Design of a Motor-Torsion Driven 3D-Printed Left Ventricular Mock Circulation System and Hemocompatibility Assessment
Abstract
1. Introduction
2. Materials and Methods
2.1. Numerical Simulation Analysis
2.2. Structural Design of the Simulated Circulatory System
2.3. Control Strategy and Physiological State Simulation
2.4. Experimental Setup
2.5. Hemolysis and Coagulation Markers Measurements
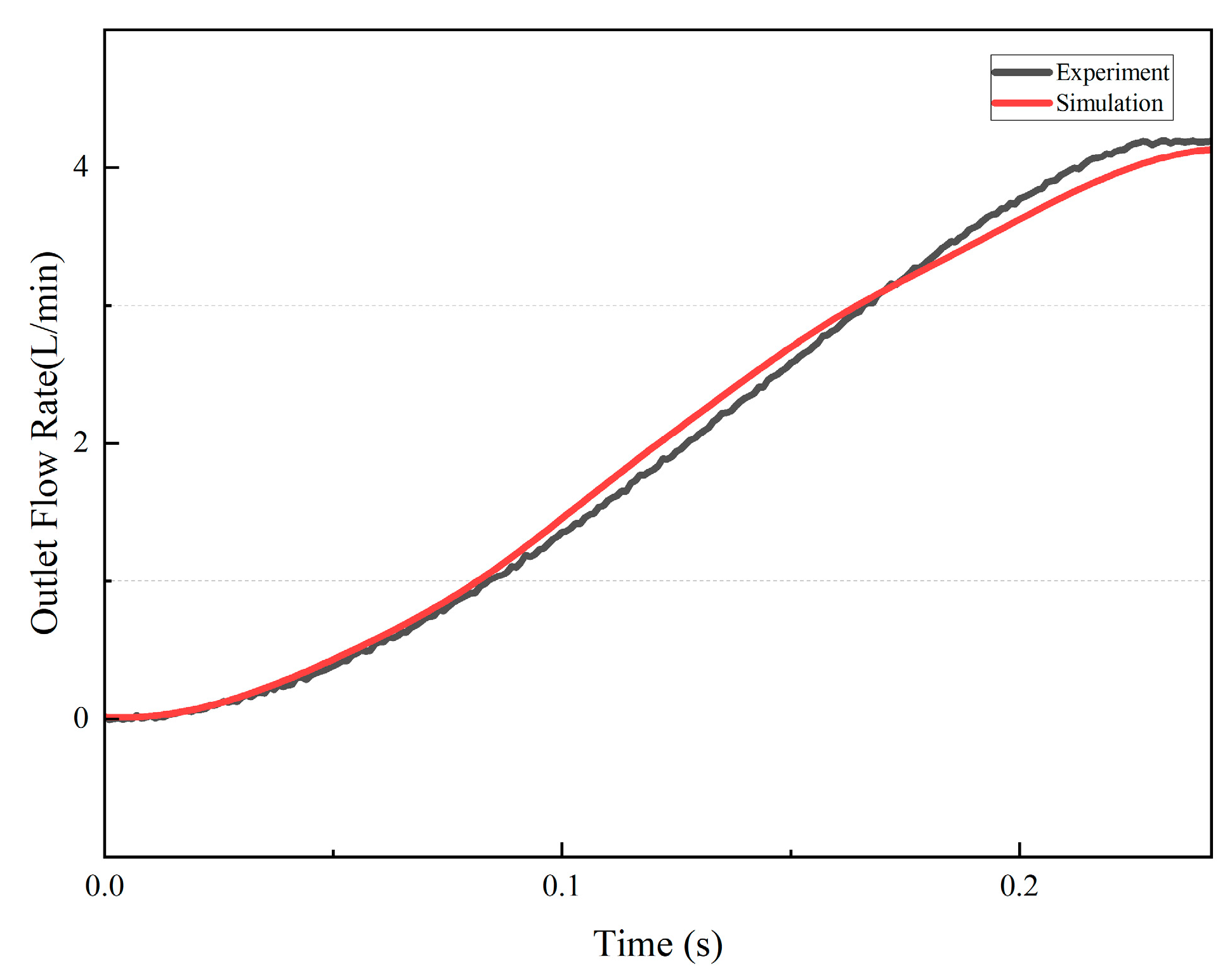
3. Results
3.1. Hemodynamic Performance
3.2. Hemolysis-Related Results
3.3. Coagulation-Related Results
4. Discussion
5. Conclusions
Author Contributions
Funding
Institutional Review Board Statement
Informed Consent Statement
Data Availability Statement
Conflicts of Interest
References
- Nakamura, M.; Imamura, T.; Hida, Y.; Kinugawa, K. Pulmonary Artery Pulsatility Index and Hemolysis during Impella-Incorporated Mechanical Circulatory Support. J. Clin. Med. 2022, 11, 1206. [Google Scholar] [CrossRef]
- Attinger-Toller, A.; Bossard, M.; Cioffi, G.M.; Tersalvi, G.; Madanchi, M.; Bloch, A.; Kobza, R.; Cuculi, F. Ventricular Unloading Using the ImpellaTM Device in Cardiogenic Shock. Front. Cardiovasc. Med. 2022, 9, 856870. [Google Scholar] [CrossRef] [PubMed]
- Leick, J.; Grottke, O.; Oezkur, M.; Mangner, N.; Sanna, T.; Al Rashid, F.; Vandenbriele, C. What Is Known in Pre-, Peri-, and Post-Procedural Anticoagulation in Micro-Axial Flow Pump Protected Percutaneous Coronary Intervention? Eur. Heart J. Suppl. 2022, 24, J17–J24. [Google Scholar] [CrossRef]
- Cappon, F.; Wu, T.; Papaioannou, T.; Du, X.; Hsu, P.-L.; Khir, A.W. Mock Circulatory Loops Used for Testing Cardiac Assist Devices: A Review of Computational and Experimental Models. Int. J. Artif. Organs 2021, 44, 793–806. [Google Scholar] [CrossRef] [PubMed]
- Schwinger, R.H.G. Pathophysiology of Heart Failure. Cardiovasc. Diagn. Ther. 2021, 11, 263–276. [Google Scholar] [CrossRef]
- Baturalp, T.B.; Bozkurt, S. Design and Analysis of a Polymeric Left Ventricular Simulator via Computational Modelling. Biomimetics 2024, 9, 269. [Google Scholar] [CrossRef]
- Davies, J.; Thai, M.T.; Sharma, B.; Hoang, T.T.; Nguyen, C.C.; Phan, P.T.; Vuong, T.N.A.M.; Ji, A.; Zhu, K.; Nicotra, E.; et al. Soft Robotic Artificial Left Ventricle Simulator Capable of Reproducing Myocardial Biomechanics. Sci. Robot. 2024, 9, eado4553. [Google Scholar] [CrossRef] [PubMed]
- Park, C.; Fan, Y.; Hager, G.; Yuk, H.; Singh, M.; Rojas, A.; Hameed, A.; Saeed, M.; Vasilyev, N.V.; Steele, T.W.J.; et al. An Organosynthetic Dynamic Heart Model with Enhanced Biomimicry Guided by Cardiac Diffusion Tensor Imaging. Sci. Robot. 2020, 5, eaay9106. [Google Scholar] [CrossRef]
