In Vitro and In Silico Assessment of the Anticancer Potential of Ethyl Acetate/Water Extract from the Leaves of Cotinus coggygria Scop. in HepG2 Human Hepatocarcinoma Cells
Abstract
1. Introduction
2. Materials and Methods
2.1. Materials
2.2. Methods
2.2.1. Extraction
2.2.2. Antioxidant Capacity Assays
DPPH Radical Scavenging Assay (DPPH●)
Superoxide Anion Radical Generating System (O2●−)
ABTS Radical Scavenging Assay (ABTS+●)
2.2.3. Cells Culturing
2.2.4. Cell Viability Assay
2.2.5. Inhibition Assay for POP
2.2.6. Flow Cytometric Analysis of the Cell Cycle
2.2.7. Fluorescent Microscopy
2.2.8. Flow Cytometric Analysis of Apoptosis
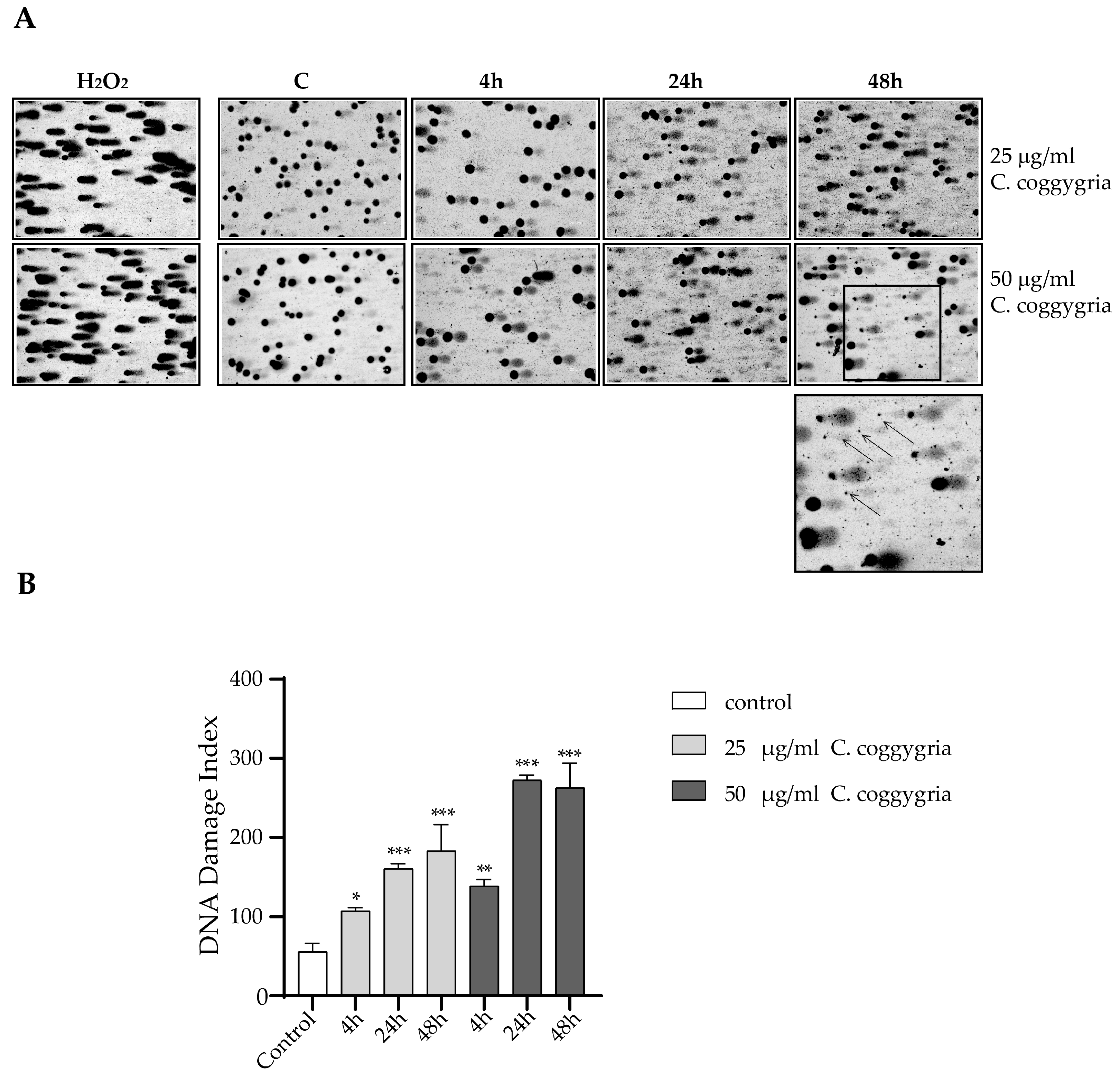
2.2.9. Alkaline Comet Assay
2.2.10. Mitochondrial Membrane Potential (ΔΨm) Assessment
2.2.11. Molecular Docking
| Enzyme | PDB | Resolution (Å) | Ligands | References |
|---|---|---|---|---|
| CDK2 | 1HCK | 1.90 | ATP | [32] |
| CDK2 | 4KD1 | 1.70 | Dinaciclib | [33] |
| CDK2 | 1FIN | 2.30 | Cyclin A | [34] |
| CDK2 | 5NEV | 2.97 | Cyclin A and 6-substituted 2-arylaminopurine type inhibitor | [35] |
| CDK2 (Phospho- Thr160) | 4EOM | 2.10 | Cyclin A and ATP | [36] |
| Chk1 | 7AKM | 1.98 | ATPγS | [37] |
| Chk1 | 1ZYS | 1.70 | 1H-pyrrolo[2,3-b]pyridine type inhibitor | [38] |
| Chk1 | 2YEX | 1.30 | Triazolone type inhibitor | [39] |
2.2.12. Statistical Analyses
3. Results and Discussion
3.1. Antioxidant Activity
3.2. Assessment of Cytotoxicity and In Vitro Anticancer Activity of C. coggygria Extract
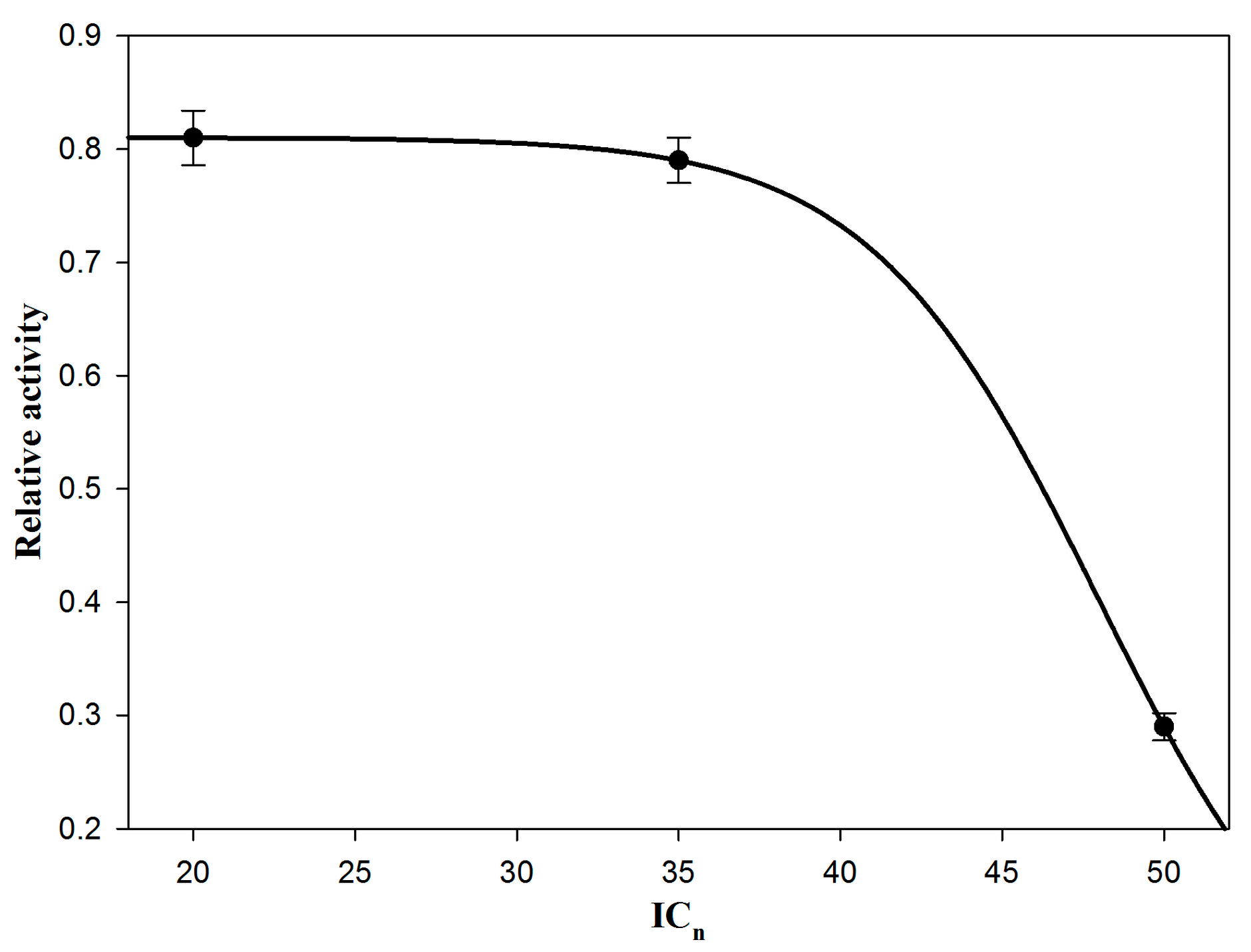
3.2.1. Cytotoxicity Evaluation
3.2.2. In Vitro Anticancer Activity
3.3. Inhibition Assay for POP
