Next Article in Journal
The Principle of Least Privilege in Microservices: A Systematic Mapping Study
Next Article in Special Issue
Site-Specific Hydrocarbon-Degrading Bacteria Consortium Developed Using Functional and Genomic Analyses
Previous Article in Journal
YOLO-DSNet for Small Target Detection
 
 
Font Type:
Arial Georgia Verdana
Font Size:
Aa Aa Aa
Line Spacing:
Column Width:
Background:
Article

NGS Data of Local Soil Bacterial Communities Reflecting the Ditch Profile of a Neolithic Rampart from Hachum (Germany)

by
Johann Michael Köhler
1,*,
Jialan Cao
1,
Peter Mike Günther
1 and
Michael Geschwinde
2
1
Institute of Chemistry and Biotechnology, Technische Universität Ilmenau, 98693 Ilmenau, Germany
2
Niedersächsisches Landesamt für Denkmalpflege, Regionalreferat Braunschweig, Bezirksarchäologie, 38102 Braunschweig, Germany
*
Author to whom correspondence should be addressed.
Appl. Sci. 2026, 16(3), 1494; https://doi.org/10.3390/app16031494
Submission received: 6 January 2026 / Revised: 29 January 2026 / Accepted: 30 January 2026 / Published: 2 February 2026
(This article belongs to the Special Issue Human Impacts on Environmental Microbial Communities)

Featured Application

The presented investigation demonstrates the applicability of Next-Generation Sequencing data of soil bacterial DNA for differentiation of soil regions of an archaeological profile of a neolithic rampart ditch. The obtained sequence data from the central interior part of an archaeological ditch in Hachum (Germany) can be used for clearly distinguishing the related soil bacterial communities from reference sampling points. The differences have been reflected by quantitative comparison on the level of phyla, by correlation diagrams and by comparing the distribution of special operational taxonomical units.

Abstract

An archaeological exposure near Hachum, featuring a ditch profile interpreted as part of a Neolithic earthwork, was characterized using DNA analyses of bacterial 16S rRNA from soil samples. The NGS data from 13 sampling points at different positions and depths within the trench profile were compared with regard to the percentage distribution of phyla and the frequency of occurrence of individual bacterial types (genera or operational taxonomic units, OTUs). Characteristic differences between parts of the trench profile became apparent based on correlations of OTU abundances as well as the occurrence of specific types. In particular, a high similarity in bacterial communities was observed among samples from intermediate trench depths, while a markedly different composition was found in the area of the central trench bottom. These findings indicate that the trench must have remained open for a certain period of time and was later filled relatively homogeneously. The results showed that the middle and lower parts of the ditch fill could be clearly distinguished from each other and from the surrounding area based on the composition of soil bacterial DNA. Genera detected predominantly in the lower part of the ditch suggest that, after the ditch was completed, organic matter, animal dung, and possibly even human feces were accumulated at the bottom. The investigations demonstrate that analyses of soil bacterial communities can provide valuable insights into the history and function of a Neolithic earthwork and, more generally, represent an important additional source of information for interpreting archaeological contexts that are devoid of or poor in finds.

1. Introduction

The powerful technologies for the sequence analysis of minute quantities of DNA have not only become essential tools in medicine, biotechnology, and forensics, but are also opening up new insights for archaeology. The decoding of human genes from bones and the determination of ancestry and kinship relationships of individuals from the Stone or Bronze Age, as well as the clarification of prehistoric migration processes, are important examples of the significance of DNA analyses for reconstructing societal developments in prehistoric, non-literate times [1,2,3].
While the analysis of human remains and pathogens using DNA has been employed for some time and has led to important findings, comparatively little attention has so far been given to the analysis of environmental microorganisms and their potential for investigating archaeological sites [4,5,6]. However, individual studies have shown that soil microorganisms present a kind of ecological memory [7,8,9,10,11] and can also provide clues to past human activities. The soil microbiome and its DNA can be seen as a source of information on past human influences on the soil and can thus provide insights into such activities [12,13,14,15,16,17,18].
Changes and specific compositions of soil bacteria are reflected in archaeological samples from buried soil layers but can also have an impact on near-surface soil areas. In addition to soil samples from prehistoric sites [19,20,21], samples from historical sites can also provide interesting information about past land use and the ecological changes caused by human activity [22,23,24,25]. Examples include the specific compositions of soil bacterial communities from pre- and early industrial mining and smelting sites, from various strata of ancient [26,27] cities or from a pre-industrial tannery and dyeing area in a suburban zone of Jena (Germany) [28].
The analysis of bacterial DNA not only provides information on human influence and environmental conditions in the past but also demonstrates how the imprint of past human activities on soils and microbial communities continues to affect today’s ecological situation. For instance, bacteria with high tolerance to heavy metals have been found and cultured from the surroundings of bronze and copper artifacts that had been buried in the soil for centuries. One example is a highly cobalt- and nickel-tolerant strain of Rhodococcus erythropolis from a medieval non-ferrous metalworking site [29].
The question of whether the composition of soil bacterial communities can provide information on prehistoric events and objects is especially relevant for so-called “find-poor” structures. Such situations can occur, for example, in the defensive ditches of Neolithic enclosures, which are often low in artifact finds. Understanding their origin and use is crucial for reconstructing life in the corresponding prehistoric periods and for understanding the interplay between climate, land use, and human environmental impact. This applies, for example, to enclosures of the Michelsberg Culture, which are probably linked to intensive livestock farming and long-distance grazing [30,31]. Such practices likely had a significant impact on vegetation at the time and were also fundamentally important for the early development of a road network and the human-shaped structuring of the cultural landscape in Central Europe.
The following presents the results of a study on bacterial DNA extracted from such a Neolithic enclosure ditch. As part of the profiling of an earthwork at Hachum (Lower Saxony, Germany), 13 soil samples were taken from various positions within the profile. DNA was extracted from these samples, and the composition of the soil bacterial community was determined via NGS analysis of the 16S rRNA gene.