- Singh, M.; Bonnemain, J.; Ozturk, C.; Ayers, B.; Saeed, M.Y.; Quevedo-Moreno, D.; Rowlett, M.; Park, C.; Fan, Y.; Nguyen, C.T.; et al. Robotic Right Ventricle Is a Biohybrid Platform That Simulates Right Ventricular Function in (Patho)Physiological Conditions and Intervention. Nat. Cardiovasc. Res. 2023, 2, 1310–1326. [Google Scholar] [CrossRef]
- Fraser, K.H.; Taskin, M.E.; Griffith, B.P.; Wu, Z.J. The Use of Computational Fluid Dynamics in the Development of Ventricular Assist Devices. Med. Eng. Phys. 2011, 33, 263–280. [Google Scholar] [CrossRef]
- Gao, X.; Xu, Z.; Chen, C.; Hao, P.; He, F.; Zhang, X. Full-Scale Numerical Simulation of Hemodynamics Based on Left Ventricular Assist Device. Front. Physiol. 2023, 14, 1192610. [Google Scholar] [CrossRef]
- Schenkel, T.; Malve, M.; Reik, M.; Markl, M.; Jung, B.; Oertel, H. MRI-Based CFD Analysis of Flow in a Human Left Ventricle: Methodology and Application to a Healthy Heart. Ann. Biomed. Eng. 2009, 37, 503–515. [Google Scholar] [CrossRef]
- Comunale, G.; Di Micco, L.; Boso, D.P.; Susin, F.M.; Peruzzo, P. Numerical Models Can Assist Choice of an Aortic Phantom for In Vitro Testing. Bioengineering 2021, 8, 101. [Google Scholar] [CrossRef]
- Kameneva, M.V.; Burgreen, G.W.; Kono, K.; Repko, B.; Antaki, J.F.; Umezu, M. Effects of Turbulent Stresses on Mechanical Hemolysis: Experimental and Computational Analysis. In American Society for Artificial Internal Organs (ASAIO) Platinum 70th Anniversary Special Edition; CRC Press: Boca Raton, FL, USA, 2019. [Google Scholar]
- Xin, L.; Yao, W.; Peng, Y.; Qi, N.; Xie, S.; Ru, C.; Badiwala, M.; Sun, Y. Model Reference Adaptive Control for Aortic Pressure Regulation in Ex Vivo Heart Perfusion. IEEE Trans. Control Syst. Technol. 2021, 29, 884–892. [Google Scholar] [CrossRef]
- Jeong, J.-H.; Lee, B.; Hong, J.; Yang, T.-H.; Park, Y.-H. Reproduction of Human Blood Pressure Waveform Using Physiology-Based Cardiovascular Simulator. Sci. Rep. 2023, 13, 7856. [Google Scholar] [CrossRef] [PubMed]
- Wu, P.; Bai, Y.; Du, G.; Zhang, L.; Zhao, X. Resistance Valves in Circulatory Loops Have a Significant Impact on in Vitro Evaluation of Blood Damage Caused by Blood Pumps: A Computational Study. Front. Physiol. 2023, 14, 1287207. [Google Scholar] [CrossRef]
- Papanastasiou, C.A.; Kyriakoulis, K.G.; Theochari, C.A.; Kokkinidis, D.G.; Karamitsos, T.D.; Palaiodimos, L. Comprehensive Review of Hemolysis in Ventricular Assist Devices. World J. Cardiol. 2020, 12, 334–341. [Google Scholar] [CrossRef]
- Borchers, P.; Winnersbach, P.; Kraemer, S.; Beckers, C.; Buhl, E.; Leonhardt, S.; Rossaint, R.; Walter, M.; Breuer, T.; Bleilevens, C. Comparison of the Hemocompatibility of an Axial and a Centrifugal Left Ventricular Assist Device in an In Vitro Test Circuit. J. Clin. Med. 2022, 11, 3431. [Google Scholar] [CrossRef] [PubMed]
