Improved Daily Nighttime Light Data as High-Frequency Economic Indicator
Abstract
1. Introduction
2. Method
2.1. Econometric Diagnosis and Local Correction of Residual Disturbances in Daily NTL Data
2.1.1. Construction of Disturbance Factor Indicators
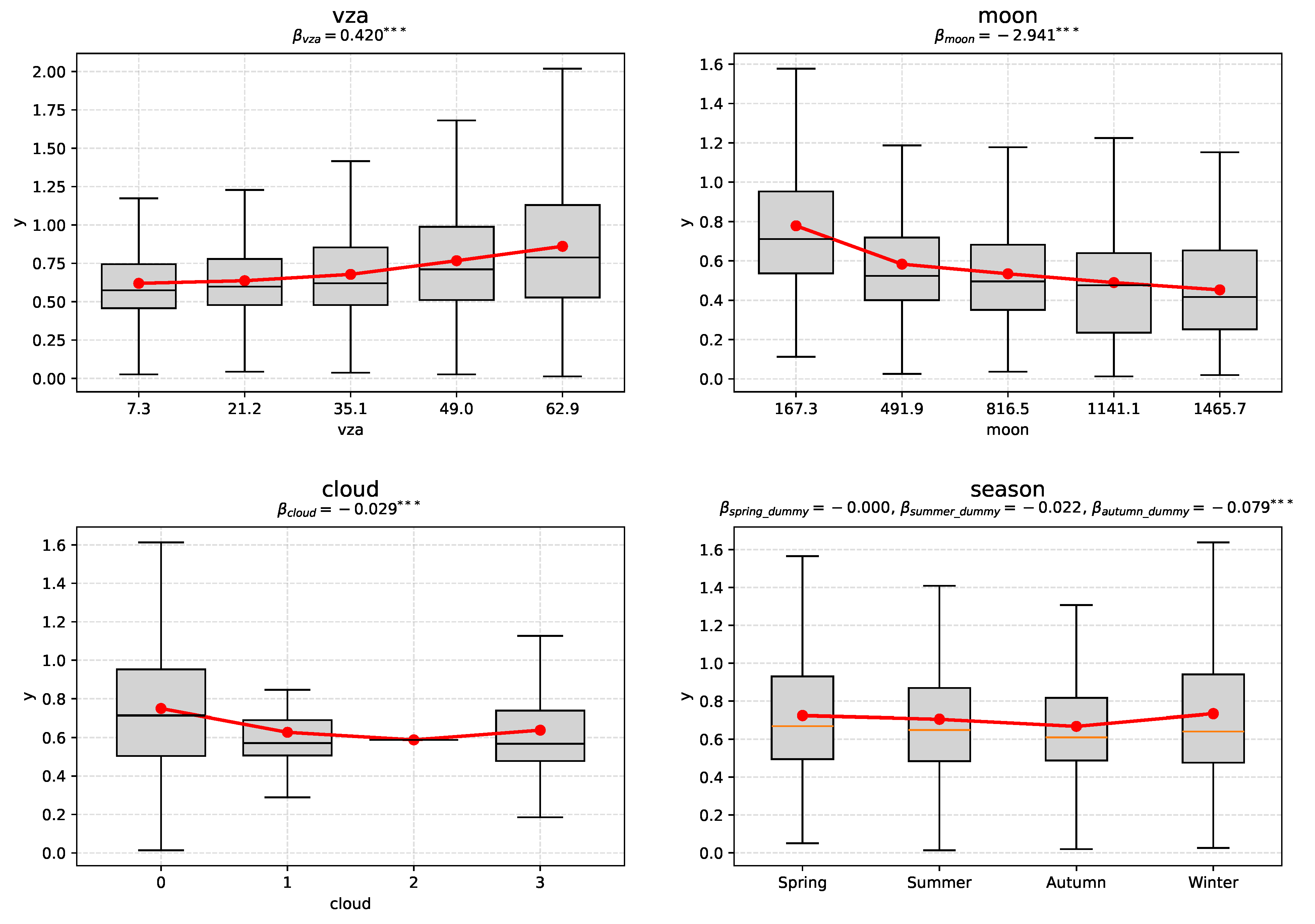
2.1.2. Econometric Identification of Residual Disturbance Effects
2.1.3. Local Correction of Statistically Significant Disturbances
2.2. The Improved Daily NTL Data for High-Frequency Economic Analysis
- First, the economic outcome of interest can be proxied by local NTL intensity. The daily NTL observations across multiple spatial units forms a panel dataset that cross-sectional units correspond to geographically localized economic activities.