2. Experimental

2.1. Archaeological Situation

The site of the earthwork (UTM coordinates: approx. 614850/5782740) is located about half a kilometer southwest of the village of Hachum in Lower Saxony, Germany, at an elevation of approximately 132 m above sea level. The earthwork occupies a shallow terrain shoulder, with the land gently sloping to the south and west (the profile of the ditch cut in the archaeological investigation is shown in Figure 1a). The feature was discovered through aerial photography and subsequently investigated archaeologically. Current findings suggest it is a ditch system from the Neolithic Michelsberg Culture.
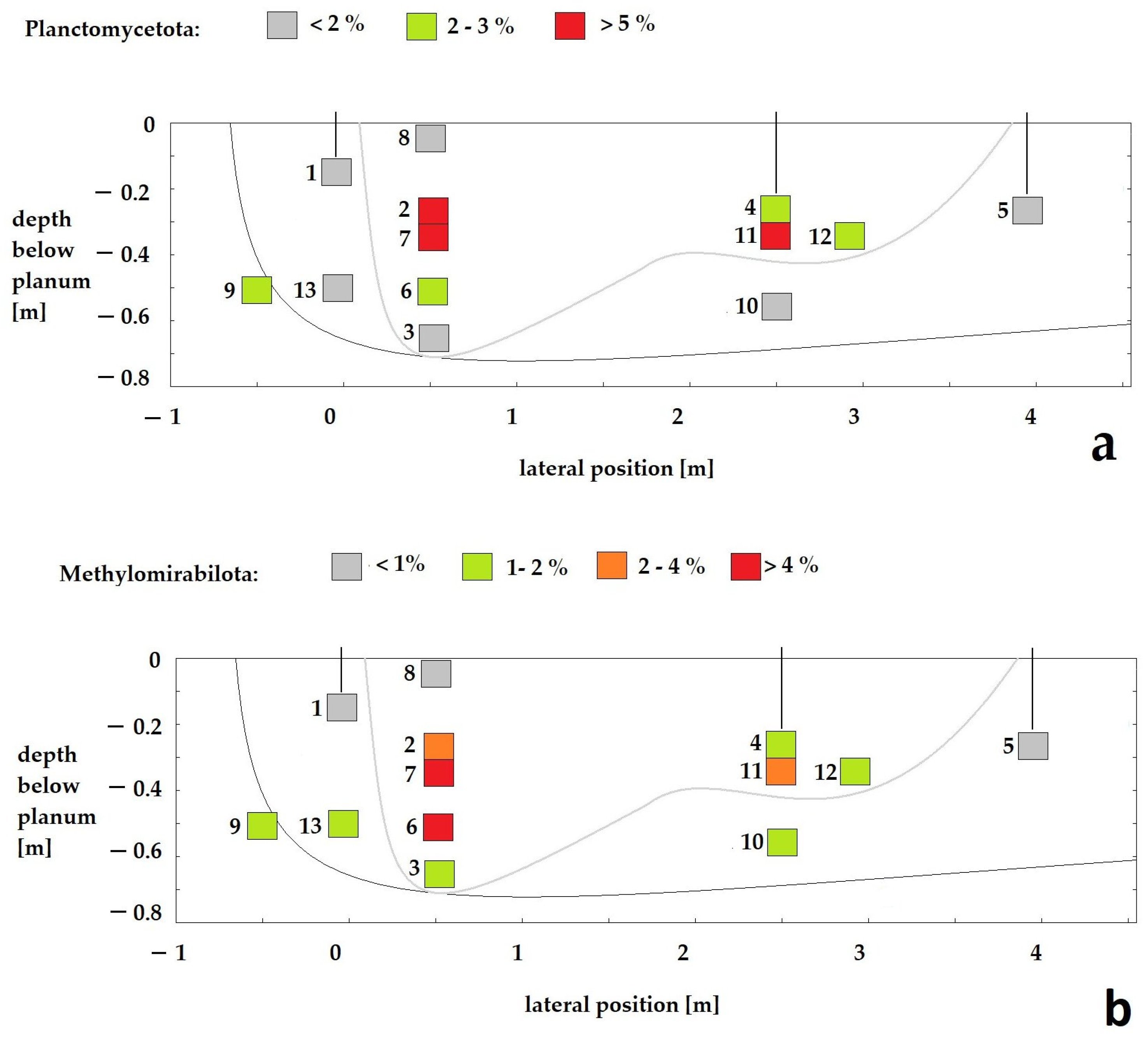
During the archaeological investigation, a section of the ditch was opened and the profile examined. Soil samples were collected from 13 positions. These positions were selected so that some samples were taken from inside the ditch, and others from outside or at the edge of the ditch (Figure 1b). Five samples (Nos. 8, 2, 7, 6, and 3) were collected as a depth profile from the deepest part of the ditch. Another group of three samples (positions 4, 11, and 12) comes from a structure interpreted as a step or secondary ditch south of the main ditch, and thus the soil material from there can also be considered ditch fill, like the first group. The remaining five samples were taken from outside the ditch structure, with four samples located in a transitional area (Nos. 1, 5, 10, and 13), and sample No. 9 taken from the surrounding undisturbed soil near this transition zone. Sample 1 came from the upper part, samples 9 and 5 from the middle part, and samples 10 and 13 from the lower part of the transition area. These five samples were intended as reference samples for comparison with those from the interior of the ditch profile.

2.2. Soil Samples and Sequencing

The soil samples were collected using sterile 50 mL sampling tubes and sealed on site. Approximately 1 g of each sample was used for DNA extraction, and a segment encoding the 16S rRNA was amplified by PCR and subsequently sequenced using an Illumina NGS process. DNA extraction, amplification, and sequencing were carried out by Microsynth using their standard protocols (https://www.microsynth.com/home-de.html, 24 October 2025).
Sample list:
No.Lab-intern labelDepth (below planum)Lateral position
1HC115 cmtransition region NO
2HC225 cmcentral ditch profile
3HC370 cmcentral ditch profile
4HC430 cmside ditch
5HC530 cmtransition region SW
6HC650 cmcentral ditch profile
7HC735 cmcentral ditch profile
8HC810 cmcentral ditch profile
9HC955 cmoutside ditch
10HC1060 cmtransition region SW
11HC1140 cm side ditch
12HC1240 cmside ditch
13HC1350 cmtransition region NO

2.3. Data Processing

The NGS analyses supplied so-called fastq files of sequence data. These data were converted into the format fasta. In addition to this conversion, quality data have been generated by using the open source platform Galaxy (https://usegalaxy.org/). The quality of all investigated datasets was checked by a median quality score and found to be high, indicating a very high quality of data.
The taxonomical assignment was achieved by aligning the contig files to rRNA databases based on the NCBI cloud using the SILVAngs data analysis service (https://ngs.arb-silva.de/silvangs, 24 October 2025). This procedure allowed a detailed analysis on the basis of the previously obtained sequencing data, supplying information about the bacterial community of the related sample [32,33,34]. For all analyses, the preset parameter configurations of the SILVAngs database version 138.2 were applied. In principle, the finally obtained NGS data allow the assignment of 16S rRNA-related DNA down to the genus level. However, for a portion of cases, the assignment is only possible for higher taxonomical levels such as families, orders, classes or phyla. Therefore, the determined best assigned taxonomical groups for a sequence were defined as the “Operational Taxonomical Unit” (OTU).