- Richtrova, P.; Mares, J.; Kielberger, L.; Trefil, L.; Eiselt, J.; Reischig, T. Citrate-Buffered Dialysis Solution (Citrasate) Allows Avoidance of Anticoagulation During Intermittent Hemodiafiltration—At the Cost of Decreased Performance and Systemic Biocompatibility. Artif. Organs 2017, 41, 759–766. [Google Scholar] [CrossRef]
- Amin, H.M.; Ahmad, S.; Walenga, J.M.; Hoppensteadt, D.A.; Leitz, H.; Fareed, J. Soluble P-Selectin in Human Plasma: Effect of Anticoagulant Matrix and Its Levels in Patients with Cardiovascular Disorders. Clin. Appl. Thromb. 2000, 6, 71–76. [Google Scholar] [CrossRef]
- Zhu, Y.; Wang, S.; Liu, Y.; Yu, J.; Yang, M. The Impact of Transient Control Performance of Pulsatile Flow on Hemolysis and Coagulation in ex vivo Heart Perfusion. Artif. Organs 2025. [Google Scholar] [CrossRef]
- Lam, C.S.P.; Solomon, S.D. Classification of Heart Failure According to Ejection Fraction. J. Am. Coll. Cardiol. 2021, 77, 3217–3225. [Google Scholar] [CrossRef]
- Yin, A.; Wen, B.; Xie, Q.; Dai, M. Real-Time Regurgitation Estimation in Percutaneous Left Ventricular Assist Device Fully Supported Condition Using an Unscented Kalman Filter. Physiol. Meas. 2024, 45, 055001. [Google Scholar] [CrossRef] [PubMed]
- Faghih, M.M.; Craven, B.A.; Sharp, M.K. Practical Implications of the Erroneous Treatment of Exposure Time in the Eulerian Hemolysis Power Law Model. Artif. Organs 2023, 47, 1531–1538. [Google Scholar] [CrossRef]
- Chen, Z.; Mondal, N.K.; Zheng, S.; Koenig, S.C.; Slaughter, M.S.; Griffith, B.P.; Wu, Z.J. High Shear Induces Platelet Dysfunction Leading to Enhanced Thrombotic Propensity and Diminished Hemostatic Capacity. Platelets 2019, 30, 112–119. [Google Scholar] [CrossRef] [PubMed]
- Liu, Y.; Zhu, Y.; Wang, S.; Fu, H.; Lu, Z.; Yang, M. Impact of Impeller Speed Adjustment Interval on Hemolysis Performance of an Intravascular Micro-Axial Blood Pump. Micromachines 2024, 15, 934. [Google Scholar] [CrossRef]
- Li, Y.; Liu, X.; Sun, A.; Deng, X.; Chen, Z.; Fan, Y. Multi-Method Investigation of Blood Damage Induced by Blood Pumps in Different Clinical Support Modes. ASAIO J. 2024, 70, 280–292. [Google Scholar] [CrossRef]
- Von Petersdorff-Campen, K.; Schmid Daners, M. Hemolysis Testing In Vitro: A Review of Challenges and Potential Improvements. ASAIO J. 2022, 68, 3–13. [Google Scholar] [CrossRef]
- Roberts, N.; Chandrasekaran, U.; Das, S.; Qi, Z.; Corbett, S. Hemolysis Associated with Impella Heart Pump Positioning: In Vitro Hemolysis Testing and Computational Fluid Dynamics Modeling. Int. J. Artif. Organs 2020, 43, 710–718. [Google Scholar] [CrossRef] [PubMed]
- Roka-Moiia, Y.; Li, M.; Ivich, A.; Muslmani, S.; Kern, K.B.; Slepian, M.J. Impella 5.5 Versus Centrimag: A Head-to-Head Comparison of Device Hemocompatibility. ASAIO J. 2020, 66, 1142–1151. [Google Scholar] [CrossRef]