- Second, the policies of interest operate at high temporal frequency. The policy implementation and adjustment can be dated precisely at the daily or weekly level.
- Third, policy timing may be misaligned across units. Different locations may experience policy at different dates caused by decentralized decision-making, heterogeneous exposure to shocks or staggered implementation schedules.
- Fourth, we allow for policies to exit and re-enter within the same unit. A given location may experience multiple policy episodes over time. We interest on identifying the short-run impact of policy interventions, and we assume that repeated policy occurrences within a unit do not alter the interpretation of these short-term effects.
- (1)
- Time-varying difference-in-differences with multiple events.
- (2)
- Timing-based event study with multiple events and an explicit window.
3. Results and Discussions
3.1. The Improved Daily NTL Data
3.1.1. Data Preparation for Demonstration and Result Illustration
3.1.2. Regression Results
3.1.3. Illustrative Example: A Single Grid Cell
3.1.4. Comparison for Short-Period Event Detection
3.2. Economic Application Example: Dynamic Policy Effects During COVID-19
4. Conclusions
Author Contributions
Funding
Institutional Review Board Statement
Informed Consent Statement
Data Availability Statement
Conflicts of Interest
Abbreviations
| NTL | Nighttime Light |
| VIIRS | Visible Infrared Imaging Radiometer Suite |
| DMSP/OLS | Defense Meteorological Satellite Program/Operational Linescan System |
| VNP46A1 | VIIRS Nighttime Lights, Daily At-Sensor Top-of-Atmosphere Radiance Product |
| VNP46A2 | VIIRS Nighttime Lights, Daily Moonlight- and Atmosphere-Corrected Product |
| BRDF | Bidirectional Reflectance Distribution Function |
| SFAC | Self-Filtering and Angular Correction |
| HDNTL | High-Definition Nighttime Light dataset |
| STL | Seasonal-Trend Decomposition using LOESS |
| GIS | Geographic Information System |
| CNDZ | China National Development Zone |
| DiD | Difference-in-Differences |
| ATE | Average Treatment Effect |
| AQI | Air Quality Index |
| PM2.5 | Particulate Matter with diameter ≤ 2.5 µm |
| PM10 | Particulate Matter with diameter ≤ 10 µm |
| VZA | Viewing Zenith Angle |
| VAA | Viewing Azimuth Angle |
Appendix A. Detailed Regression Results for the Economic Application Example
Appendix A.1. Data Description
| Variable | Mean | Std. Dev. | Minimum | Maximum |
|---|---|---|---|---|
| NTL intensity | 21.65 | 15.01 | 0 | 175.10 |
| Air Quality Index (AQI) | 71.97 | 40.03 | 0 | 500 |
| PM2.5 | 35.15 | 29.54 | 0 | 906 |
| PM10 | 59.70 | 46.01 | 0 | 2768 |
| New confirmed cases (infected) | 1.819 | 63.65 | 0 | 12,523 |
| Marketization degree (mkt) | 7.480 | 1.792 | 0.620 | 9.780 |
| Duration of first-level response (flr) | 43.43 | 19.22 | 27 | 99 |
| Lockdown days | 2.781 | 9.146 | 0 | 56 |
Appendix A.2. The Baseline Regression

Appendix A.3. Detailed Regression Results by Pandemic Waves
| Panel 1: Early and Medium Stages of Pandemic Control (Wave 1–Wave 4) | ||||
| Variable | Wave 1 | Wave 2 | Wave 3 | Wave 4 |
| Lockdown policy | −0.0737 ** | −0.0429 *** | −0.0100 ** | −0.0293 *** |
| (0.0288) | (0.0085) | (0.0039) | (0.0026) | |
| Constant | 2.8460 *** | 3.030 *** | 3.131 *** | 3.228 *** |
| (0.093) | (0.0084) | (0.0154) | (0.0033) | |
| Month fixed effects | – | Yes | Yes | Yes |
| AQI control | – | Yes | Yes | Yes |
| Observations | 15,160 | 6416 | 7549 | 12,981 |
| 0.003 | 0.029 | 0.091 | 0.133 | |
| Number of units | 530 | 276 | 176 | 256 |
| Panel 2: Later stages of pandemic control (Wave 5–Wave 8) | ||||
| Variable | Wave 5 | Wave 6 | Wave 7 | Wave 8 |