3. Results and Discussion

3.1. Composition of Soil Bacterial Communities by Phyla

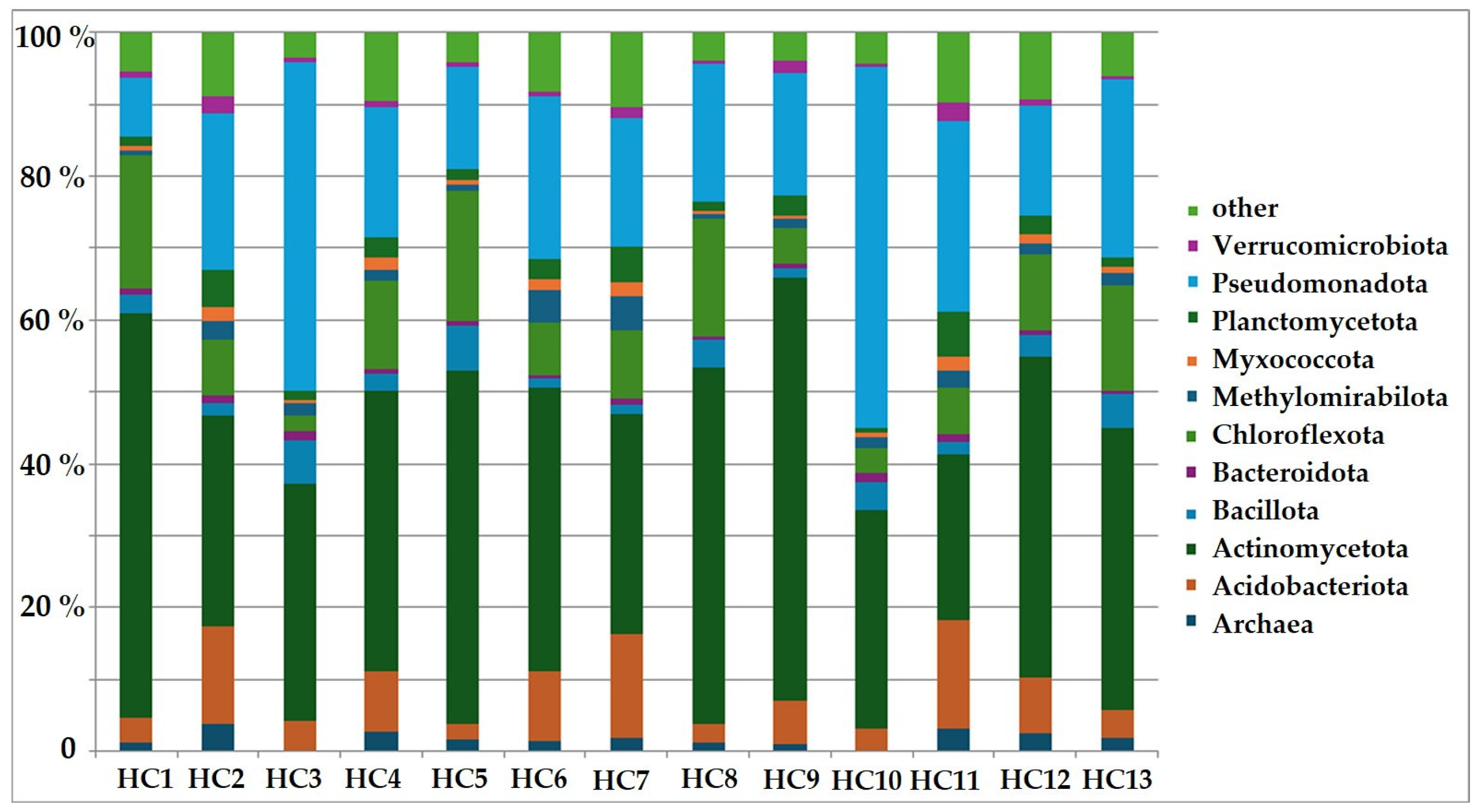
All samples show a dominance of the phyla Pseudomonadota and Actinomycetota. Chloroflexota and Acidobacteriota are also highly represented, although their relative abundances vary significantly between the samples (Figure 2). The samples differ relatively clearly with respect to the occurrence of Archaea. This is interesting because Archaea particularly often include extremophilic microorganisms, such as halophiles and thermophiles, as well as methanogenic microorganisms. The highest proportions of Archaea were observed in samples HC2 (3.8%), HC4 (2.7%), HC11 (3.2%), and HC12 (2.5%). All of these samples originate from the middle part of the trench fill. In contrast, significantly lower proportions of Archaea (0.3% each) were observed in samples HC3 and HC10, which originate from deeper layers. Intermediate relative proportions of Archaea were found in the two samples from the upper part of the profile (HC1 and HC8; 1.3% each).
Considerable differences in the abundance of phyla are also evident for Acidobacteria, Bacillota, Chloroflexota, Methylomirabilota, and Pseudomonadota. Particularly high proportions of Bacillota were detected in samples HC3 (5.9%), HC5 (6.2%), and HC13 (4.9%), affecting both the deep central trench bottom (HC3) and the peripheral trench fill (HC5 and HC13). In contrast, samples from the middle part of the trench fill show lower proportions of Bacillota. Upper soil layers (HC1 and HC8) exhibit comparatively high abundances of Chloroflexota, with 18.4% and 16.4%, respectively. As this bacterial group consists of photosynthetically active organisms, it is plausible that they occur more frequently in samples taken from layers closer to the surface.
Samples 2, 6, 7, 11, 12, and 4—all taken from medium depth inside the ditch—show the highest proportions of Acidobacteriota (Figure 3a). The samples from the deepest layers, 3 and 10, have the highest proportions of Pseudomonadota. The central part of the ditch interior (including samples 6 and 7) also displays the relatively highest proportions of Myxococcota. The highest abundances were found in the sample pairs 2 and 7 (central ditch profile), and 4 and 11 (secondary ditch) (Figure 3b). The next highest proportions occur in samples 6 and 12, which also come from mid-depth layers inside the ditch. In contrast, both the reference samples and the uppermost sample from the central ditch profile (sample 8) show considerably lower proportions of Myxococcota.
Both Acidobacteriota and Myxococcota are typical soil bacteria. Myxococcota are known for their chemoorganotrophic metabolism, and their high abundance may indicate a high content of organic matter in the soil. The similarity of the samples from the mid-depth layer of the ditch interior is also reflected in their relatively high content of Planctomycetota (Figure 4a) and Methylomirabilota (Figure 4b). Planctomycetes are chemoorganotrophic, facultatively aerobic bacteria typically found in aquatic environments, soil, and sewage sludge. Methylomirabilota is a relatively newly identified phylum, known for methane degradation and the coupling of the release of reducing equivalents during methane oxidation with the reduction of nitrite to molecular nitrogen [35].
Differences in the relative abundances of selected groups such as Archaea, Acidobacteriota, and Myxococcota can be interpreted as distinguishing features of the ditch interior—i.e., the ditch infill, which must have occurred in prehistoric times—as opposed to the surrounding areas. However, this pattern for the mid-depth zone is somewhat relativized by a comparison of phylum composition between sample 3 (deepest layer of the central ditch profile) and sample 10 (reference sample from the deeper transitional area), which show a strikingly similar phylum composition.