3.4. FACS Analysis of the Cell Cycle
3.5. Fluorescence Microscopy Analyses
3.6. Apoptosis Assay
3.7. Genotoxicity Assay
3.8. Mitochondrial Staining by JC1
3.9. Ligand–Protein Docking Study
4. Conclusions
Supplementary Materials
Author Contributions
Funding
Institutional Review Board Statement
Informed Consent Statement
Data Availability Statement
Conflicts of Interest
References
- Matic, S.; Stanic, S.; Mihailovic, M.; Bogojevic, D. Cotinus coggygria Scop.: An overview of its chemical constituents, pharmacological and toxicological potential. Saudi J. Biol. Sci. 2016, 23, 452–461. [Google Scholar] [CrossRef]
- Antal, D.S.; Ardelean, F.; Jijie, R.; Pinzaru, I.; Soica, C.; Dehelean, C. Integrating ethnobotany, phytochemistry, and pharmacology of Cotinus coggygria and Toxicodendron vernicifluum: What predictions can be made for the European smoketree? Front. Pharmacol. 2021, 12, 662852. [Google Scholar] [CrossRef]
- Ciocan, A.-G.; Tecuceanu, V.; Enache-Preoteasa, C.; Mitoi, E.M.; Helepciuc, F.E.; Vassu Dimov, T.; Simon-Gruita, A.; Cogălniceanu, G.C. Phenological and environmental factors’ impact on secondary metabolites in medicinal plant Cotinus coggygria Scop. Plants 2023, 12, 1762. [Google Scholar] [CrossRef] [PubMed]
- Ivanov, I.; Vasileva, A.; Tasheva, D.; Dimitrova, M. Isolation and characterization of natural inhibitors of post-proline specific peptidases from the leaves of Cotinus coggygria Scop. J. Ethnopharmacol. 2023, 314, 116508. [Google Scholar] [CrossRef] [PubMed]
- Sukhikh, S.; Noskova, S.; Pungin, A.; Ivanova, S.; Skrypnik, L.; Chupakhin, E.; Babich, O. Study of the biologically active properties of medicinal plant Cotinus coggygria. Plants 2021, 10, 1224. [Google Scholar] [CrossRef]