| Lockdown policy | −0.0280 *** | −0.0026 | 0.0028 | −0.0166 *** |
| (0.0033) | (0.0039) | (0.0035) | (0.00336) | |
| Constant | 3.287 *** | 3.254 *** | 3.216 *** | 3.006 *** |
| (0.0037) | (0.0035) | (0.0041) | (0.0107) | |
| Month fixed effects | Yes | Yes | Yes | Yes |
| AQI control | Yes | Yes | Yes | Yes |
| Observations | 8806 | 7672 | 13,102 | 13,940 |
| 0.090 | 0.044 | 0.043 | 0.019 | |
| Number of units | 175 | 230 | 318 | 460 |
References
- Elvidge, C.D.; Baugh, K.E.; Kihn, E.A.; Kroehl, H.W.; Davis, E.R. Mapping city lights with nighttime data from the DMSP Operational Linescan System. Photogramm. Eng. Remote Sens. 1997, 63, 727–734. [Google Scholar]
- Elvidge, C.D.; Baugh, K.E.; Dietz, J.B.; Bland, T.; Sutton, P.C.; Kroehl, H.W. Radiance calibration of DMSP-OLS low-light imaging data of human settlements. Remote Sens. Environ. 1999, 68, 77–88. [Google Scholar] [CrossRef]
- Elvidge, C.D.; Baugh, K.; Zhizhin, M.; Hsu, F.C.; Ghosh, T. VIIRS night-time lights. Int. J. Remote Sens. 2017, 38, 5860–5879. [Google Scholar] [CrossRef]
- Li, X.; Zhao, L.; Li, D.; Xu, H. Mapping urban extent using Luojia 1-01 nighttime light imagery. Sensors 2018, 18, 3665. [Google Scholar] [CrossRef] [PubMed]
- Zhang, G.; Wang, J.; Jiang, Y.; Zhou, P.; Zhao, Y.; Xu, Y. On-orbit geometric calibration and validation of Luojia 1-01 night-light satellite. Remote Sens. 2019, 11, 264. [Google Scholar] [CrossRef]
- Zhang, C.; Pei, Y.; Li, J.; Qin, Q.; Yue, J. Application of luojia 1-01 nighttime images for detecting the light changes for the 2019 spring festival in western cities, China. Remote Sens. 2020, 12, 1416. [Google Scholar] [CrossRef]
- Guo, B.; Hu, D.; Zheng, Q. Potentiality of SDGSAT-1 glimmer imagery to investigate the spatial variability in nighttime lights. Int. J. Appl. Earth Obs. Geoinf. 2023, 119, 103313. [Google Scholar] [CrossRef]
- Li, C.; Chen, F.; Wang, N.; Yu, B.; Wang, L. SDGSAT-1 nighttime light data improve village-scale built-up delineation. Remote Sens. Environ. 2023, 297, 113764. [Google Scholar] [CrossRef]
- Doll, C.H.; Muller, J.P.; Elvidge, C.D. Night-time imagery as a tool for global mapping of socioeconomic parameters and greenhouse gas emissions. AMBIO J. Hum. Environ. 2000, 29, 157–162. [Google Scholar] [CrossRef]
- Henderson, J.V.; Storeygard, A.; Weil, D.N. Measuring economic growth from outer space. Am. Econ. Rev. 2012, 102, 994–1028. [Google Scholar] [CrossRef]
- Donaldson, D.; Storeygard, A. The view from above: Applications of satellite data in economics. J. Econ. Perspect. 2016, 30, 171–198. [Google Scholar] [CrossRef]
- Hu, Y.; Yao, J. Illuminating economic growth. J. Econom. 2022, 228, 359–378. [Google Scholar] [CrossRef]
- Chen, X.; Nordhaus, W.D. VIIRS nighttime lights in the estimation of cross-sectional and time-series GDP. Remote Sens. 2019, 11, 1057. [Google Scholar] [CrossRef]
- Chetty, R.; Friedman, J.N.; Stepner, M. The economic impacts of COVID-19: Evidence from a new public database built using private sector data. Q. J. Econ. 2024, 139, 829–889. [Google Scholar] [CrossRef]
- Baker, S.R.; Farrokhnia, R.A.; Meyer, S.; Pagel, M.; Yannelis, C. How does household spending respond to an epidemic? Consumption during the 2020 COVID-19 pandemic. Rev. Asset Pricing Stud. 2020, 10, 834–862. [Google Scholar] [CrossRef]
- Allcott, H.; Boxell, L.; Conway, J.; Gentzkow, M.; Thaler, M.; Yang, D. Polarization and public health: Partisan differences in social distancing during the coronavirus pandemic. J. Public Econ. 2020, 191, 104254. [Google Scholar] [CrossRef] [PubMed]
- Goolsbee, A.; Syverson, C. Fear, lockdown, and diversion: Comparing drivers of pandemic economic decline 2020. J. Public Econ. 2021, 193, 104311. [Google Scholar] [CrossRef] [PubMed]