3.2. Composition of Soil Bacterial Communities by Operational Taxonomical Units (OTUs)

While only about a dozen phyla are relevant for comparison between the samples at the high taxonomic level, the sequence data from Hachum’s soil samples show a total of around 2000 different OTUs, with hundreds present in each individual sample. In addition to individual detections (“reads”) that are naturally subject to high uncertainty, there are other OTUs represented by hundreds or thousands of reads in individual samples. Quantitative comparisons of these are suitable for characterizing similarities and differences between the soil samples.
Binary correlation diagrams of read counts for individual OTUs show a high similarity within the group of samples 2, 4, 6, 7, 11, and 12 (examples in Figure 5). These high correlations support the strong similarity in general composition previously derived from the frequent occurrence of certain phyla (see above) in samples from mid-depth layers within the ditch profile. The high correlation does not only concern samples taken in the direct neighborhood (a few centimeters in distance only), such as the sample pairs HC2/HC7 and HC4/HC11. The general high similarity in the composition is also evident between the samples from the profile in the northeast part of ditch (samples HC6, HC7, and HC2) and the samples from a similar depth taken in the southwest part of the ditch interior (samples HC4, HC11, and HC12), which originate from sampling sites about two meters apart. This high similarity can be interpreted as a high similarity in the material and—probably—a history of filling in the northeast and the southwest part of the ditch interior.
In contrast, correlations between mid-depth and deep layers, as well as between the ditch interior and the transitional area, are much weaker (examples in Figure 6). Thus samples 6, 10 and 13 are only weakly correlated despite the fact that they have been taken from a similar depth. The differences can be explained by the different lateral position in the profile. Whereas samples HC13 and HC16 originated from outside of the ditch, sample 6 comes from the central part of the ditch.
The correlation between samples 6 and 3 (central ditch depth profile) is also very weak, showing that the bacterial community at the bottom of the ditch differs markedly from that of the overlying ditch fill. The same applies to the comparison between samples 11 (ditch interior) and 10 (reference), taken from the same lateral position but slightly different depths. Even the reference samples themselves (outside the ditch) show only weak correlations. Sample 8 (from the upper part of the ditch) also shows weaker correlation with the mid-depth ditch samples.
The similarity among the mid-depth ditch infill samples (2, 4, 6, 7, 11, and 12), and their distinction from other samples, is also evident when looking at the abundance of individual OTUs—even including less abundant types. There is a larger group of OTUs preferentially found in these samples, while they are much less represented in the upper (sample 8), bottom (sample 3), and reference samples (samples 1, 5, 9, 10, and 13) (Figure 7). This group of OTUs includes Amaricoccus, commonly found in sewage sludge [36], as well as Sandaracinus [37] and Sumerlaea, known for degrading starch and other large carbohydrate molecules [38].
Differences between sample groups are also reflected in a group of OTUs that occur only in small numbers in samples of the middle part of ditch, 2, 4, 7, 11, and 12, but are comparatively more abundant in samples outside the ditch interior, as well as in the top layer (sample 8) and the bottom of the central ditch profile (sample 3) (Figure 8). This group includes Brevibacterium, Enterobacter, Enterococcus, Acinetobacter, Methylobacterium, Methylorubrum, Gulbenkiana, Duganella, Weizmannia, and Zoogloea. Brevibacterium and Weizmannia have been found, and Brevibacteria are used in the production of cheese [39]. Enterobacter and Enterococcus are typical gut bacteria. Acinetobactera and Gulbenkiana have been found in wastewater [40]. Methylorubrum and Methylobacterium are soil bacteria that metabolize C1 compounds. These bacteria seem to indicate that the transition region around the ditch was also affected by dung or wastewater infiltration.
The relation to dung and feces is more strongly pronounced by OTUs that mainly appear in sample 3. The related group of OTUs occurs preferentially in the area of the central ditch bottom (sample 3), while reads of these OTUs were only sporadically detected in other samples (Figure 9). This underscores the unique nature of the ditch bottom in comparison to the overlying layers of the central ditch profile, the rest of the ditch interior, and the reference samples. These special OTUs include Finegoldia, Eremococcus, Coprothermobacter, Oryzomicrobium, Desulfotomaculum, Verrucomicrobium, Asaccharospora, and Hathewaya.
Eremococcus has been detected in the genital tract of horses [41]. Coprothermobacter has been isolated from manure [42]. Oryzomicrobium is found in muddy soil [43]; Hathewaya is a human and animal pathogen. Desulfotomaculum can reduce sulfate to hydrogen sulfide using hydrogen and has been found, for example, in deep subsurface layers during deep drilling [44]. Verrucomicrobia are comparatively abundant in environments such as soils, but have also been found in human feces [45]. Asaccharospora has been isolated from the intestinal tract of rats [46]. Granulicatella is known as a pathogen, but can also be present in the normal flora of the human intestinal tract [47]. The common appearance of these bacteria, which are less present in the other samples, demonstrates the former situation was that of an open ditch, in which wastewater, dung, and perhaps human feces accumulated at the bottom of the ditch.
The effect of human impacts on soil bacterial communities was shown by several recent studies. The observation of dominating phyla such as Pseudomonadota (Proteobacteria), Actinomycetota, Acidobacteriota, Chloroflexota and Bacillota (Firmicutes) corresponds with the reported dominating phyla in soil samples of sacrificial pits at the Sanxingdui site (China). The investigation of this place showed clear evidence for a change in the composition of soil bacteria communities by human impact due to cultic activities [48]. The investigation of residues from 2300 year-old beverages in prehistorical bottles from Shaanxi (China) showed evidence of Bacillus strains [49]. E. Chernysheva et al. showed recently the abundance of different strains of lipolytic and lactic acid-forming strains in connection with organic prehistoric grave goods [50]. These findings confirm the bacteria-related memory of the soil, which could be reflected in graves as well as in prehistoric ditches like the earthwork of Hachum.