- Pašić, I.; Novaković, M.; Tešević, V.; Milosavljević, S.; Petrović, N.; Stanojković, T.; Matić, I.Z. Exploring the anticancer potential of extracts and compounds from the heartwood of Cotinus coggygria Scop. wild growing in Serbia. BMC Complement. Med. Ther. 2025, 25, 36. [Google Scholar] [CrossRef]
- Wen, C.; Dechsupa, N.; Yu, Z.; Zhang, X.; Liang, S.; Lei, X.; Xu, T.; Gao, X.; Hu, Q.; Innuan, P.; et al. Pentagalloyl glucose: A review of anticancer properties, molecular targets, mechanisms of action, parmacokinetics, and safety profile. Molecules 2023, 28, 4856. [Google Scholar] [CrossRef]
- Jackson, K.W.; Christiansen, V.J.; Yadav, V.R.; Silasi-Mansat, R.; Lupu, F.; Awasthi, V.; Zhang, R.R.; McKee, P.A. Suppression of tumor growth in mice by rationally designed pseudopeptide inhibitors of fibroblast activation protein and prolyl oligopeptidase. Neoplasia 2015, 17, 43–54. [Google Scholar] [CrossRef]
- Iliev, I.; Ivanov, I.; Todorova, K.; Tasheva, D.; Dimitrova, M. Cotinus coggygria non-volatile fraction affects the survival of human cultured cells. Acta morphol. anthropol. 2021, 28, 13–18. [Google Scholar]
- Kant, R.; Yen, C.-H.; Lu, C.-K.; Lin, Y.-C.; Li, J.-H.; Chen, Y.-M.A. Identification of 1,2,3,4,6-Penta-O-galloyl-β-D-glucopyranoside as a Glycine N-Methyltransferase Enhancer by High-Throughput Screening of Natural Products Inhibits Hepatocellular Carcinoma. Int. J. Mol. Sci. 2016, 17, 669. [Google Scholar] [CrossRef]
- Dicrassin Ltd. and Bilkolechenie.bg. Available online: https://bilkolechenie.bg/ (accessed on 20 March 2023).
