Wang, X.; Wang, X.; Sun, Z. High-precision servo control of industrial robot driven by PMSM-DTC utilizing composite active vectors. IEEE Access 2019, 7, 7577–7587. [Google Scholar] [CrossRef]
- G., R.; Sebasthirani, K. Modeling and Control of Permanent Magnet Synchronous Motor Based Electric Vehicle. Adv. Mec. Eng. 2025, 17, 1. [Google Scholar] [CrossRef]
- Xie, Y.; Tang, X.; Song, B.; Zhou, X.; Guo, Y. Data-driven adaptive fractional order PI control for PMSM servo system with measurement noise and data dropouts. ISA Trans. 2018, 75, 172–188. [Google Scholar] [CrossRef]
- Sinan, Ü.; Ibrahim, A. Investigation of performance of fuzzy logic controllers optimized with the hybrid genetic-gravitational search algorithm for PMSM speed control. Automatika 2022, 63, 313–327. [Google Scholar] [CrossRef]
- Hagras, A.A.; Azab, A.; Zaid, S. Model-Free Nonsingular Fast Terminal Sliding Mode Control of a Permanent Magnet Synchronous Motor. Acta Polytech. Hung. 2024, 21, 283–305. [Google Scholar] [CrossRef]
- Wu, Q.; Huang, J. Fractional Calculus; Tsinghua University Press: Beijing, China, 2016. [Google Scholar]
- Xue, D. Fractional Calculus and Fractional-Order Control; Science Press: Beijing, China, 2018. [Google Scholar]
- Podlubny, I. Fractional-order systems and PIλDμ-controllers. IEEE Trans. Autom. Control 1999, 44, 208–214. [Google Scholar] [CrossRef]
- Wang, C.; Li, M.; Jiang, S. Design of Fractional Order Control System; National Defense Industry Press: Beijing, China, 2014. [Google Scholar]
- Paducel, I.; Safirescu, C.O.; Dulf, E.-H. Fractional order controller design for wind turbines. Appl. Sci. 2022, 12, 8400. [Google Scholar] [CrossRef]
- Luo, Y.; Chen, Y.; Pi, Y. Experimental study of fractional order proportional derivative controller synthesis for fractional order systems. Mechatronics 2010, 21, 204–214. [Google Scholar] [CrossRef]
- Dakua, B.K.; Pati, B.B. A frequency domain-based loop shaping procedure for the parameter estimation of the fractional-order tilt integral derivative controller. Math. Model. Control 2024, 4, 374–389. [Google Scholar] [CrossRef]
- Chevalier, A.; Francis, C.; Copot, C.; Ionescu, C.M.; Keyser, R.D. Fractional-order PID design: Towards transition from state-of-art to state-of-use. ISA Trans. 2018, 84, 178–186. [Google Scholar] [CrossRef]
- Chen, P.; Zheng, W.; Luo, Y.; Peng, Y.; Chen, Y. Robust three-parameter fractional-order proportional integral derivative controller synthesis for permanent magnet synchronous motor speed servo system. Asian J. Control 2022, 24, 3418–3433. [Google Scholar] [CrossRef]
- Azzawi, H.A.; Ameen, N.M.; Gitaffa, S.A. Comparative Performance Evaluation of Swarm Intelligence-Based FOPID Controllers for PMSM Speed Control. J. Eur. Des Syst. Autom. 2023, 56, 475. [Google Scholar] [CrossRef]
- Jeetendra, A.; Girish, P.; Rajeev, G.; Afzal, S. Analysis of grey wolf optimizer based fractional order PID controller in speed control of DC motor. Microsyst. Technol. 2018, 24, 4997–5006. [Google Scholar] [CrossRef]
- Hekimoglu, B. Optimal Tuning of Fractional Order PID Controller for DC Motor Speed Control via Chaotic Atom Search Optimization Algorithm. IEEE Access 2019, 7, 38100–38114. [Google Scholar] [CrossRef]
- Chen, X.; Wu, L.; Yang, X. Fractional order PID parameter tuning based on improved sparrow search algorithm. Control Decis. 2024, 39, 1177–1184. [Google Scholar] [CrossRef]
- Sime, T.L.; Aluvada, P.; Habtamu, S.; Tolosa, Z. Modeling of genetic algorithm tuned adaptive fuzzy fractional order PID speed control of permanent magnet synchronous motor for electric vehicle. Discov. Appl. Sci. 2024, 6, 505. [Google Scholar] [CrossRef]
- Mirjalili, S.; Mirjalili, S.M.; Lewis, A. Grey wolf optimizer. Adv. Eng. Softw. 2014, 69, 46–61. [Google Scholar] [CrossRef]
- Padhy, S.; Panda, S.; Mahapatra, S. A modified GWO technique based cascade PI-PD controller for AGC of power systems in presence of Plug in Electric Vehicles. Eng. Sci. Technol. 2017, 20, 427–442. [Google Scholar] [CrossRef]
- Li, S. The Prediction and Control of Greenhouse Temperature and Humidity Based on the Improvement of Grey Wolf Algorithm. Master’s Thesis, Hebei Agricultural University, Baoding, China, 2021. [Google Scholar]