4. Conclusions

The analysis of the samples taken at different positions of the archaeological profile allows a clear distinction of the observed DNA of soil bacterial communities. In particular, the samples originating from the middle layers of the ditch are marked by similarities between them and differences from the other samples. These similarities and differences could be shown by comparison of the high taxonomical level of phyla, by binary correlation diagrams of all OTUs found as well as by the presence or absence of special OTUs. A particular feature of the filling of this middle region of the ditch could be the significant input of plant materials reflected by bacterial types specialized for metabolization of high-molecular-weight hydrocarbons.
In addition, a particular specificity of soil bacterial composition was observed in the sample taken from the bottom of ditch, in which several types are preferentially present which are related to manure and perhaps human feces. This group of special bacteria could indicate an accumulation of such sewage from the environment of the ditch after its construction and before its filling. The observed differences in bacterial community composition suggest that the trench must have remained open down to its base for a considerable period. The relatively high uniformity in the composition of bacterial communities in the middle layers of the trench interior supports the interpretation of a later gradual and homogeneous infilling of the trench. This also suggests that the trench flanks must have been mechanically relatively stable [51,52].
To the best of our knowledge, the application of NGS of bacterial communities was used for the first time for distinguishing soil material from a neolithic earthwork. In conclusion, the investigations show that the analysis of soil bacterial communities from a profile of a neolithic rampart ditch could supply information on the ancient situation complementing the archaeological findings and might be particularly valuable for archaeological objects supplying only a few or uncharacteristic artefacts. It has the potential to become a useful tool in addition to the analysis of residues of charcoal, wood, and other carbon-containing material (for 14C analyses, for example), incorporated seeds, and poll diagrams.
The obtained results suggest that the cultivation-independent analysis of soil bacterial compositions in samples from archaeological excavations can become a valuable additional tool for prehistoric research, in general. The recently developed state-of-the-art DNA metagenome sequencing represents a powerful method for evaluating the ecological state of recent and ancient soils and allows for a “read-out of biological memory of soil” for understanding the history of a place. It is expected that in addition to 16S rRNA-based taxonomical analyses, other metagenomic analyses, the characterization of special genes, and functional metagenomics will supply much more information on the history of places and former human impacts on soil.

Author Contributions

Conceptualization, J.M.K.; methodology, J.C., J.M.K. and M.G.; formal analysis, P.M.G.; investigation, J.M.K. and M.G.; data curation, P.M.G.; writing—original draft preparation, J.M.K.; writing—review and editing, J.M.K., J.C. and M.G. All authors have read and agreed to the published version of the manuscript.

Funding

This research received no external funding.

Institutional Review Board Statement

Not applicable.

Informed Consent Statement

Not applicable.

Data Availability Statement

The original contributions presented in this study are included in the article. Further inquiries can be directed to the corresponding author.

Acknowledgments

The support of Steffen Schneider for data conversion is gratefully acknowledged.

Conflicts of Interest

The authors declare no conflicts of interest.