- Brand-Williams, W.; Cuvelier, M.; Berset, C. Use of a free radical method to evaluate antioxidant activity. LWT-Food Sci. Technol. 1995, 28, 25–30. [Google Scholar] [CrossRef]
- Beauchamp, C.; Fridovich, I. Superoxide dismutase: Improved assays and an assay applicable to acrylamide gels. Anal. Biochem. 1971, 44, 276–287. [Google Scholar] [CrossRef] [PubMed]
- Re, R.; Pellegrini, N.; Proteggente, A.; Pannala, A.; Yang, M.; Rice-Evans, C. Antioxidant activity applying an improved ABTS radical cation decolorization assay. Free Radic. Biol. Med. 1999, 26, 9–10. [Google Scholar] [CrossRef]
- Collins, A.; Møller, P.; Gajski, G.; Vodenkova, S.; Abdulwahed, A.; Anderson, D.; Bankoglu, E.E.; Bonassi, S.; Boutet-Robinet, E.; Brunborg, G.; et al. Measuring DNA modifications with the comet assay: A compendium of protocols. Nat. Protoc. 2023, 18, 929–989. [Google Scholar] [CrossRef]
- Singh, N.P.; Tice, R.R.; Stephens, R.E.; Schneider, E.L. A microgel electrophoresis technique for the direct quan-titation of DNA damage and repair in individual fibroblasts cultured on microscope slides. Mutat. Res. 1991, 252, 289–296. [Google Scholar] [CrossRef] [PubMed]
- Nadin, S.B.; Vargas-Roig, L.M.; Ciocca, D.R. A silver staining method for single-cell gel assay. J. Histochem. Cytochem. 2001, 49, 1183–1186. [Google Scholar] [CrossRef]
- Konca, K.; Lankoff, A.; Banasik, A.; Lisowska, H.; Kuszewski, T.; Gozdz, S.; Koza, Z.; Wojcik, A. A cross platform public domain PC image-analysis program for the comet assay. Mutat. Res. 2003, 534, 15–20. [Google Scholar] [CrossRef]
- Garcia, O.; Romero, I.; González, J.E.; Mandina, T. Measurements of DNA damage on silver stained comets using free Internet software. Mutat. Res. Genet. Toxicol. Environ. Mutagen. 2007, 627, 186–190. [Google Scholar] [CrossRef]
- Noroozi, M.; Angerson, W.J.; Lean, M.E.J. Effects of flavonoids and Vitamin C on oxidative DNA damage to human lymphocytes. Am. J. Clin. Nutr. 1998, 67, 1210–1218. [Google Scholar] [CrossRef]
- Protein Data Bank. RCSB PDB: The Research Collaboratory for Structural Bioinformatics Protein Data Bank. Available online: https://www.rcsb.org/ (accessed on 10 November 2022).
- BIOVIA Draw. Available online: https://biovia-draw-2021.software.informer.com/21.1/ (accessed on 11 April 2022).
- Parry, D.; Guzi, T.; Shanahan, F.; Davis, N.; Prabhavalkar, D.; Wiswell, D.; Seghezzi, W.; Paruch, K.; Dwyer, M.; Doll, R.; et al. Dinaciclib (SCH 727965), a novel and potent cyclin-dependent kinase inhibitor. Mol. Cancer Ther. 2010, 9, 2344–2353. [Google Scholar] [CrossRef]
- Lao, C.D.; Moon, J.; Ma, V.T.; Fruehauf, J.P.; Flaherty, L.E.; Bury, M.J.; Martin, W.G.; Gross, H.; Akerley, W.; Hopkins, J.O.; et al. Southwest Oncology Group S0826: A phase 2 trial of SCH 727965 (NSC 727135, dinaciclib) in patients with stage IV melanoma. Cancer 2025, 131, e35587. [Google Scholar] [CrossRef] [PubMed]
- Massey, A.J.; Stokes, S.; Browne, H.; Foloppe, N.; Fiumana, A.; Scrace, S.; Fallowfield, M.; Bedford, S.; Webb, P.; Baker, L.; et al. Identification of novel, in vivo active Chk1 inhibitors utilizing structure guided drug design. Oncotarget 2015, 6, 35797. [Google Scholar] [CrossRef]
- Rundle, S.; Bradbury, A.; Drew, Y.; Curtin, N.J. Targeting the ATR-CHK1 axis in cancer therapy. Cancers 2017, 9, 41. [Google Scholar] [CrossRef]
- BIOVIA Discovery Studio Visualizer. Available online: https://discover.3ds.com/discovery-studio-visualizer-download (accessed on 30 April 2025).