- Krabatsch, T.; Netuka, I.; Schmitto, J.D.; Zimpfer, D.; Garbade, J.; Rao, V.; Morshuis, M.; Beyersdorf, F.; Marasco, S.; Damme, L.; et al. Heartmate 3 Fully Magnetically Levitated Left Ventricular Assist Device for the Treatment of Advanced Heart Failure—1 Year Results from the Ce Mark Trial. J. Cardiothorac. Surg. 2017, 12, 23. [Google Scholar] [CrossRef] [PubMed]
- Xu, Z.; Yang, M.; Wang, X.; Wang, Z. The Influence of Different Operating Conditions on the Blood Damage of a Pulsatile Ventricular Assist Device. ASAIO J. 2015, 61, 656–663. [Google Scholar] [CrossRef] [PubMed]
- Schulte, D.T.; Pietsch, C.; Topalovic, N.; Hofmann, M.; Schmiady, M.O.; Weisskopf, M.; Schmid Daners, M. Preliminary in Vitro Hemolysis Evaluation of MR-Conditional Blood Pumps. Front. Med. Technol. 2025, 7, 1671938. [Google Scholar] [CrossRef] [PubMed]











| State | Heart Rate (bpm) | Systolic Time Fraction (%) | Ejection Fraction (%) | Aortic Pressure (mmHg) |
|---|---|---|---|---|
| Health | 75 | 40 | 60 | 120/80 |
| Mild Heart Failure | 80 | 38 | 50 | 110/75 |
| Moderate Heart Failure | 90 | 35 | 35 | 100/70 |
| Severe Heart Failure | 100 | 33 | 25 | 80/45 |
Disclaimer/Publisher’s Note: The statements, opinions and data contained in all publications are solely those of the individual author(s) and contributor(s) and not of MDPI and/or the editor(s). MDPI and/or the editor(s) disclaim responsibility for any injury to people or property resulting from any ideas, methods, instructions or products referred to in the content. |
© 2025 by the authors. Licensee MDPI, Basel, Switzerland. This article is an open access article distributed under the terms and conditions of the Creative Commons Attribution (CC BY) license.
Share and Cite
Cheng, Q.; Meng, J.; Yang, M.; Liu, Y.; Yu, J.; Zhu, Y.; Guo, H. Design of a Motor-Torsion Driven 3D-Printed Left Ventricular Mock Circulation System and Hemocompatibility Assessment. Appl. Sci. 2026, 16, 438. https://doi.org/10.3390/app16010438
Cheng Q, Meng J, Yang M, Liu Y, Yu J, Zhu Y, Guo H. Design of a Motor-Torsion Driven 3D-Printed Left Ventricular Mock Circulation System and Hemocompatibility Assessment. Applied Sciences. 2026; 16(1):438. https://doi.org/10.3390/app16010438
Chicago/Turabian StyleCheng, Qingyang, Junlong Meng, Ming Yang, Yuan Liu, Junwen Yu, Yuanfei Zhu, and Huaiyuan Guo. 2026. "Design of a Motor-Torsion Driven 3D-Printed Left Ventricular Mock Circulation System and Hemocompatibility Assessment" Applied Sciences 16, no. 1: 438. https://doi.org/10.3390/app16010438
APA StyleCheng, Q., Meng, J., Yang, M., Liu, Y., Yu, J., Zhu, Y., & Guo, H. (2026). Design of a Motor-Torsion Driven 3D-Printed Left Ventricular Mock Circulation System and Hemocompatibility Assessment. Applied Sciences, 16(1), 438. https://doi.org/10.3390/app16010438