References

  1. Haak, W.; Balanovsky, O.; Sanchez, J.J.; Koshel, S.; Zaporozhchenko, V.; Adler, C.J.; Der Sarkissian, C.S.I.; Brandt, G.; Schwarz, C.; Nicklisch, N.; et al. Ancient DNA from European early Neolithic farmers reveals their Near Eastern affinities. PLoS Biol. 2010, 8, e1000536. [Google Scholar] [CrossRef] [PubMed]
  2. Lazaridis, I.; Patterson, N.; Mittnik, A.; Renaud, G.; Mallick, S.; Kirsanow, K.; Sudmant, P.H.; Schraiber, J.G.; Castellano, S.; Lipson, M.; et al. Ancient human genomes suggest three ancestral populations for present-day Europeans. Nature 2014, 513, 409–413. [Google Scholar] [CrossRef] [PubMed]
  3. Haak, W.; Lazaridis, I.; Patterson, N.; Rohland, N.; Mallick, S.; Llamas, B.; Brandt, G.; Nordenfelt, S.; Harney, E.; Stewardson, K.; et al. Massive migration from the steppe was a source for Indo-European languages in Europe. Nature 2015, 522, 207. [Google Scholar] [CrossRef] [PubMed]
  4. Warinner, C.H.; Herbig, A.; Mann, A.; Yates, J.A.F.; Weiß, C.L.; Burbano, H.A.; Orlando, L.; Krause, J. A robust framework for microbial archaeology. Ann. Rev. Genom. Hum. Genet. 2017, 18, 321–356. [Google Scholar] [CrossRef]
  5. Warinner, C. An archaeology of microbes. J. Anthropol. Res. 2022, 10, 721976. [Google Scholar] [CrossRef]
  6. Oberreich, M.; Steinhoff-Knopp, B.; Burkhard, B.; Kleemann, J. The Research Gap between Soil Biodiversity and Soil-Related Cultural Ecosystem Services. Soil Syst. 2024, 8, 97. [Google Scholar] [CrossRef]
  7. Dergacheva, M. Ecological function of soil humus. Eurasian Soil Sci. 2001, 34, 100–105. [Google Scholar]
  8. Jones, S.E.; Lennon, J.T. Dormancy contributes to the maintenance of microbial diversity. Proc. Natl. Acad. Sci. USA 2010, 107, 5881–5886. [Google Scholar] [CrossRef]
  9. Benito, B.M.; Gil-Romera, G.; Birks, H.J.B. Ecological memory at millennial time-scales: The importance of data constraints, species longevity and niche features. Ecography 2019, 43, 04772. [Google Scholar] [CrossRef]
  10. Gonze, D.; Coyte, K.; Lahti, L.; Faust, K. Microbial communities as dynamical system. Curr. Opin. Microbiol. 2018, 44, 41–49. [Google Scholar] [CrossRef]
  11. Khalighi, M.; Gonze, D.; Faust, K.; Sommeria-Klein, G.; Lathi, L. Quantifiying the impact of ecological memory on the dynamics of interacting communities. PLoS Comput. Biol. 2022, 18, e1009396. [Google Scholar] [CrossRef] [PubMed]
  12. Jones, M.; Brown, T. Agricultural origins: The evidence of modern and ancient DNA. Holocene 2000, 10, 769–776. [Google Scholar] [CrossRef]
  13. Marfennia, O.E.; Ivanova, A.E.; Sacharov, D.S. The mycologicl properties of medieval cultur layers as a form of ‘soil biological memory’ about urbanization. J. Soils Sediments 2008, 8, 340–348. [Google Scholar] [CrossRef]
  14. Philips, A.; Stolarek, I.; Kuczkowska, B.; Juras, A.; Handschuh, L.; Piontek, J.; Kozlowski, P.; Figlerowicz, M. Comprehensive analysis of microorganisms accompanying human archaeological remains. GigaScience 2017, 6, gix044. [Google Scholar] [CrossRef]
  15. Borisov, A.V.; Demkina, T.S.; Kashirskaya, N.N.; Khomutova, T.E.; Chernysheva, E.V. Changes in the past soil-forming conditions and human activity in soil biological memory: Microbial and enzyme components. Eurasian Soil Sci. 2021, 54, 1078–1088. [Google Scholar] [CrossRef]
  16. Schmid, M.W.; VanMoorsel, S.J.; Hahkl, T.; DeLuca, E.; DeDeyn, G.B.; Wagg, C.; Niklaus, P.A.; Schmid, B. Effects of plant community history, soil legacy and plant diversity on soil microbial communities. J. Ecol. 2021, 109, 3007–3023. [Google Scholar] [CrossRef]
  17. Zhongjun, J. Effects of agricultural land use on the differentiation of nitrifier communities and functional patterns from natural terrestrial ecosystems. Sci. Total Environ. 2022, 835, 155568. [Google Scholar]
  18. Devendrapandi, G.; Balu, R.; Ayyappan, K.; Ayyamperula, R.; Alhammadi, S.; Lavanya, M.; Senthilkumar, R.; Karthika, P.C. Unearthing Earth’s secrets: Exploring the environmental legacy of contaminants in soil, water, and sediments. Environ. Res. 2024, 249, 118246. [Google Scholar] [CrossRef]
  19. Köhler, J.M.; Kalensee, F.; Günther, P.M.; Schüler, T.; Cao, J. The local ecological memory of soil: Majority and minority components of bacterial communities in prehistoric urns from Schöps (Germany). Int. J. Environ. Res. 2018, 12, 575–684. [Google Scholar] [CrossRef]
  20. Margesin, R.; Siles, J.A.; Cajthaml, T.; Ohlinger, B.; Kistler, E. Microbiology meets archaeology: Soil microbial communities reveal different human activities at archaic Monte Iato (Sixth century BC). Microbial Ecol. 2017, 73, 925–938. [Google Scholar] [CrossRef]
  21. Köhler, J.M.; Ehrhardt, L.; Günther, P.M.; Cao, J. Soil bacteria in archaeology: What could rank abundance functions tell us about ancient human impact on microbial communities? Microorganisms 2024, 12, 2243. [Google Scholar] [CrossRef] [PubMed]
  22. Chernysheva, E.; Korobov, D.; Borisov, A. Thermophilic microorganisms in arable land around medieval archaeological sites in Northern Caucasus, Russia: Novel evidence of past manuring practices. Geoarchaeol. Intern. J. 2017, 32, 494–501. [Google Scholar] [CrossRef]
  23. Wegner, C.E.; Liesack, W. Unexpected dominance of elusive acidobacteria in early industrial soft coal slags. Front. Microbiol. 2017, 8, 1023. [Google Scholar] [CrossRef] [PubMed]
  24. Wolinska, A.; Wlodarczyk, K.; Kuzniar, A.; Marzec-Grządziel, A.; Grzadziel, J.; Galazka, A.; Uzarowicz, L. Soil microbial community profiling and bacterial metabolic activity of technosols as an effect of soil properties following land reclamation: A case study from abandoned iron sulphide and uranium mine in Rudki (south-central Poland). Agronomy 2020, 10, 1795. [Google Scholar] [CrossRef]
  25. Sabin, S.; Yeh, H.Y.; Pluskowski, A.; Clamer, C.; Mitchell, P.D.; Bos, K.I. Estimating molecular preservation of the intestinal microbiome via metagenomics analyses of latrine sediments from two medieval cities. Phil. Trans. Royal Soc. B 2020, 375, 20190576. [Google Scholar] [CrossRef]
  26. Orr, C. Archaeological soil from Roman occupational layers can be differentiated by microbial and chemical signatures. Ecosyst. Biodivers. 2013, 3, 1129040. [Google Scholar]
  27. Köhler, J.M.; Ehrhardt, L.; Günther, P.M.; Cao, J.; Konecny, A. Bacterial Communities from the Antique Roman City of Carnuntum (Austria):16S r-RNA-Based Comparison of Soil Samples from Different Archaeological Horizons. Preprints, 2024. Available online: https://www.preprints.org/manuscript/202409.2333 (accessed on 24 October 2025).
  28. Köhler, J.M.; Ehrhardt, L.; Cao, J.; Möller, F.; Schüler, T.; Günther, P.M. Beta-Diversity Enhancement by archaeological structures: Bacterial communities of an historical tannery area of the city of Jena (Germany) reflected the ancient human impact. Ecologies 2023, 4, 325–343. [Google Scholar] [CrossRef]
  29. Cao, J.; Chande, C.; Kalensee, F.; Schüler, T.; Köhler, J.M. Microfluidically supported characterization of responses of Rhodococcus erythropolis strains isolated from different soils on Cu, Ni-, and Co-stress. Braz. J. Microbiol. 2021, 52, 1405–1415. [Google Scholar] [CrossRef]
  30. Geschwinde, M.; Raetzel-Fabian, D. EWBSL. Eine Fallstudie zu den jungneolithischen Erdwerken am Nordrand der Mittelgebirge. In Beiträge zur Archäologie in Niedersachsen; Volume 14; Verlag Marie Leidorf GmbH: Rahden/Westfalen, Germany, 2009. [Google Scholar]
  31. Knoche, B. Riten, Routen, Rinder—Das jungneolithische Erdwerk von Soest im Wegenetz eines extensiven Viehwirtschaftssystems. In Neue Forschungen zum Neolithikum in Soest und am Hellweg—Soester Beiträge zur Archäologie; Melzer, W., Ed.; Westfälische Verlagsbuchhandlung Mocker & Jahn: Soest, Germany, 2013; Volume 13, pp. 119–274. [Google Scholar]
  32. Quast, C.; Pruesse, E.; Yilmaz, P.; Gerken, J.; Schweer, T.; Yarza, P.; Peplies, J.; Glockner, F.O. The SILVA ribosomal RNA gene database project: Improved data processing and web-based tools. Nucleic Acids Res. 2013, 41, D590–D596. [Google Scholar] [CrossRef]
  33. Klindworth, A.; Pruesse, E.; Schwee, T.; Peplies, J.; Quast, C.; Horn, M.; Glockner, F.O. Evaluation of general 16S ribosomal RNA gene PCR primers for classical and next-generation sequencing-based diversity studies. Nucleic Acids Res. 2013, 41, e1. [Google Scholar] [CrossRef]
  34. Yilmaz, P.; Parfrey, L.-W.; Yarza, P.; Gerken, J.; Pruesse, E.; Quast, C.; Schweer, T.; Peplies, J.; Ludwig, W.; Glockner, F.O. The SILVA and “All-species Living Tree Project (LTP)” taxonomic frameworks. Nucleic Acid Res. 2014, 42, D643–D648. [Google Scholar] [CrossRef] [PubMed]