- Bugnon, M.; Röhrig, U.F.; Goullieux, M.; Perez, M.A.; Daina, A.; Michielin, O.; Zoete, V. SwissDock 2024: Major enhancements for small-molecule docking with Attracting Cavities and AutoDock Vina. Nucleic Acids Res. 2024, 52, W324–W332. [Google Scholar] [CrossRef]
- Röhrig, U.F.; Goullieux, M.; Bugnon, M.; Zoete, V. Attracting cavities 2.0: Improving the flexibility and robustness for small-molecule docking. J. Chem. Inf. Model. 2023, 63, 3925–3940. [Google Scholar] [CrossRef]
- Liu, Y.; Yang, X.; Gan, J.; Chen, S.; Xiao, Z.X.; Cao, Y. CB-Dock2: Improved protein–ligand blind docking by integrating cavity detection, docking and homologous template fitting. Nucleic Acids Res. 2022, 50, W159–W164. [Google Scholar] [CrossRef]
- Yang, X.; Liu, Y.; Gan, J.; Xiao, Z.X.; Cao, Y. FitDock: Protein–ligand docking by template fitting. Brief. Bioinform. 2022, 23, bbac087. [Google Scholar] [CrossRef]
- Schulze-Gahmen, U.; De Bondt, H.L.; Kim, S.H. High-resolution crystal structures of human cyclin-dependent kinase 2 with and without ATP: Bound waters and natural ligand as guides for inhibitor design. J. Med. Chem. 1996, 39, 4540–4546. [Google Scholar] [CrossRef]
- Martin, M.P.; Olesen, S.H.; Georg, G.I.; Schönbrunn, E. Cyclin-dependent kinase inhibitor dinaciclib interacts with the acetyl-lysine recognition site of bromodomains. ACS Chem. Biol. 2013, 8, 2360–2365. [Google Scholar] [CrossRef] [PubMed]
- Jeffrey, P.D.; Russo, A.A.; Polyak, K.; Gibbs, E.; Hurwitz, J.; Massagué, J.; Pavletich, N.P. Mechanism of CDK activation revealed by the structure of a cyclin A–CDK2 complex. Nature 1995, 376, 313–320. [Google Scholar] [CrossRef] [PubMed]
- Coxon, C.R.; Anscombe, E.; Harnor, S.J.; Martin, M.P.; Carbain, B.; Golding, B.T.; Hardcastle, I.R.; Harlow, L.K.; Korolchuk, S.; Matheson, C.J.; et al. Cyclin-dependent kinase (CDK) inhibitors: Structure–activity relationships and insights into the CDK2 selectivity of 6-substituted 2-arylaminopurines. J. Med. Chem. 2017, 60, 1746–1767. [Google Scholar] [CrossRef] [PubMed]
- Echalier, A.; Cot, E.; Camasses, A.; Hodimont, E.; Hoh, F.; Jay, P.; Sheinerman, F.; Krasinska, L.; Fisher, D. An integrated chemical biology approach provides insight into Cdk2 functional redundancy and inhibitor sensitivity. Chem. Biol. 2012, 19, 1028–1040. [Google Scholar] [CrossRef]
- Day, M.; Parry-Morris, S.; Houghton-Gisby, J.; Oliver, A.W.; Pearl, L.H. Structural basis for recruitment of the CHK1 DNA damage kinase by the CLASPIN scaffold protein. Structure 2021, 29, 531–539. [Google Scholar] [CrossRef] [PubMed]
- Protein Data Bank. Available online: https://www.rcsb.org/structure/1ZYS (accessed on 15 November 2022).