- Berry, C.R.; Fowler, A.; Glazer, T.; Handel-Meyer, S.; MacMillen, A. Evaluating the effects of shelter-in-place policies during the COVID-19 pandemic. Proc. Natl. Acad. Sci. USA 2021, 118, e2019706118. [Google Scholar] [CrossRef] [PubMed]
- Glaeser, E.L.; Gorback, C.; Redding, S.J. JUE insight: How much does COVID-19 increase with mobility? Evidence from New York and four other US cities. J. Urban Econ. 2022, 127, 103292. [Google Scholar] [CrossRef]
- Forsythe, E.; Kahn, L.B.; Lange, F.; Wiczer, D. Where have all the workers gone? Recalls, retirements, and reallocation in the COVID recovery. Labour Econ. 2022, 78, 102251. [Google Scholar] [CrossRef]
- Lourenço, N.; Rua, A. The Daily Economic Indicator: Tracking economic activity daily during the lockdown. Econ. Model. 2021, 100, 105500. [Google Scholar] [CrossRef]
- Arora, V.; Lieskovsky, J. Electricity Use as an Indicator of US Economic Activity; Technical Report; ZBW-Leibniz Information Centre for Economics: Kiel, Germany, 2016. [Google Scholar]
- Chen, J.; Chen, W.; Liu, E.; Luo, J.; Song, Z. The economic cost of locking down like China: Evidence from city-to-city truck flows. J. Urban Econ. 2025, 145, 103729. [Google Scholar] [CrossRef]
- Wang, Z.; Román, M.O.; Kalb, V.L.; Miller, S.D.; Zhang, J.; Shrestha, R.M. Quantifying uncertainties in nighttime light retrievals from Suomi-NPP and NOAA-20 VIIRS Day/Night Band data. Remote Sens. Environ. 2021, 263, 112557. [Google Scholar] [CrossRef]
- Wu, Y.; Li, X. Exploring the drivers of variations in daily nighttime light time series from the perspective of periodic factors. IEEE Geosci. Remote Sens. Lett. 2024, 21, 3000905. [Google Scholar] [CrossRef]
- Li, X.; Ma, R.; Zhang, Q.; Li, D.; Liu, S.; He, T.; Zhao, L. Anisotropic characteristic of artificial light at night–Systematic investigation with VIIRS DNB multi-temporal observations. Remote Sens. Environ. 2019, 233, 111357. [Google Scholar] [CrossRef]
- Tan, X.; Zhu, X.; Chen, J.; Chen, R. Modeling the direction and magnitude of angular effects in nighttime light remote sensing. Remote Sens. Environ. 2022, 269, 112834. [Google Scholar] [CrossRef]
- Levin, N. The impact of seasonal changes on observed nighttime brightness from 2014 to 2015 monthly VIIRS DNB composites. Remote Sens. Environ. 2017, 193, 150–164. [Google Scholar] [CrossRef]
- Wang, Z.; Román, M.O.; Shrestha, R.; Yao, T.; Kalb, V. Black Marble User Guide (Collection 2.0); Technical Report; NASA Goddard Space Flight Center: Greenbelt, MD, USA, 2024. [Google Scholar]
- Pei, Z.; Zhu, X.; Hu, Y.; Chen, J.; Tan, X. A high-quality daily nighttime light (HDNTL) dataset for global 600+ cities (2012–2024). Earth Syst. Sci. Data 2025, 17, 5675–5691. [Google Scholar] [CrossRef]
- Hu, Y.; Zhou, X.; Yamazaki, D.; Chen, J. A self-adjusting method to generate daily consistent nighttime light data for the detection of short-term rapid human activities. Remote Sens. Environ. 2024, 304, 114077. [Google Scholar] [CrossRef]
- Hao, X.; Liu, J.; Heiskanen, J.; Maeda, E.E.; Gao, S.; Li, X. A robust gap-filling method for predicting missing observations in daily Black Marble nighttime light data. GISci. Remote Sens. 2023, 60, 2282238. [Google Scholar] [CrossRef]
- Miller, D.L. An introductory guide to event study models. J. Econ. Perspect. 2023, 37, 203–230. [Google Scholar] [CrossRef]
- Cleveland, R.B.; Cleveland, W.S.; Terpenning, I. STL: A Seasonal-Trend Decomposition Procedure Based on Loess. J. Off. Stat. 1990, 6, 3. [Google Scholar]
- China Development Zone Audit Bulletin Directory. Available online: https://www.ndrc.gov.cn/xxgk/zcfb/gg/201803/t20180302_961203.html?code=&state=123 (accessed on 2 May 2025).