  35. Ettwig, K.F.; Butler, M.K.; Le Paslier, D.; Pelletier, E.; Mangenot, S.; Kuypers, M.M.M.; Schreiber, F.; Dutilh, B.E.; Zedelius, J.; de Beer, D.; et al. Nitrite-driven anaerobic methane oxdation by oxygenic bacteria. Nature 2010, 464, 543–548. [Google Scholar] [CrossRef] [PubMed]
  36. Maszenan, A.M.; Seviour, R.J.; Patel, B.K.; Rees, G.N.; McDougall, B.M. Amaricoccus gen. nov., a gram-negative coccus occurring in regular packages or tetrads, isolated from activated sludge biomass, and descriptions of Amaricoccus veronensis sp. nov., Amaricoccus tamworthensis sp. nov., Amaricoccus macauensis sp. nov., and Amaricoccus kaplicensis sp. nov. Int. J. Syst. Bacteriol. 1997, 47, 727–734. [Google Scholar] [PubMed]
  37. Mohr, K.I.; Garcia, R.O.; Gerth, K.; Irschi, H.; Müller, R. Sandaracinus amylolyticus gen. nov., sp. nov., a starch-degrading soil myxobacterium, and description of Sandaracinaceae fam nov. Int. J. Syst. Bacteriol. 2012, 62, 1192–1198. [Google Scholar] [CrossRef]
  38. Kadnikov, V.V.; Mardanov, A.V.; Beletsky, A.V.; Rakitin, A.L.; Karnachuk, O.V.; Ravin, N.V. Phylogeny and physiology of candidate phylum BRC1 inferred from the first complete metagenome-assembled genome obtained from deep subsurface aquifer. Syst. Appl. Microbiol. 2019, 42, 67–76. [Google Scholar] [CrossRef]
  39. Dixon, B. Cheese, toes and mosquitoes. Br. Med. J. 1996, 312, 72609132. [Google Scholar] [CrossRef]
  40. Vaz-Moreira, I.; Nobre, M.F.; Nunes, O.C.; Manai, C.M. Gulbenkiania mobilis gen. nov., sp. nov., isolated from treated municipal wastewater. Int. J. Syst. Evol. Microbiol. 2007, 57, 1108–1112. [Google Scholar] [CrossRef]
  41. Collins, M.D.; Jovita, M.R.; Lawson, P.A.; Foster, G. Characterization of a novel gram-positive, catalase-negative coccus from horses: Description of Eremococcus coleocola gen. nov., sp. nov. Int. J. Syst. Bacteriol. 1999, 49, 1381–1385. [Google Scholar] [CrossRef]
  42. Etchebehere, C.; Pavan, M.E.; Zorzópulos, J.; Soubes, M.; Muxi, L. Coprothermobacter platensis sp. nov., a new anaerobic proteolytic thermophilic bacterium isolated from an anaerobic mesophilic sludge. Int. J. Syst. Evol. Microbiol. 1998, 49, 1297–1304. [Google Scholar] [CrossRef]
  43. Liu, C.-T.; Lin, S.-Y.; Hameed, A.; Liu, Y.-C.; Hsu, Y.-H.; Wong, W.-T.; Tseng, C.-H.; Lur, H.-S.; Young, C.-C. Oryzomicrobium terrae gen. nov., sp. nov., of the family Rhodocyclaceae isolated from paddy soil. Int. J. Syst. Evol. Microbiol. 2017, 67, 001565. [Google Scholar] [CrossRef]
  44. Watanabe, M.; Kojima, H.; Fukui, M. Review of Desulfotomaculum species and proposal of the genera Desulfallas gen. nov., Desulfofundulus gen. nov., Desulfofarcimen gen. nov. and Desulfohalotomaculum gen. nov. Int. J. Syst. Evlo. Microbiol. 2018, 68, 2891–2899. [Google Scholar] [CrossRef]
  45. Oren, A.; Garrity, G.M. Valid publication of the names of forty-two phyla of prokaryotes. Int. J. Syst. Evol. Microbiol. 2021, 10, 5056. [Google Scholar] [CrossRef] [PubMed]
  46. Gerritsen, J.; Fuentes, S.; Grievink, W.; VanNiftrik, L.; Tindall, J.B.; Timmermann, H.M.; Rijkers, G.T.; Smidt, H. Characterization of Romboutsia ilealis gen. nov., sp. nov., isolated from the gastro-intestinal tract of a rat, and proposal for the reclassification of five closely related members of the genus Clostridium into the genera Romboutsia gen. nov., Intestinibacter gen. nov., Terrisporobacter gen. nov. and Asaccharospora gen. nov. Int. J. Syst. Evlo. Microbiol. 2014, 64, 1600–1616. [Google Scholar]
  47. Gupta, S.; Garg, M.; Misra, S.; Singhal, S. Granulicatella adiacens abscess: Two rare cases and review. J. Lab. Physicians 2018, 10, 121–123. [Google Scholar] [CrossRef] [PubMed]
  48. Chen, R.; Xie, Z.; Xiao, Q.; Wang, C.; Wen, R. Insight into the microbial diversity and community in the sacrificial pits of Sanxingdui site (Sichuan, China). Front. Microbiol. 2024, 15, 1489025. [Google Scholar] [CrossRef]
  49. Liu, L.; Zhang, Y.; Ge, W.; Lin, Z.; Sinnott-Armstrong, N.; Yang, L. Revealing the 2300-Year-Old Fermented Beverage in a Bronze Bottle from Shaanxi, China. Fermentation 2024, 10, 365. [Google Scholar] [CrossRef]
  50. Chernysheva, E.; Kashirskaya, N.; Demkina, E.; Khomutova, T.; Plekhanova, L.; Bosirov, A. Organic grave good-related soil microorganisms: Read-out of soil biological memory for archaeological research. Catena 2025, 254, 108955. [Google Scholar] [CrossRef]
  51. Zhu, D.; Griffith, D.V.; Fenton, G.A.; Huang, J. Probabilistic stability analyses of two-layer undrained slopes. Comput. Geotech. 2025, 182, 107178. [Google Scholar] [CrossRef]
  52. Zhu, Y.; Sun, H.; Xu, S. The Failure Process and Stability Analysis of Earthen Dam Under the Coupling Effect of Seepage–Suffusion–Stress. Buildings 2026, 16, 440. [Google Scholar] [CrossRef]
Figure 1. Profile of Neolithic ditch of Hachum (Germany): (a) situation during archaeological investigation, south part of ditch cut, and (b) scheme of ditch profile with UTM coordinates and sampling positions.
Figure 1. Profile of Neolithic ditch of Hachum (Germany): (a) situation during archaeological investigation, south part of ditch cut, and (b) scheme of ditch profile with UTM coordinates and sampling positions.
Applsci 16 01494 g001
Figure 2. Comparison of phyla abundance (percentages) in the samples, represented by 16S rRNA.
Figure 2. Comparison of phyla abundance (percentages) in the samples, represented by 16S rRNA.
Applsci 16 01494 g002
Figure 3. Phyla preferentially present in the middle depth inside the ditch profile: (a) Percentage of Acidobacteriota in the ditch profile. (b) Percentage of Myxococcota in the ditch profile.
Figure 3. Phyla preferentially present in the middle depth inside the ditch profile: (a) Percentage of Acidobacteriota in the ditch profile. (b) Percentage of Myxococcota in the ditch profile.
Applsci 16 01494 g003
Figure 4. Phyla preferentially present in the middle depth inside the ditch profile: (a) Percentage of Planctomycetota in the ditch profile. (b) Percentage of Methylomirabilota in the ditch profile.
Figure 4. Phyla preferentially present in the middle depth inside the ditch profile: (a) Percentage of Planctomycetota in the ditch profile. (b) Percentage of Methylomirabilota in the ditch profile.
Applsci 16 01494 g004
Figure 5. Examples of binary correlation diagrams for the number of reads of all detected OTUs showing a comparatively high correlation between samples taken in the middle depth inside the ditch profile.
Figure 5. Examples of binary correlation diagrams for the number of reads of all detected OTUs showing a comparatively high correlation between samples taken in the middle depth inside the ditch profile.
Applsci 16 01494 g005
Figure 6. Examples of binary correlation diagrams for the number of reads of all detected OTUs showing a comparatively low correlation between selected samples taken in the central part and in the periphery of the ditch profile.
Figure 6. Examples of binary correlation diagrams for the number of reads of all detected OTUs showing a comparatively low correlation between selected samples taken in the central part and in the periphery of the ditch profile.
Applsci 16 01494 g006
Figure 7. Group of OTUs (number of reads) exclusively or preferentially present in the middle depth inside the ditch profile.
Figure 7. Group of OTUs (number of reads) exclusively or preferentially present in the middle depth inside the ditch profile.
Applsci 16 01494 g007
Figure 8. Group of OTUs (number of reads) exclusively or preferentially present outside the sampling positions of the central part inside the ditch profile.
Figure 8. Group of OTUs (number of reads) exclusively or preferentially present outside the sampling positions of the central part inside the ditch profile.
Applsci 16 01494 g008
Figure 9. Group of OTUs (number of reads) exclusively or preferentially present at the bottom of the ditch profile.
Figure 9. Group of OTUs (number of reads) exclusively or preferentially present at the bottom of the ditch profile.
Applsci 16 01494 g009
Disclaimer/Publisher’s Note: The statements, opinions and data contained in all publications are solely those of the individual author(s) and contributor(s) and not of MDPI and/or the editor(s). MDPI and/or the editor(s) disclaim responsibility for any injury to people or property resulting from any ideas, methods, instructions or products referred to in the content.