- Oza, V.; Ashwell, S.; Brassil, P.; Breed, J.; Ezhuthachan, J.; Deng, C.; Grondine, M.; Horn, C.; Liu, D.; Lyne, P.; et al. Synthesis and evaluation of triazolones as checkpoint kinase 1 inhibitors. Bioorg. Med. Chem. Lett. 2012, 22, 2330–2337. [Google Scholar] [CrossRef] [PubMed]
- Šavikin, K.; Zdunić, G.; Janković, T.; Stanojković, T.; Juranić, Z.; Menković, N. In vitro cytotoxic and antioxidative activity of Cornus mas and Cotinus coggygria. Nat. Prod. Res. 2009, 23, 1731–1739. [Google Scholar] [CrossRef]
- Shagun, S.; Sujata, B.; Manjul, S. Chemical profiling, antioxidant and antibacterial properties of Cotinus coggygria essential oil from Western Himalaya. Int. J. Pharmacog. Phytochem. Res. 2016, 8, 1183–1186. [Google Scholar]
- Şeker Karatoprak, G.; Kılıç, G.; Çelik, İ.; İlgın, S.; Köngül Şafak, E.; Koşar, M. Comprehensive analysis on Cotinus coggygria Scop. leaves: Phytochemical characterization, biological profile and docking studies. Stud. Univ. Babeș-Bolyai Chem. 2023, 68, 71–92. [Google Scholar] [CrossRef]
- Perillo, B.; Di Donato, M.; Pezone, A.; Di Zazzo, E.; Giovannelli, P.; Galasso, G.; Castoria, G.; Migliaccio, A. ROS in cancer therapy: The bright side of the moon. Exp. Mol. Med. 2020, 52, 192–203. [Google Scholar] [CrossRef]
- Brandl, N.; Seitz, R.; Sendtner, N.; Müller, M.; Gülow, K. Living on the Edge: ROS Homeostasis in Cancer Cells and Its Potential as a Therapeutic Target. Antioxidants 2025, 14, 1002. [Google Scholar] [CrossRef]
- Yin, S.; Dong, Y.; Li, J.; Lu, J.; Hu, H. Penta-1,2,3,4,6-O-galloyl-β-D-glucose induces senescence-like terminal S-phase arrest in human hepatoma and breast cancer cells. Mol. Carcinog. 2011, 50, 592–600. [Google Scholar] [CrossRef]
- Fagbohun, O.F.; Gillies, C.R.; Murphy, K.P.J.; Rupasinghe, H.P.V. Role of Antioxidant Vitamins and Other Micronutrients on Regulations of Specific Genes and Signaling Pathways in the Prevention and Treatment of Cancer. Int. J. Mol. Sci. 2023, 24, 6092. [Google Scholar] [CrossRef]
- Myöhänen, T.T.; Pyykkö, E.; Männistö, P.T.; Carpen, O. Distribution of prolyl oligopeptidase in human peripheral tissues and in ovarian and colorectal tumors. J. Histochem. Cytochem. 2012, 60, 706–715. [Google Scholar] [CrossRef] [PubMed]
- Suzuki, K.; Sakaguchi, M.; Tanaka, S.; Yoshimoto, T.; Takaoka, M. Prolyl oligopeptidase inhibition-induced growth arrest of human gastric cancer cells. Biochem. Biophys. Res. Commun. 2014, 443, 91–96. [Google Scholar] [CrossRef]
- Myöhänen, T.T.; Tenorio-Laranga, J.; Jokinen, B.; Vázquez-Sánchez, R.; Moreno-Baylach, M.J.; García-Horsman, J.A.; Männistö, P.T. Prolyl oligopeptidase induces angiogenesis both in vitro and in vivo in a novel regulatory manner. Br. J. Pharmacol. 2011, 163, 1666–1678. [Google Scholar] [CrossRef] [PubMed]
- Zhang, J.-B.; Li, M.-T.; Lin, S.-Z.; Cheng, Y.-Q.; Fan, J.-G.; Chen, Y.-W. Therapeutic Effect of Prolyl Endopeptidase Inhibitor in High-fat Diet-induced Metabolic Dysfunction-associated Fatty Liver Disease. J. Clin. Transl. Hepatol. 2023, 11, 1035–1049. [Google Scholar] [CrossRef] [PubMed]
- Gospodinova, Z.I.; Zupkó, I.; Bózsity, N.; Manova, V.I.; Georgieva, M.S.; Todinova, S.J.; Taneva, S.G.; Ocsovszki, I.; Krasteva, M.E. Cotinus coggygria Scop. induces cell cycle arrest, apoptosis, genotoxic effects, thermodynamic and epigenetic events in MCF7 breast cancer cells. Z. Naturforschung C 2020, 76, 129–140. [Google Scholar] [CrossRef]