- Fang, H.; Yang, F.; Liang, J.; Lin, Y.; Chen, S.; Zheng, S. Electromagnetic compatibility fault diagnosis of power inspection robot based on improved grey wolf optimizer-BP neural network. Sci. Technol. Eng. 2022, 22, 243–249. [Google Scholar]
- Sheng, L.; Wu, S.; Lv, Z. Modified Grey Wolf Optimizer and Application in Parameter Optimization of PI Controller. Appl. Sci. 2025, 15, 4530. [Google Scholar] [CrossRef]
- Luo, J.; Liu, Z. Novel grey wolf optimization based on modified differential evolution for numerical function optimization. Appl. Intell. 2020, 50, 468–486. [Google Scholar] [CrossRef]
- Nadimi-Shahraki, M.H.; Taghian, S.; Mirjalili, S. An Improved Grey Wolf Optimizer for Solving Engineering Problems. Expert Syst. Appl. 2020, 166, 113917. [Google Scholar] [CrossRef]
- Yalavarthy, U.R.S.; Gadi, V.S.K.R. Modelling, Simulation and Analysis of Indirect Space Vector Control of Electric Vehicle Driven by Permanent Magnet Synchronous Motor with Fuzzy Controller. Math. Model. Eng. Probl. 2022, 9, 523–532. [Google Scholar] [CrossRef]
- Chatterjee, S.; Roy, S.; Das, A.K.; Chattopadhyay, S.; Kumar, N.; Vasilakos, A.V. Secure Biometric-Based Authentication Scheme Using Chebyshev Chaotic Map for Multi-Server Environment. IEEE Trans. Dependable Secur. Comput. 2018, 15, 824–839. [Google Scholar] [CrossRef]
- Wang, G.-G.; Deb, S.; Gandomi, A.H.; Zhang, Z.; Alavi, A.H. Chaotic cuckoo search. Soft Comput. 2016, 20, 3349–3362. [Google Scholar] [CrossRef]
- Dauphin, Y.; Pascanu, R.; Gülçehre, Ç.; Cho, K.; Ganguli, S.; Bengio, Y. Identifying and attacking the saddle point problem in high-dimensional non-convex optimization. arXiv 2014, arXiv:1406.2572. [Google Scholar]














| Fun | Mathematical Expression |
|---|---|
| F1 | |
| F2 | |
| F3 | |
| F4 | |
| F5 | |
| F6 |
| Fun | Metric | IGWO | GWO | ChASO |
|---|---|---|---|---|
| F1 | MEAN | 0 | 3.989 | 677.335 |
| STD | 0 | 2.001 | 188.368 | |
| F2 | MEAN | 28.960 | 2.067 × 103 | 2.952 × 105 |
| STD | 0.017 | 1.418 × 103 | 1.167 × 105 | |
| F3 | MEAN | 6.285 | 7.890 | 645.718 |
| STD | 0.417 | 2.634 | 176.973 | |
| F4 | MEAN | 0 | 155.538 | 926.846 |
| STD | 0 | 47.936 | 177.958 | |
| F5 | MEAN | 8.882 × 10−16 | 3.373 | 13.227 |
| STD | 0 | 0.240 | 1.007 | |
| F6 | MEAN | 0 | 0.056 | 1.075 |
| STD | 0 | 0.052 | 0.021 |
| Output Value | Number of Inputs | Number of Neurons in Hidden Layer 1 | Number of Neurons in Hidden Layer 2 | Number of Outputs |
|---|---|---|---|---|
| Tr | 3 | 4 | 4 | 1 |
| Mp | 3 | 6 | 6 | 1 |
| Ts | 3 | 5 | 5 | 1 |
| ITAE | 3 | 9 | 9 | 1 |
| Performance Indicators | Average Fitting Error |
|---|---|
| Tr | 19% |
| Mp | 3% |
| Ts | 21% |
| ITAE | 25% |
| Parameter | Value |
|---|---|
| Population Size | 20 |
| Upper Bounds of Kp, Ki, and λ | [0.5 5 2] |
| Lower bounds of Kp, Ki, and λ | [0 0 0] |
Disclaimer/Publisher’s Note: The statements, opinions and data contained in all publications are solely those of the individual author(s) and contributor(s) and not of MDPI and/or the editor(s). MDPI and/or the editor(s) disclaim responsibility for any injury to people or property resulting from any ideas, methods, instructions or products referred to in the content. |
© 2026 by the authors. Licensee MDPI, Basel, Switzerland. This article is an open access article distributed under the terms and conditions of the Creative Commons Attribution (CC BY) license.
Share and Cite
Chen, J.; Zhu, H.; Shu, T.; Cao, C.; Deng, Y. Improved Grey Wolf Optimizer and Backpropagation Neural Network for Fractional-Order Control of PMSM. Appl. Sci. 2026, 16, 1516. https://doi.org/10.3390/app16031516
Chen J, Zhu H, Shu T, Cao C, Deng Y. Improved Grey Wolf Optimizer and Backpropagation Neural Network for Fractional-Order Control of PMSM. Applied Sciences. 2026; 16(3):1516. https://doi.org/10.3390/app16031516
Chicago/Turabian StyleChen, Jiashuo, Hao Zhu, Tanjile Shu, Chengkun Cao, and Yuanwang Deng. 2026. "Improved Grey Wolf Optimizer and Backpropagation Neural Network for Fractional-Order Control of PMSM" Applied Sciences 16, no. 3: 1516. https://doi.org/10.3390/app16031516
APA StyleChen, J., Zhu, H., Shu, T., Cao, C., & Deng, Y. (2026). Improved Grey Wolf Optimizer and Backpropagation Neural Network for Fractional-Order Control of PMSM. Applied Sciences, 16(3), 1516. https://doi.org/10.3390/app16031516