Share and Cite

MDPI and ACS Style

Köhler, J.M.; Cao, J.; Günther, P.M.; Geschwinde, M. NGS Data of Local Soil Bacterial Communities Reflecting the Ditch Profile of a Neolithic Rampart from Hachum (Germany). Appl. Sci. 2026, 16, 1494. https://doi.org/10.3390/app16031494

AMA Style

Köhler JM, Cao J, Günther PM, Geschwinde M. NGS Data of Local Soil Bacterial Communities Reflecting the Ditch Profile of a Neolithic Rampart from Hachum (Germany). Applied Sciences. 2026; 16(3):1494. https://doi.org/10.3390/app16031494

Chicago/Turabian Style

Köhler, Johann Michael, Jialan Cao, Peter Mike Günther, and Michael Geschwinde. 2026. "NGS Data of Local Soil Bacterial Communities Reflecting the Ditch Profile of a Neolithic Rampart from Hachum (Germany)" Applied Sciences 16, no. 3: 1494. https://doi.org/10.3390/app16031494

APA Style

Köhler, J. M., Cao, J., Günther, P. M., & Geschwinde, M. (2026). NGS Data of Local Soil Bacterial Communities Reflecting the Ditch Profile of a Neolithic Rampart from Hachum (Germany). Applied Sciences, 16(3), 1494. https://doi.org/10.3390/app16031494

Note that from the first issue of 2016, this journal uses article numbers instead of page numbers. See further details here.

Article Metrics

Back to TopTop