- Vermes, I.; Haanen, C.; Steffens-Nakken, H.; Reutelingsperger, C. A novel assay for apoptosis using Annexin, V. J. Immunol. Methods 1995, 184, 39–51. [Google Scholar] [CrossRef]
- Pollio, A.; Zarrelli, A.; Romanucci, V.; Di Mauro, A.; Barra, F.; Pinto, G.; Crescenzi, E.; Roscetto, E.; Palumbo, G. Polyphenolic Profile and Targeted Bioactivity of Methanolic Extracts from Mediterranean Ethnomedicinal Plants on Human Cancer Cell Lines. Molecules 2016, 21, 395. [Google Scholar] [CrossRef]
- Wendlocha, D.; Kubina, R.; Krzykawski, K.; Mielczarek-Palacz, A. Selected Flavonols Targeting Cell Death Pathways in Cancer Therapy: The Latest Achievements in Research on Apoptosis, Autophagy, Necroptosis, Pyroptosis, Ferroptosis, and Cuproptosis. Nutrients 2024, 16, 1201. [Google Scholar] [CrossRef]
- Chand, P.; Kumar, H.; Jain, R.; Jain, A.; Jain, V. Flavonoids as omnipotent candidates for cancer management. S. Afr. J. Bot. 2023, 158, 334–346. [Google Scholar] [CrossRef]
- Fulda, S.; Debatin, K.M. Extrinsic versus intrinsic apoptosis pathways in anticancer chemotherapy. Oncogene 2006, 25, 4798–4811. [Google Scholar] [CrossRef]
- Gospodinova, Z.; Bózsity, N.; Nikolova, M.; Krasteva, M.; Zupkó, I. Antiproliferative properties against human breast, cervical and ovarian cancer cell lines, and antioxidant capacity of leaf aqueous-ethanolic extract from Cotinus coggygria Scop. Acta Med. Bulg. 2017, 44, 20–25. [Google Scholar] [CrossRef]
- Danjolli-Hashani, D.; Selen-Isbilir, S. Cytotoxic effect of Cotinus coggygria extract on Hep3B cancer cell line. Nat. Prod. Res. 2023, 37, 4004–4007. [Google Scholar] [CrossRef]
- Azqueta, A.; Stopper, H.; Zegura, B.; Dusinska, M.; Møller, P. Do cytotoxicity and cell death cause false positive results in the in vitro comet assay? Mutat. Res. Genet. Toxicol. Environ. Mutagen. 2022, 881, 503520. [Google Scholar] [CrossRef]
- Gedik, C.M.; Ewen, S.W.B.; Collins, A.R. Single-cell gel electrophoresis applied to the analysis of UV-C damage and its repair in human cells. Int. J. Radiat. Biol. 1992, 62, 313–320. [Google Scholar] [CrossRef] [PubMed]
- Olive, P.L.; Banáth, J.P. The comet assay: A method to measure DNA damage in individual cells. Nat. Protoc. 2006, 1, 23–29. [Google Scholar] [CrossRef]
- Collins, A.R. The comet assay for DNA damage and repair. Mol. Biotechnol. 2004, 26, 249–261. [Google Scholar] [CrossRef]
- Matić, S.; Stanic, S.; Bogojević, D.; Solujić, S.; Grdović, N.; Vidaković, M.; Mihailović, M. Genotoxic potential of Cotinus coggygria Scop. stem extract in vivo. Genet. Mol. Biol. 2011, 34, 298–303. [Google Scholar] [CrossRef]
- Shirsath, P.K.; Ahirrao, S.A.; Wankhede, N.B.; Suryawanshi, S.N.; Mairal, P.B.; Tufail, D.; Nikam, M.B. Molecular docking a gateway to rational drug design and precision medicine. Int. J. Pharm. Res. Appl. 2025, 10, 2054–2061. [Google Scholar] [CrossRef]
- Chen, W.-J.; Chang, C.-Y.; Lin, J.-K. Induction of G1 Phase Arrest in MCF Human Breast Cancer Cells by Pentagalloylglucose through the Down-Regulation of CDK4 and CDK2 Activities and Up-Regulation of the CDK Inhibitors p27Kip and p21Cip. Biochem. Pharmacol. 2003, 65, 1777–1785. [Google Scholar] [CrossRef]