- Geographic Data Sharing Infrastructure. Available online: https://geodata.pku.edu.cn/index.php?c=content&a=show&id=1161# (accessed on 2 May 2025).









| Variable (Unit) | Symbol | Source | Original Variable Name | Grid-Level Aggregation | Normalization |
|---|---|---|---|---|---|
| Nighttime light radiance () | y | A2 | Gap_Filled_DNB_BRDF -Corrected_NTL | Mean | None |
| Lunar irradiance () | moon | A2 | DNB_Lunar_Irradiance | Mean | |
| Viewing azimuth angle (degree) | vaa | A1 | Sensor_Azimuth | Mean | |
| Viewing zenith angle (degree) | vza | A1 | Sensor_Zenith | Mean | |
| Cloud contamination (0–3: cloud-free to fully cloudy) | cloud | A1 | QF_Cloud_Mask | Mode | None |
| Long-term day trend (days) | daytrend | Derived | – | Exact | |
| Spring indicator | spring_dummy | Derived | – | Exact | None |
| Summer indicator | summer_dummy | Derived | – | Exact | None |
| Autumn indicator | autumn_dummy | Derived | – | Exact | None |
| Winter indicator | winter_dummy | Derived | – | Exact | None |
| Before Correction | After Correction | |
|---|---|---|
| Intercept | 0.0444 *** | 0.00429 *** |
| (0.00145) | (0.00012) | |
| moon | −2.9407 *** | −0.0121 |
| (0.1119) | (0.00905) | |
| vaa | 0.00950 | 0.00002 |
| (0.01068) | (0.00086) | |
| vza | 0.4200 *** | −0.00070 |
| (0.02417) | (0.00196) | |
| vaa × vza | −0.1108 | 0.00873 |
| (0.2858) | (0.02313) | |
| cloud | −0.02881 *** | 0.0001 |
| (0.0002) | (0.0002) | |
| daytrend | 0.1248 *** | 0.1240 *** |
| (0.0036) | (0.0032) | |
| spring_dummy | −0.0002 | 0.0004 |
| (0.0117) | (0.0009) | |
| summer_dummy | −0.0223 * | 0.0001 |
| (0.0118) | (0.0010) | |
| autumn_dummy | −0.0786 *** | −0.0011 |
| (0.0117) | (0.0009) |
Disclaimer/Publisher’s Note: The statements, opinions and data contained in all publications are solely those of the individual author(s) and contributor(s) and not of MDPI and/or the editor(s). MDPI and/or the editor(s) disclaim responsibility for any injury to people or property resulting from any ideas, methods, instructions or products referred to in the content. |
© 2026 by the authors. Licensee MDPI, Basel, Switzerland. This article is an open access article distributed under the terms and conditions of the Creative Commons Attribution (CC BY) license.
Share and Cite
Yue, X.; Zhao, Z.; Hu, K. Improved Daily Nighttime Light Data as High-Frequency Economic Indicator. Appl. Sci. 2026, 16, 947. https://doi.org/10.3390/app16020947
Yue X, Zhao Z, Hu K. Improved Daily Nighttime Light Data as High-Frequency Economic Indicator. Applied Sciences. 2026; 16(2):947. https://doi.org/10.3390/app16020947
Chicago/Turabian StyleYue, Xiangqi, Zhong Zhao, and Kun Hu. 2026. "Improved Daily Nighttime Light Data as High-Frequency Economic Indicator" Applied Sciences 16, no. 2: 947. https://doi.org/10.3390/app16020947
APA StyleYue, X., Zhao, Z., & Hu, K. (2026). Improved Daily Nighttime Light Data as High-Frequency Economic Indicator. Applied Sciences, 16(2), 947. https://doi.org/10.3390/app16020947