- Chai, Y.; Lee, H.-J.; Shaik, A.A.; Nkhata, K.; Xing, C.; Zhang, J.; Jeong, S.-J.; Kim, S.-H.; Lü, J. Penta-O-galloyl-β-D-glucose Induces G1 Arrest and DNA Replicative S-Phase Arrest Independently of P21 Cyclin-Dependent Kinase Inhibitor 1A, P27 Cyclin-Dependent Kinase Inhibitor 1B and P53 in Human Breast Cancer Cells and Is Orally Active against Triple-Negative Xenograft Growth. Breast Cancer Res. 2010, 12, R67. [Google Scholar] [PubMed]
- Li, Y.; Zhang, J.; Gao, W.; Zhang, L.; Pan, Y.; Zhang, S.; Wang, Y. Insights on structural characteristics and ligand binding mechanisms of CDK2. Int. J. Mol. Sci. 2015, 16, 9314–9340. [Google Scholar] [CrossRef] [PubMed]












| Materials | IC50 µg/mL | ||
|---|---|---|---|
| DPPH | ABTS | NBT | |
| C. coggygria extract | 7 ± 0.61 | 33.4 ± 2.9 | 8.1 ± 0.34 |
| Vitamin C | 21.22 ± 0.73 | 39.14 ± 2.81 | 3.95 ± 0.94 |
| Enzyme | PDB | Molecular Docking Score (kcal/mol) | |||
|---|---|---|---|---|---|
| PGG | Positive Control | ||||
| SwissDock2 | CB-Dock2 | SwissDock2 | CB-Dock2 | ||
| CDK2 | 1HCK | −9.2 | −9.3 | −8.5 | −8.6 |
| CDK2 | 4KD1 | −7.9 | −8.2 | −9.4 | −9.5 |
| CDK2 | 1FIN | −10.1 | −8.9 | −8.4 | −8.3 |
| CDK2 | 5NEV | −9.6 | −9.2 | −8.9 | −9.0 |
| CDK2 (Phospho- Thr160) | 4EOM | −10.1 | −9.1 | −8.4 | −8.6 |
| Chk1 | 7AKM | −9.6 | −8.7 | −8.2 | −8.1 |
| Chk1 | 1ZYS | −10.0 | −9.0 | −8.5 | −8.9 |
| Chk1 | 2YEX | −9.4 | −8.8 | −8.4 | −8.8 |
Disclaimer/Publisher’s Note: The statements, opinions and data contained in all publications are solely those of the individual author(s) and contributor(s) and not of MDPI and/or the editor(s). MDPI and/or the editor(s) disclaim responsibility for any injury to people or property resulting from any ideas, methods, instructions or products referred to in the content. |
© 2026 by the authors. Licensee MDPI, Basel, Switzerland. This article is an open access article distributed under the terms and conditions of the Creative Commons Attribution (CC BY) license.
Share and Cite
Sulikovska, I.; Djeliova, V.; Georgieva, A.; Tsvetanova, E.; Kirazov, L.; Vasileva, A.; Mitev, V.; Ivanov, I.; Dimitrova, M. In Vitro and In Silico Assessment of the Anticancer Potential of Ethyl Acetate/Water Extract from the Leaves of Cotinus coggygria Scop. in HepG2 Human Hepatocarcinoma Cells. Appl. Sci. 2026, 16, 740. https://doi.org/10.3390/app16020740
Sulikovska I, Djeliova V, Georgieva A, Tsvetanova E, Kirazov L, Vasileva A, Mitev V, Ivanov I, Dimitrova M. In Vitro and In Silico Assessment of the Anticancer Potential of Ethyl Acetate/Water Extract from the Leaves of Cotinus coggygria Scop. in HepG2 Human Hepatocarcinoma Cells. Applied Sciences. 2026; 16(2):740. https://doi.org/10.3390/app16020740
Chicago/Turabian StyleSulikovska, Inna, Vera Djeliova, Ani Georgieva, Elina Tsvetanova, Liudmil Kirazov, Anelia Vasileva, Vanyo Mitev, Ivaylo Ivanov, and Mashenka Dimitrova. 2026. "In Vitro and In Silico Assessment of the Anticancer Potential of Ethyl Acetate/Water Extract from the Leaves of Cotinus coggygria Scop. in HepG2 Human Hepatocarcinoma Cells" Applied Sciences 16, no. 2: 740. https://doi.org/10.3390/app16020740
APA StyleSulikovska, I., Djeliova, V., Georgieva, A., Tsvetanova, E., Kirazov, L., Vasileva, A., Mitev, V., Ivanov, I., & Dimitrova, M. (2026). In Vitro and In Silico Assessment of the Anticancer Potential of Ethyl Acetate/Water Extract from the Leaves of Cotinus coggygria Scop. in HepG2 Human Hepatocarcinoma Cells. Applied Sciences, 16(2), 740. https://doi.org/10.3390/app16020740

